Текст книги "Ремесло древней Руси"
Автор книги: Борис Рыбаков
Жанр:
История
сообщить о нарушении
Текущая страница: 2 (всего у книги 43 страниц)
Согласно принятому Нидерле плану, славянские древности рассматриваются суммарно, без выделения отдельных областей и без хронологических подразделений внутри широкого периода VII–XIII вв. Иногда это обстоятельство затрудняет историческое понимание развития ремесла. Отсутствует также различие городского и деревенского ремесла. Важной положительной стороной работы Нидерле являются широта построения, привлечение обширного сравнительного материала из истории римской и средневековой техники и комплексное изучение всех видов источников.
Можно только пожалеть, что раздел «Ремесла» в книге Нидерле, появившейся в свет в 1921 г., прошел совершенно не замеченным русской исторической литературой и не оказал на нее никакого воздействия, не отразился на общеисторических построениях.
Археологические исследования 1923–1940 гг. внесли очень много нового в дело изучения русских древностей и, в частности, в дело изучения ремесла. Раскопки курганов продолжались в меньших масштабах, но велись с большей тщательностью. В эти годы впервые было обращено внимание на места поселений – селища, городища. Начались раскопки важнейших центров древней Руси – Киева, Чернигова, Вышгорода, Галича, Старой Рязани, Новгорода, Пскова, Старой Ладоги, Смоленска, Москвы, Дмитрова и ряда других городов. Одновременно велись раскопки небольших безымянных городищ.
Большую работу по обследованию и изучению городищ проделали Украинская и Белорусская Академии Наук[59]59
Подробнее см. об этом в главе «Городское ремесло IX–XIII вв.» настоящей работы.
[Закрыть].
В результате всех этих работ были открыты десятки ремесленных мастерских, множество орудий производства ремесленников, полуфабрикаты, заготовки, сырье, готовая продукция местных мастеров. Доводы сторонников преобладания торговли были, таким образом, поколеблены обилием свежих фактов о ремесле. Первой работой, обобщившей в известной мере новый материал по русскому ремеслу IX–XII вв., является статья А.В. Арциховского[60]60
А.В. Арциховский. Археологические данные о возникновении феодализма в Суздальской и Смоленской землях. – ПИДО, 1934, № 11–12.
[Закрыть], в которой, наряду с очень решительными возражениями Рожкову и Довнар-Запольскому, указывались конкретные пути отделения ремесла от земледелия и его дальнейшего развития в пределах Владимиро-Суздальской и Смоленской земли.
В 1936 г., через 40 лет после напечатания I тома «Русских кладов» Н.П. Кондакова, вышли в свет подготовленные им для II тома цветные таблицы, воспроизводящие ряд древнерусских ювелирных изделий. Текст к ним был написан А.С. Гущиным[61]61
А.С. Гущин. Памятники художественного ремесла древней Руси X–XIII вв., Л., 1936.
[Закрыть].
Зависимость от напечатанных ранее таблиц ограничила привлечение материала. Многие неизданные клады и отдельные памятники художественного ремесла не были включены в издание Гущина. Теоретическая часть работы Гущина носит слишком искусствоведческий характер; он занят почти исключительно стилем вещей, совершенно игнорирует технику их изготовления[62]62
Технике ремесла во всей книге уделено только 8 страниц (стр. 19–27).
[Закрыть]. Отсюда происходят грубые ошибки в датировке, приводящие автора к неверному изображению эволюции ремесла. Но многие из утверждений Гущина (напр., о социальном положении ремесленников, о высоком развитии русского ремесла) верны и интересны.
Некоторые интересные мысли о древнерусской технике имеются и в книге Т.И. Райнова[63]63
Т. Райнов. Наука в России в XI–XVII вв., М.-Л., 1940.
[Закрыть].
Заканчивая обзор историографии русского ремесла X–XV вв., можно наметить несколько этапов в развитии взглядов на этот важнейший раздел древнего хозяйства.
1 этап – первичное накопление более или менее случайных материалов. Данный этап заканчивается выходом в свет книги Аристова, использовавшего почти весь письменный материал X–XV вв.
2 этап – постепенное накопление вещественных источников (курганы и клады) и разработка отдельных тем (напр., ювелирное дело); изучалось преимущественно ремесло домонгольской Руси. Итоги этого этапа подведены в работе Нидерле.
3 этап – усиление внимания к археологическому изучению русских городов и попытки построения истории на основе комплекса разнородных источников. Этот этап приходится целиком на советскую эпоху.
К сожалению, для двух первых этапов характерно сохранение первоначальных утверждений о мизерности и ничтожности русского ремесла, утверждений, сложившихся еще в период споров славянофилов с западниками, когда предвзятым идеям был противопоставлен крайне скудный в то время фактический материал. На примере Ключевского, Рожкова, Покровского и Кулишера мы видели, что отрицание русского ремесла, противопоставление Руси Западу являлось почти обязательным для историков всех эпох и различных направлений[64]64
Показательно, напр., последнее издание работы П. Лященко («История народного хозяйства СССР», М., 1939), где на стр. 98 автор убеждает читателей в малом развитии городского ремесла в Киевской Руси, на стр. 101 в очень категорической форме повторяет этот постулат (добавляя, что «гораздо большее значение имела торговля»), а на стр. 137 говорит о еще более низком уровне ремесла в городах XIV в.
[Закрыть]. Все попытки защиты достоинства русских мастеров исходили или от историков декоративного искусства или от археологов, т. е. от лиц, соприкасавшихся с вещественными источниками.
Моя работа по истории русского ремесла основана на посильном изучении всех категорий источников, взаимно дополняющих друг друга. Использованы как письменные памятники (количество которых несколько возросло с 1866 г.), так и вещественные. Археологический материал изучался как по изданиям, так и непосредственно в музеях ряда городов[65]65
Использованы коллекции ГИМ Государственного Эрмитажа, Русского музея в Ленинграде, музеев Рязани, Курска, Владимира, Смоленска, Новгорода, Истры, Загорска, Волоколамска, Коломны, Орла, Брянска, музеев Украины и Белоруссии (Киева, Чернигова, Новгород-Северска, Минска, Гомеля и др.).
[Закрыть]. Кроме того, по некоторым вопросам был использован архив археологических исследований ИИМК Академии Наук СССР.
Помимо исторических и археологических источников, оказалось совершенно необходимым привлечение этнографического материала по домашнему производству и кустарной промышленности XIX–XX вв.
Необходимо отметить, что все взятые вместе источники составляют все же очень пеструю картину, весьма неравномерно отражающую историю ремесла как в хронологическом, так и в географическом и социальном отношениях.
Не стремясь к полной характеристике источников, остановимся на том, какие разделы истории ремесла освещены каждым их видом.
Для характеристики ремесла древнейшего периода (IX–X вв.) летописи не дают почти ничего. Для периода XI–XV вв. в летописях встречаются интересующие нас упоминания, но они носят случайный характер; наиболее интересны сведения о городах Киеве, Галиче, Владимире, Новгороде XII–XIII вв. Новгородская летопись в течение XIII в. сообщает имена ремесленников-воинов, погибших в боях. Интересны данные Псковских летописей XV в. о строительном деле. Краткая Русская Правда XI в. содержит одну статью о ремесленниках в составе феодального двора; Псковская судная грамота XIV–XV вв. говорит о вольнонаемных ремесленниках.
Грамоты князей и митрополитов освещают или XII в. (грамоты Святослава Ольговича и Ростислава Мстиславича) или конец XIV–XV вв. За исключением отдельных сведений о единицах обложения (црен, Кожевнический чан, кузница) и некоторых видов ремесла, эти грамоты дают мало материала. Духовные грамоты XIV–XV вв. при перечислении передаваемого имущества упоминают изредка мастеров, ювелиров. Интересные списки вотчинных ремесленников содержат духовные грамоты конца XV в. (напр., грамота князя И.Ю. Патрикеева). В договорных грамотах этого же времени встречаются перечни ремесленников, но они очень неполны.
Жития святых XI–XIII вв. очень редко упоминают о ремесленниках, наиболее интересны данные Печерского Патерика. Позднейшие жития XIV–XV вв. содержат мало сведений о ремесле.
Памятники художественной литературы, употреблявшие производственную терминологию в качестве метафор, могут быть использованы лишь в некоторых случаях (напр., Слово Даниила Заточника, XII в.) Особый интерес представляет переводная литература XI–XIII вв., содержащая производственные термины в большем количестве, чем русская. Специфика ранних славянских переводов с греческого иногда лишает нас возможности отделить русское от болгарского в терминологии, но самый круг технических терминов, обращавшихся на Руси в XI–XIII вв., дает нам многое.
Свидетельства иностранцев важны только для раннего периода истории русского ремесла. Византийские сведения VI–VII вв. обходят стороной производственные вопросы. Содержательнее в этом отношении сочинения арабов IX–XI вв., но и в их коммерческих справочниках (явившихся, кстати сказать, основным фундаментом, на котором строили свою аргументацию сторонники торговой теории) все рассматривается сквозь призму торговли. Крайне существенным источником для истории русского ремесла XI в. является «Schedulia diversarum artium» пресвитера Теофила. Этот источник, известный еще И. Снегиреву, был впоследствии незаслуженно забыт русскими историками и преднамеренно искажался немецкими националистически настроенными издателями.
Для XIII в. из иностранных свидетельств значительный интерес представляют сообщения Плано Карпини. Позднейшая эпоха XIV–XV вв. иностранцами почти не освещена. Особым разделом письменных источников нужно считать те, которые выходят за хронологические рамки моей темы и могут быть использованы только ретроспективно. К ним в первую очередь нужно отнести писцовые книги конца XV в., дающие исключительно ценный материал по ремеслу Новгородской земли. Эти писцовые книги привлечены постольку, поскольку в них упомянут «старый доход». Лавочные книги Новгорода XVI в. привлечены опять-таки лишь в той мере, в какой они отражают жизнь этого города до падения его самостоятельности.
Ретроспективный метод позволяет привлекать и источники XVII–XVIII вв. (например, техническая рецептура иконников и ювелиров).
Только на основании археологических данных можно построить доисторию русского ремесла, но источники здесь очень неравномерно освещают как отдельные области, так и разные разделы ремесла. В Приднепровье поля погребальных урн доходят до IV–VI вв., но сопутствующие им поселения почти не исследованы.
Для Средней России, наоборот, первые века нашей эры представлены Позднедьяковскими городищами, но особенности погребального обряда (кремация и хранение праха в маленьких домовинах среди поселка) лишают нас могильных комплексов. Очень мало вещей содержат сопки и длинные курганы VI–IX вв. в земле словен и кривичей.
Для эпохи VI–IX вв. наиболее полно представлено ювелирное дело, памятники которого сохранены в кладах, разбросанных в лесостепи и, отчасти, в лесной полосе. Поселений и могильных комплексов для этой эпохи очень мало.
Значительно полнее освещена археологическими источниками эпоха IX–XIII вв. Переход от кремации к простейшему захоронению в курганах позволил сохранить до нашего времени сотни тысяч вещей, изготовленных ремесленниками Киевской Руси. Курганы IX–X вв., расположенные близ крупных городов, дают нам материал по княжескому и дружинному быту (более поздние, христианские, могилы князей единичны). Основная масса курганов, раскопанных на территории русских княжеств IX–XIII вв., относится к сельскому населению и содержит богатый материал по деревенскому ремеслу. Местами курганный обряд погребения сохранился до XIV в. (Московское княжество и прилегающие к нему княжества, возникшие на древней земле вятичей). Постепенное отмирание обычая класть вещи в могилу вместе с покойником привело к тому, что к XV в. могилы почти утратили свое значение важного исторического источника (на смену курганам в XV в. приходят писцовые книги).
Раскопки мест поселений, произведенные в значительно меньшем количестве, чем раскопки курганов, освещают в основном ту же эпоху IX–XIII вв. Большинство исследований относится к крупным древнерусским городам, но лишь некоторые – к городищам сельского типа (прекращающим свое существование в XII–XIII вв.) и к замкам. Некоторые города изучены в отношении слоев XIII–XV вв. (напр., Новгород Великий, Переяславль Рязанский); деревенских селищ раскопано мало. Отсутствие княжеских и боярских курганов XI–XIII вв. частично компенсируется кладами драгоценностей, находимыми главным образом в южной половине Руси. Вещи в кладах относятся к X – половине XIII вв. Из отдельных предметов, сохранившихся в различных собраниях, к эпохе XI–XII вв. относится несколько вещей Новгородской Софийской ризницы. Массовым этот вид материалов становится только с середины XIV в. Нумизматические данные относятся к XI–XII вв., и затем, после перерыва, – к концу XIV–XV вв.
Архитектурные памятники дошли до нас от конца X в. (фундамент Десятинной церкви) до начала XIII в., и затем – с начала XIV в. до конца изучаемой эпохи.
Иллюстративный материал, который необходимо причислить также к вещественным источникам, различен по имеющимся в нем бытовым чертам. Иконопись XI–XV вв. (включая сюда и фрески) дает их очень мало; книжная миниатюра значительно богаче по содержанию, но сохранившиеся экземпляры относятся к XIV и XV вв. Только анализ их прототипов позволяет использовать их для начала XIII в. (миниатюры жития Бориса и Глеба и часть миниатюр Радзивилловской летописи). Стоящие на грани между письменными и вещественными источниками эпиграфические материалы (обычно игнорируемые историками) дают нередко ценнейшие страницы истории ремесла; к сожалению, они немногочисленны. По столетиям они распределяются более или менее равномерно с XI по XV в., но связаны исключительно с городским ремеслом.
Работа над древнерусским ремеслом X–XV вв. неоднократно требовала обращения к этнографическим данным XIX–XX вв. Техника кустарных мастерских помогла расшифровать те или иные археологические детали, объяснить назначение находимых при раскопках инструментов и даже позволила поставить определенные задачи в процессе раскопок древних ремесленных мастерских. В некоторых случаях оказалось необходимым привлечение материалов о социальной организации кустарной промышленности (напр., для сябринного владения гончарным горном). Существенным разделом этнографических материалов является словарный запас русского, украинского, белорусского и других славянских языков, восполняющий и комментирующий древнерусскую терминологию. Иногда для полноты обрисовки идеологии древних ремесленников приходилось привлекать поверья и легенды, связанные с тем или иным производством (напр., легенды о кузнецах-богатырях). В этом же плане именно как этнографический материал привлечены и былины.
Приведенный перечень разнообразных источников свидетельствует о неравномерности в распределении их по векам и по областям. Письменные источники возрастают по мере приближения к современности, а вещественные, наоборот, постепенно иссякают. Домонгольская Русь и именно домонгольский город находятся в наиболее благоприятном положении в смысле количества основных материалов. Арсенал письменных источников потребовал критического пересмотра специальной терминологии и частных вопросов. Обильный же археологический материал, служивший зачастую основным фондом сведений о ремесле, требовал особого источниковедческого разбора и специально разработанной методики использования материала.
Одним из важнейших вопросов археологического источниковедения является датировка вещей и целых комплексов. Датировка отдельных древних вещей может быть точна только в исключительных случаях (наличие надписи, записи в летописи). Таких «счастливых» вещей очень немного, и все они принадлежат верхам городских мастеров-ювелиров; массовые материалы точной даты не имеют. Для установления относительной (взаимной) хронологии вещей удобнее всего погребальные комплексы. Иногда они сопровождаются монетами, но сближать время захоронения с датой, вычеканенной на монете, необходимо с большой осторожностью[66]66
Укажу два примера асинхронности курганных вещей и найденных в этих же курганах монет. В одном из гнездовских курганов вместе с вещами IX–X вв. найдены две византийские монеты (с ушками для привешивания к ожерелью) VI в. н. э. (В.И. Сизов. Ук. соч.). При раскопках Глазова в Псковской земле с вещами XV в. оказалась монета XI в. (А.А. Спицын. Гдовские курганы в раскопках В.Н. Глазова. – МАР, СПб., 1903, № 29). Такое резкое различие в 300–400 лет едва ли можно объяснить сохранностью монет в семье у нескольких поколений и естественнее связывать с находкой в XV в. клада более ранних монет, получивших, таким образом, второе хождение. К счастью, подобные случаи редки. Иногда встречаются анахронизмы другого порядка: характерные античные вещи оказываются во вторичном употреблении спустя тысячу лет. Известны случаи использования античных камей и гемм в XVI в. в качестве печати.
[Закрыть]: длительность хождения монет Средней Азии или Западной Европы, бытование монеты в качестве украшения, наконец, вероятность вторичного ее использования (напр. находчиком клада) – все это значительно увеличивает расстояние между выходом монеты и погребением ее в кургане. Находки монет, тем не менее, облегчают переход относительной хронологии вещей к абсолютной. Предварительным условием датировки археологических комплексов является типологическая классификация вещей, позволяющая перейти к установлению совместной встречаемости отдельных типов. Метод статистико-типологической обработки могильных комплексов был впервые применен П.П. Ефименко, назвавшим его «методом культурной стратиграфии»[67]67
П.П. Ефименко. Рязанские могильники. Опыт культурно-стратиграфического анализа могильников массового типа. – «Материалы по этнографии», Л., 1926, т. III, вып. 1; Его же. К истории Западного Поволжья в первом тысячелетии н. э. по археологическим источникам. – «Сов. археол.», М.-Л., 1937, № 2. К сожалению, автором не опубликованы результаты проработки этим методом нескольких тысяч курганов Новгородской земли, долженствующие внести коррективы в недостаточно обоснованные датировки А.А. Спицына. Типологический метод В.А. Городцова может быть применен только в качестве подготовительной, черновой работы (В.А. Городцов. Типологический метод в археологии, Рязань, 1927).
[Закрыть].
А.В. Арциховский в работе над курганными комплексами Средней России сочетал строгий типологический метод с корреляционным, применяемым в естественных науках. Это позволило ему разбить все вещи на 3 стадии, приблизительно соответствующие XII, XIII и XIV вв.[68]68
А.В. Арциховский. Курганы вятичей, М., 1930.
[Закрыть]
Несравненно труднее поддается датировке материал городищ. Перепутанность слоев, позднейшие перекопы, легкость проникновения вещей в нижний слой – все это в сочетании с плохой фиксацией раскопок создает нередко большие трудности при хронологизации вещей из культурного слоя. Этим объясняется суммарная датировка большинства русских городищ, напр., XI–XIII вв.
При изучении изделий художественного ремесла принимался также во внимание стиль предмета, и дата устанавливалась по аналогии с произведениями живописи или скульптуры[69]69
Для А.С. Гущина стилистический анализ был важнейшим критерием в определении даты. Так, напр., эмалевое оплечье из Каменного Брода он относил к началу XI в., так как считал его выразителем «варварского стиля», присущего дружине ранней стадии феодального общества (А.С. Гущин. Памятники…). При этом были упущены данные эпиграфики, указывающие на XIII в., и сюжет изображений (Борис и Глеб), которые не могли возникнуть ранее конца XI в. Увлечение социологическими схемами привело к попыткам отказа от абсолютной датировки и переходу к «синстадиальным» определениям, лишающим археологический материал одного из его важнейших качеств – конкретности.
[Закрыть]. Мною разработан новый метод определения синхронности вещей, одинаково пригодный для курганных и для городищенских материалов соответствующей техники изготовления (литье, штампование и т. п.). Сущность его сводится к следующему: среди многих вещей одного типа, близких по размерам, рисунку, силуэту, возможно отыскать вещи, отлитые в одной литейной форме или выбитые одним и тем же штампом. Для установления этого необходимо совпадение решительно всех деталей сопоставляемых вещей. Путеводную нить может дать какой-нибудь дефект литейной формы, малейшее дрожание резца мастера, резавшего форму (изложницу), так как этот дефект неизбежно будет повторен на всех отливках, вышедших из данной формы.
Предварительная работа по отысканию тождественных вещей производилась с лупой и циркулем, а для окончательного доказательства делались пластилиновые и гипсовые слепки и микрофотографии[70]70
Впервые этот метод применен мною при обработке радимичского курганного инвентаря (Б.А. Рыбакоў. Радзiмiчы. – «Працы Археолёгичнай камiсii БАН», Менск, 1932, т. III, стр. 114–115). Основанная на этом методе статья «Районы сбыта продукции древнерусских ремесленников XI–XIII вв.» была сдана в издательство ГИМ в 1932 г. Подробнее о результатах применения метода см. ниже в разделе «Литейное дело» настоящей работы.
[Закрыть].
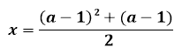
Этот метод достаточно трудоемок, так как требует сопоставления каждой вещи данного типа с каждой другой. Если мы обозначили через а количество вещей определенного типа, то количество необходимых сопоставлений (х) может быть определено по формуле[71]71
Приведу пример: для изучения семилопастных височных колец вятичкого типа пришлось сделать для 483 экземпляров 116 403 сопоставления.
[Закрыть]:

Применение метода тождественности к датировке позволило уточнить не только спицынские даты русских вещей, но даже стройную систему Арциховского[72]72
Так, напр., Арциховским датированы: курган № 1 в Чертанове XII в., курган № 3 в Филях – XIII в., курган № 3а в Филях – XIV в. (А.В. Арциховский. Курганы вятичей, стр. 193–194). Между тем, во всех трех курганах височные кольца сделаны в одной литейной форме.
[Закрыть].
Вещи, отлитые в одной литейной форме, следовательно, вышедшие из рук одного мастера (или в крайнем случае из одной мастерской), совершенно одновременны. При сравнительной недолговечности известняковых и глиняных литейных форм первая и последняя отливки из одной и той же формы могут отстоять друг от друга не более, чем на 1–2 года. Курганные комплексы, в которых встречены тождественные вещи, могут считаться одновременными, так как их хронологическая амплитуда не выходит за пределы одного поколения.
В области датировки вещей, кроме описанного метода тождества, мне приходилось прибегать и к другим способам. Так, например, для датировки и атрибутации ювелирного инструмента, хранящегося в Гос. историческом музее, были привлечены княжеские знаки Рюриковичей на монетах и печатях. Оказалось, что инструмент (штамп для тиснения серебра) принадлежал придворному ювелиру черниговского и киевского князя Всеволода Ярославича (1054–1093 гг.). Таким образом и штамп, и близкие к нему по рисунку колты получили довольно точную дату – вторая половина XI в., вместо неопределенного отнесения их к домонгольскому времени[73]73
Б.А. Рыбаков. Знаки собственности в княжеском хозяйстве Киевской Руси. – «Сов. археол.», 1940, № 6. – Датировка по знакам собственности позволила уточнить дату двух дружинных курганов в Суздальской земле и в Приладожье, отнеся их (по знаку на поясе) к годам княжения Ярослава Мудрого в Ростове и Новгороде, т. е. к рубежу X и XI вв.
[Закрыть].
Вторым важным вопросом в истории русского ремесла, кроме датировки, является определение местного или иноземного происхождения вещей. Мы уже видели, как упрощенно решался этот вопрос Спицыным, Довнар-Запольским, Завитневичем и Анучиным: все сложное, все красивое, все выходящее хоть сколько-нибудь за пределы отведенного древним славянам примитива объявлялось иноземным, привозным.
Раскопки ремесленных мастерских в русских городах, начатые в 1890-е годы Хвойко и Беляшевским, находки отдельных инструментов и вещей с русскими надписями или с русскими ошибками в греческом тексте – все это уменьшало запас аргументов у историков, отрицавших наличие русского ремесла, но помимо этих данных оставался еще значительный фонд безымянных материалов, вещей «без роду без племени», которые могли истолковываться в зависимости от желания исследователя.
Для расшифровки их мною широко применялось картографирование археологических данных. Картограммы производственного сырья (железо, красный шифер, янтарь), в сочетании с готовой продукцией из этого сырья, обрисовали как узкие районы возможного изготовления широко распространенных вещей (пряслица из шифера), так и повсеместное наличие железной руды для древних домниц. Отсутствие залежей меди, олова, серебра и золота на территории Киевского государства было одним из доказательств отсутствия местной обработки этих металлов.
Между тем, картографирование различных типов вещей дает очень интересные результаты. Многие типы вещей имеют замкнутые области распространения. Таковы, например, височные кольца, определенные типы бус и ряд других предметов[74]74
А.А. Спицын. Расселение древнерусских племен по археологическим данным. – ЖМНП, 1899, август; А.В. Арциховский. Сердоликовые бипирамидальные бусы. – ТСА РАНИОН, 1926, т. I.
[Закрыть].
Естественно предположить, что вещи данного типа изготовлялись где-то в пределах области их распространения. В таком случае и без раскопок мастерских удается доказать местное происхождение вещей. Мною было нанесено на карту несколько серий находок вещей, литых в одной литейной форме, и оказалось, что каждая серия заняла на карте свой маленький обособленный район[75]75
См. ниже в главе «Сбыт ремесленных изделий».
[Закрыть]. Район в 15–20 километров соответствовал сфере деятельности одного мелкого мастера. На той территории, которую исследователи считали почему-то монолитной, таких районов должно разместиться около 200.
В других случаях картографический метод помогал уяснить взаимоотношения между городом и деревней и определить экспорт русских ремесленных изделий в соседние страны.
Последним важным разделом специфической методики исследования археологических материалов является технология изготовления вещей. При недостаточности прямых указаний на технику древнерусского ремесла зачастую приходилось определять ее, исходя из сохранившихся следов обработки на самих вещах. В ряде случаев анализ техники ремесленных изделий позволял восходить от вещи к мастеру, ее изготовившему. Так, например, изучение кузнечной продукции привело меня к выводу, что в кузнице работали два мастера – кузнец и его подручный. Установление даты появления каменных литейных форм определило время перехода городских ремесленников к работе на широкий рынок. Для раннего времени техника литейного дела позволила выделить славянские изделия VI–VII вв., приписывавшиеся ранее готам. Именно в этом разделе наиболее существенно сочетание археологических данных с этнографическими.
По целому ряду вопросов, связанных с техникой ювелирного и литейного дела, мне приходилось пользоваться консультацией знатока русских древностей и практика-ювелира проф. Ф.Я. Мишукова, которому пользуюсь случаем принести свою благодарность.




























