Текст книги "Неолит Северной Евразии"
Автор книги: Владимир Тимофеев
Соавторы: Леонид Хлобыстин,Михаил Косарев,Михаил Потушняк,Майя Зимина,Светлана Ошибкина,Лия Крижевская,Екатерина Черныш,Александр Смирнов,Дмитрий Телегин,Нина Гурина
Жанр:
История
сообщить о нарушении
Текущая страница: 41 (всего у книги 46 страниц)
Для изготовления каменных орудий употребляли базальт, обсидиан и кремневые породы кремовых и малиновых цветов. Многочисленны наконечники стрел, в основном небольшие и с двусторонней обработкой, по форме листовидные, подромбические, треугольные с прямым или вогнутым основанием, треугольные с выемками по краям у основания, черешковые. Наконечники копий и дротиков тех же форм, но среди них встречаются экземпляры с овально-выпуклыми основаниями.
Разнообразны ножи с двусторонней обработкой. Характерны ножи с выделенной рукояткой-насадом и с овально-выпуклым лезвием, называемые «горбатыми ножами». Скребки из отщепов и сколов, округлые с выделенным для вставления в рукоятку концом и клювовидные. Нередко скребками и скреблами служили аморфные отщепы и сколы с ретушью по одному или двум краям, имеются скребки с шипами. Среди проколок характерны плечиковые с резко расширяющейся рукояткой.
Тесла делятся на три типа. Первый – подчетырехугольных очертаний, односторонне выпуклые в поперечном сечении, с тщательно зашлифованной поверхностью, но иногда по краям сохраняются негативы сколов. Второй тип – тесла треугольные по очертаниям и асимметрично-линзовидные в сечении, обработанные сколами, пришлифованные (но рабочее лезвие при этом не затрагивалось). Третий тип – с прямоугольным поперечным сечением, обработанные только сколами. Долотовидные орудия небольшие, подпрямоугольных очертаний и асимметрично-линзовидные в поперечном сечении. Рабочий край и широкие плоскости их зашлифованы. Нередко у таких орудий рабочие лезвия сделаны на обоих концах. Топоры – прямоугольные с прямоугольным же поперечным сечением и удлиненно-треугольные с линзовидным сечением – обычно хорошо зашлифованы. В качестве секачей использовали гальки, обработанные сколами наподобие чопперов. Продолговатые гальки употребляли в качестве отбойников и отжимников. Из галек делали и грузила. На стоянке у пос. Касатка (Итуруп) найдена подвеска из нефрита. К южнокурильской культуре, возможно, относятся губные украшения – лабретки с острова Урупа.
Для этой культуры типичны большие высокие толстостенные сосуды, выполненные ленточным налепом, с плоским дном. Узкие в придонной части, они с плавным изгибом расширяются кверху, образуя подобие вазы. Внешняя поверхность их покрыта веревочными отпечатками. По краю сосудов при помощи налепа делалось утолщение, но часто встречаются венчики сложного профиля, с рельефными выступами. Иногда по краю горшка имеются выступы, служившие ручками, иногда они с отверстиями для подвешивания. Верхнюю половину сосудов украшали налепными валиками или рядами круглых ямок. Сочетание этих видов орнаментации на одном горшке редко. Валики дополнительно украшали насечками.
Керамика южнокурильской культуры во многом сходна с неолитической керамикой среднего и позднего дзёмона Японии, распространенной на островах Хоккайдо и Хонсю во второй половине III–II тыс. до н. э. Некоторые аналогии наблюдаются и в каменном инвентаре этих культур. Однако южнокурильская культура имеет и черты своеобразия. Среди изделий из камня нет ряда типов, характерных для культуры дзёмон, но зато есть орудия, встречающиеся на Сахалине и отсутствующие на Японских островах. Это и позволяет выделять неолитические памятники Курил в особую культуру.
Неолитические обитатели Курильских островов были оседлыми охотниками на лесного и морского зверя, рыболовами и собирателями. В культурных слоях поселений найдены кости медведя, морских зверей и рыб, большие скопления раковин. Жилища, исследованные на стоянках у пос. Алехино, Серноводск и Курильск, полуземляночные. Их котлованы, округлые или подквадратные в плане, небольшого размера (15–25 кв. м), углублены до 0,6–0,8 м, стенки почти вертикальны. Входом служили коридорообразные углубления. В центре жилища или чуть в стороне от него располагался округлый или прямоугольный очаг, сложенный из галек и валунов. Тот же образ жизни был унаследован носителями охотской культуры, сменившей южнокурильскую.
Курильская неолитическая культура близка не только культурам южных и юго-западных сопредельных территорий. Каменные изделия ее находят аналогии на севере в памятниках, выявленных на Охотском побережье и Камчатке и датируемых II–I тыс. до н. э., что свидетельствует о широких этнокультурных контактах на северо-западе тихоокеанского побережья.
Глава 7
Проблемы абсолютной хронологии
(В.И. Тимофеев)
За последние три десятилетия первостепенное значение для хронологии неолита приобрели результаты радиоуглеродного датирования, что значительно изменило представления о возрасте и продолжительности неолита и позволило даже некоторым авторам говорить о «радиоуглеродной революции» в изучении неолита и раннего металла (Renfrew, 1973). Накопление данных абсолютного датирования для культур каменного века различных регионов происходит неравномерно. В 1960-е – начале 1970-х годов было опубликовано значительное количество дат С14 для памятников неолита и мезолита ряда европейских стран и Ближнего Востока, а также некоторых других территорий (Долуханов, Тимофеев, 1972). В Центральной и Юго-Восточной Европе радиоуглеродная хронология заменила дробную хронологическую схему, разработанную ранее для неолита этих территорий В. Милойчичем (Milojčić, 1949). Существенные изменения произошли и в абсолютном датировании неолитических культур Евразии. В начале 1960-х годов была приведена к радиоуглеродной основе абсолютная хронология неолита и энеолита юго-запада Восточной Европы (Passek, 1962), в последние годы эта работа проводится и для неолита лесной полосы (Крижевская, 1973; Тимофеев, Романова, Маланова, Свеженцев, 1978).
Возможности радиоуглеродного метода для построения абсолютной хронологии очень велики. Имеющиеся в настоящее время для неолитических памятников нашей страны радиоуглеродные данные (около 600 дат, табл. 1) конкретизируют сложный характер исторического процесса в первобытности, показывая синхронность существования раннего неолита Юга и позднего мезолита Севера, развитого неолита Севера и энеолита Юга. Вместе с тем, имеются факторы, затрудняющие использование результатов радиоуглеродного датирования, на которых следует остановиться особо.
Как известно, радиоуглеродное определение датирует не весь комплекс находок, а лишь конкретный образец органического вещества, степень связи которого с археологическим материалом может быть различной. Уверенно связанными с комплексами являются (Waterbolk, 1971; 1983) лишь датировки, выполненные по образцам, представляющим собой непосредственно изделия с четкой культурной атрибуцией (деревянные изделия и т. п.), все остальные образцы связываются с комплексами находок лишь с большей или меньшей вероятностью, в зависимости от конкретных условий залегания. Часто сложно однозначное определение связи датированного образца с определенным комплексом находок, особенно на поселениях, содержащих разновременные материалы в стратиграфически не расчленяющемся культурном слое, т. е. в условиях, характерных для многих неолитических стоянок лесной полосы и Севера[50]50
Принципиально новые перспективы открывает сейчас в этом плане «акселерированное» (с использованием масс-спектрометров) радиоуглеродное датирование, при котором для получения даты достаточно микроскопических количеств органического вещества, что позволяет с максимальной точностью атрибутировать связь образца с археологическим материалом.
[Закрыть]. К искажениям датировок приводит загрязнение образцов молодой органикой, проникающей из вышележащих отложений, или органикой более древней, чем комплекс находок, например, остатки более ранних углей – следы древнего лесного пожара, или более раннего, непродолжительного заселения места стоянки, что может четко не фиксироваться стратиграфически и по типологии инвентаря. На торфяниковых стоянках известны случаи удревнения образцов за счет привнесения более древней органики при изменениях уровня воды и размыве более ранних отложений (Tauber, 1958). При залегании остатков стоянки в гиттии (сапропеле) следует учитывать возможность более древнего возраста сапропеля по отношению к комплексу находок (случаи просадки, проецирования остатков культурного слоя в подстилающий слой сапропеля были установлены, например, Ф.С. Завельским и Н.А. Хотинским на Ивановском торфянике). В этом случае датировки, выполненные по образцам вмещающего находки слоя, будут относиться к более раннему времени, чем комплекс находок. В отдельных случаях на радиоуглеродную датировку могут влиять и внешние условия, в которых происходило образование органических веществ, составивших образец. Так, имеются данные о том, что могут быть несколько удревненными датировки образцов, состоящих из остатков подводных растений, ила, раковин из озер с жесткой водой. Следует учитывать также неодинаковую надежность для датирования различных видов органических материалов – так, менее надежными считаются датировки кости и раковин, чаще дающие несколько омоложенный возраст, точность их зависит от совершенства применяемых методов очистки[51]51
Особенности применяемых методик датирования различных видов органических материалов обобщены Х.А. Арслановым (1987).
[Закрыть]. Существует также, как правило, различие между датой смерти организма, вещество которого составило датированный образец, и датой существования поселения. Некоторые исследователи (Neustupny, 1970) придают этой разнице возрастов, редко учитываемой, большое значение. Для стоянок умеренной зоны это расхождение вряд ли будет превышать несколько десятилетий. Интересны в этой связи исследования, проведенные на швейцарских свайных поселениях, показавшие, что в ряде случаев там были использованы стволы деревьев, погибших за 50-100 лет до возникновения поселения (Mook, Minaut, Waterbolk, 1972, p. 491–503), а также соображение X. Таубера (Tauber, 1958) о том, что большая древность некоторых образцов угля может объясняться происхождением угля от щепы, полученной при изготовлении на поселении лодок-долбленок из очень крупных стволов старых деревьев. Известны случаи значительного удревнения датировок, полученных по остаткам органической примеси из теста сосудов, что может объясняться присутствием в глине органики из древних погребенных почв. К значительному удревнению возраста образца может привести наличие в нем битума (применявшегося, например, на древнеземледельческих поселениях для закрепления кремневых вкладышей в составных оправах серпов).
Следует учитывать, что даты, выполненные в различных радиоуглеродных лабораториях, в зависимости от различий в используемой аппаратуре, разницы эталонов, особенностей химической обработки образцов и т. п. могут несколько отличаться, на что при интерпретации конкретных дат обращали внимание некоторые авторы (Neustupny, 1970; Gimbutas, 1970; Coutts, 1972, p. 518–519, 527; Polach, 1972; Klein, Lerman, 1980). Возможно, вследствие этого фактора, датировки археологических культур, распространенных на широких территориях (например, культура шнуровой керамики, культура колоколовидных кубков), выполненные различными лабораториями, не улавливают пока хронологических различий территориальных вариантов культур. В этой связи следует отметить, что даты лаборатории ЛОИА, полученные в 1960-е – 1970-е годы при сравнении с датами, полученными для тех же комплексов лабораториями Берлина, Гронингена и Тарту, давали более молодое значение (для образцов возраста 4–7 тыс. лет различие составляло 200–400 лет). На наш взгляд, в первой половине 1980-х годов после методических и аппаратурных изменений в процессе обработки и счета образцов ЛЕ имело место иное явление, в частности меньшая стабильность дат, иногда – необъяснимое удревнение образцов. Во второй половине 1980-х годов эти явления были устранены.
Накопление данных радиоуглеродного датирования привело к удревнению возраста неолита по сравнению с представлениями, сложившимися до распространения этого метода датирования. Как известно, А.Я. Брюсов (1953) относил появление керамики в лесной зоне ко времени около 3000 лет до н. э., радиоуглеродные даты углубляют эту границу почти на полтора тысячелетия. Однако процесс удревнения этим еще не завершился. Комплексными исследованиями ряда лабораторий установлено существенное несоответствие «радиоуглеродного» и календарного, исторического возрастов для значительной части голоценового периода. Для рассматриваемой неолитической эпохи радиоуглеродные датировки отклоняются от истинного, календарного, возраста в сторону омоложения в значительных пределах – от 400–600 лет для III–IV тыс. до н. э. до 800–900 лет для V–VII тыс. до н. э. Наличие этих отклонений, обусловленных колебаниями в содержании С14, сейчас твердо установлено многочисленными сериями датировок годичных колец долгоживущих деревьев, выполненных в американских и некоторых западноевропейских лабораториях, и масштабы расхождений «радиоуглеродного» и календарного возрастов для значительного отрезка времени измерены (Suess, 1967, 1970; Damon, 1972; Klein, Lerman, Damon, Ralph, 1982; Kramer, 1986; Арсланов, 1978, и др.). Важно также, что радиоуглеродное датирование серий образцов из древнейших комплексов, датируемых по данным письменных источников, также подтверждает необходимость введения поправок, устанавливаемых по дендрохронологическим данным (Säve-Säderbergh, Olsson, 1970; Mellaart, 1979). Все эти многочисленные материалы вызывают необходимость введения соответствующих поправок и для радиоуглеродных датировок неолитических памятников Евразии. В практике исследователей большинства европейских стран поправки при обращении к календарному (в частности, формулируемому в «годах до нашей эры») возрасту учитываются, хотя в деталях и существуют небольшие расхождения, обусловленные существующими вариантами подсчета поправок («калибровки» дат). В прилагаемом к данному тому списке дат неолитических памятников предложены рассчитанные Г.И. Зайцевой по калибровочным таблицам Дж. Кляйна и др. конкретные поправки для имеющихся в нашем распоряжении датировок[52]52
См. В.И. Тимофеев, Г.И. Зайцева. Список радиоуглеродных датировок неолита.
[Закрыть]. Введение поправок приводит к значительному удревнению нижней границы неолита и увеличению его продолжительности. Абсолютная датировка основных хронологических рубежей неолита на территории Евразии будет выглядеть следующим образом:

Возможно, что соответственно уменьшится продолжительность предшествующей, мезолитической эпохи. Дата начала голоцена (около 10 тыс. лет тому назад), близкая или принимаемая за начало мезолита, вряд ли претерпит значительные изменения, на что указывают, в частности, данные по изменениям напряженности магнитного поля Земли, которые рассматриваются как основные факторы, обусловившие вариации в содержании С14 в атмосфере (Bucha, Neustupny, 1967).
Даты С14 убедительно выявляют явление неравномерности в появлении и развитии ранненеолитических культур на территории Евразии, фиксируют последовательные этапы неолитизации Ближнего Востока, Южной и Центральной Европы (Clark, 1965; Долуханов, Тимофеев, 1972, карты 1–8; Breunig, 1987, abb. 14), причем появление первых неолитических комплексов в материковой Греции и на севере и северо-западе лессовых равнин Центральной Европы разделено интервалом не менее тысячи лет. Даты неолитических комплексов Средней Азии[53]53
Следует отметить, что известная дата пещеры Джебел, долгое время рассматривавшаяся как опорная для неолита обширного региона, судя по архивным данным (старому уточнению в журнале записи образцов лаборатории, сделанному, видимо, автором раскопок А.П. Окладниковым), относится не к IV, а к III слою (примеч. авт.).
[Закрыть] являются более ранними по сравнению с датами комплексов неолита более северных территорий и поздними по отношению к памятникам Ближнего Востока, где появление керамики относится ко времени около 8 тыс. лет назад (без «калибровки»), в отдельных случаях – несколько раньше, а четко определимые кости домашних животных появляются на большинстве датированных поселений около 9 тыс. лет назад (Breunig, 1987).


Рис. 106. Радиоуглеродные датировки неолитических памятников.
1 – датировки неолитических памятников; 2 – датировки памятников, в которых отсутствует керамика; 3 – датировки горизонтов, подстилающих культурный слой; 4 – датировки горизонтов, перекрывающих культурный слой.
Значения дат С14 взяты с удвоенной величиной стандартного отклонения (статистической ошибки), что обеспечивает вероятность 95 %. Даты приведены для значения полураспада 5570±30 лет («значение Либби»).


Датировки, имеющиеся для ранненеолитических комплексов различных регионов лесной полосы, фиксируют, что начало неолитизации лесной зоны Восточной Европы происходило примерно в то же время, что и появление первого неолитического населения на равнинах Центральной Европы (культуры линейно-ленточной керамики). Почти одновременное появление керамики на обширных территориях (судя по датам культур верхневолжской в центральных районах, нарвской в Восточной Прибалтике, сперрингс в Карелии и Финляндии) указывает, очевидно, на очень быстрое распространение навыков керамического производства. Судя по уже довольно многочисленным данным, появление первой керамики на юге Сибири и в Южном Приуралье произошло раньше, чем в лесной полосе Европейской части и примерно синхронно или немногим позже появлению керамики и элементов производящего хозяйства на юге Средней Азии. Можно предположить, что к этому же времени относятся и ранненеолитические комплексы степной полосы Восточной Европы, хотя даты степных неолитических памятников очень немногочисленны и раннекерамические слои в этом обширном регионе еще не датированы радиоуглеродным методом (даты Матвеева Кургана в Приазовье, на наш взгляд, относятся к периоду, непосредственно предшествующему появлению первой керамики). Распространение керамики в наиболее северных районах лесной полосы и на Крайнем Севере, судя по серийным датировкам неолитических памятников Кольского полуострова, ранненеолитических комплексов сыалахской культуры, подстилающих их комплексов позднего мезолита Якутии, произошло позднее, чем на более южных территориях.


Накопление данных по радиоуглеродной хронологии приближает решение вопросов синхронизации стратиграфических колонок культур смежных и удаленных регионов и установления хронологического соотношения локальных вариантов неолитических культур. Для наиболее изученной в отношении абсолютной хронологии Восточной Прибалтики серийными датами фиксируются временные различия локальных вариантов обширной нарвской культуры. Наиболее ранний, южный, примерно синхронен ранним комплексам верхневолжской культуры и датированным материалам культуры сперрингс Карелии, западный вариант существовал в литоральной зоне Литвы и Западной Латвии синхронно с комплексами культуры гребенчато-ямочной керамики Восточной Латвии и Эстонии. Культура гребенчато-ямочной керамики Восточной Прибалтики синхронна, судя по имеющимся датам, ранним комплексам волосовской культуры центральных районов лесной полосы, чему соответствуют и находки янтарных украшений, открытых на ряде волосовских памятников (Крайнов, 1987б). Необходимо отметить, что до настоящего времени недостаточно разработана линия синхронизации памятников культуры гребенчато-ямочной керамики Восточной Прибалтики и Финляндии: комплексы с керамикой стиля II, по А. Европеусу, в Финляндии имеют значительно более ранние даты С14 (Jungner, 1979), чем стоянки с близкой керамикой в Эстонии и Восточной Латвии (см. также: Янитс Л., Янитс К., 1981).
Можно отметить, что, как показывают данные по хронологии ряда регионов, появление первой металлургии (меди) происходило еще в неолитическое время, в разных независимых друг от друга центрах, при наличии соответствующих природных ресурсов. Так было на Ближнем Востоке, где первые изделия из самородной меди появились еще в докерамических комплексах, на Кавказе, где «ранний энеолит» синхронен неолитическим культурам смежных территорий, на Балканах, где раннее и независимое от других центров появление металлургии было показано К. Ренфрю (Renfrew, 1969). В этот же ряд следует поставить и находки первых медных изделий в еще неолитических по остальным признакам комплексах Карелии (Журавлев, 1977а, б). Видимо, сосуществование в смежных регионах «энеолитических» и неолитических поселений представляло собой относительно частое явление. Неясен вопрос о возможности сосуществования в более раннее время в разных «экологических нишах» ранненеолитического и позднемезолитического населения. Не исключено, что этим обстоятельством могут объясняться некоторые поздние датировки мезолитических комплексов. Одной из принципиально важных особенностей применения данных радиоуглеродного метода является возможность замены эволюционных схем конкретной хронологией, отражающей неравномерности, различия в темпах развития и изменения материальной культуры и позволяющей в определенной мере реконструкцию исторического процесса в его конкретности.
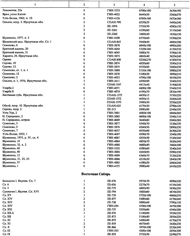
Список радиоуглеродных датировок неолита
(В.И. Тимофеев, Г.И. Зайцева)
Таблица 1.
Условные обозначения к списку радиоуглеродных датировок: 1 – древесный уголь; 2 – древесина; 3 – древесная кора; 4 – торф; 5 – сапропель (гиттия); 6 – кость, рог; 7 – почва; 8 – раковины; 9 – остатки пищевого нагара на поверхности сосудов (внутренней), датированные с применением ускорительной техники («акселерированное» радиоуглеродное датирование); 10 – зерно. Датировано с применением ускорительной техники («акселерированное» радиоуглеродное датирование).










Таблица 2.
Соотношение «радиоуглеродного» и календарного возраста для периода 4000–7200 лет тому назад[54]54
В последние годы разработаны специальные компьютерные программы для перевода радиоуглеродных дат в календарную временную шкалу. В их основе лежат уточненные калибровочные кривые Стювера, Пирсона, Беккера и др. (Stuiver, Bekker, 1986; Stuiver, Pearson, 1986). В соответствии с этими кривыми одной радиоуглеродной дате может отвечать несколько возможных интервалов календарного возраста. Кроме того, можно получить календарные интервалы для разных уровней вероятности, соответствующих значениям одного или двух стандартных отклонений. Суммарный интервал, полученный с использованием компьютерной программы, и интервал по таблице Дж. Кляйна отличаются незначительно, поскольку в обоих случаях использованы калибровочные кривые М. Стювера. Информация о компьютерных программах и их применении опубликована в специальном выпуске журнала «Радиокарбон» (Van der Plicht, 1993).
[Закрыть].

Пояснение к списку радиоуглеродных датировок.
В приводимом списке указаны даты С14, опубликованные ранее и новые (последние выполнены в основном в лаборатории ИИМКа, С.-Петербург). Даты заведомо недостоверные (резко омоложенные или значительно удревненные) в список не включались. Все даты С14 приведены для значения полураспада 5568±30 («значение Либби»), принятого международными стандартами. Значение даты «л. т. н.» – «лет тому назад» – указывается согласно принятым стандартам от 1950 г. (т. е. для вычисления условного, «радиоуглеродного» возраста «до нашей эры», часто используемого отечественными исследователями, следует отнять от возраста «л. т. н.» 1950 лет). Исключение составляют даты лаборатории СОАН, применяющей как год отсчета не 1950, а 1970.
Как установлено многолетними специальными исследованиями лабораторий ряда стран «радиоуглеродный» и реальный, календарный возраст прямо не совпадают, что обусловлено флуктуациями содержания углерода-14 в атмосфере Земли. Календарный возраст конкретных радиоуглеродных дат также приводится в списке. Пересчет радиоуглеродных дат в календарные производился по наиболее полным и подробным калибровочным таблицам, опубликованным Дж. Кляйном и др. (Klein а.о., 1982). Сокращенный вариант этих таблиц, для отрезка времени, соответствующего неолитическому периоду, представлен на табл. 2. Таблицы составлены на основании сравнения результатов радиоуглеродного дендрохронологического датирования колец долгоживущих деревьев, проведенных в радиоуглеродных лабораториях различных университетов США и Западной Европы. Диапазон радиоуглеродного возраста, приведенного в калибровочных таблицах, составляет от 10 до 7240 лет и рассчитан для периода полураспада С14 5568 лет. Каждой радиоуглеродной дате таблицы соответствует определенный интервал календарного возраста, с вероятностью 95 %, с округлением до 10 лет. Величина интервала календарной даты зависит от статистической ошибки радиоуглеродной даты и обусловлена измеренными различными изменениями концентрации С14 в атмосфере, как глобальными и продолжительными, в пределах тысячелетий, так и кратковременными, вековыми вариациями. Различными исследованиями доказана синхронность вековых вариаций С14 для районов США и Западной Европы, в связи с этим вполне правомочно использовать калибровочные таблицы для уточнения возраста неолитических памятников Евразии. Калибровка радиоуглеродных дат древнее 7240 лет производилась по графику Б. Крамера, М. Рейна и др. (Kramer а.о., 1986). Данный график составлен на основании радиодендрохронологических измерений колец южногерманского дуба (стволов, сохранившихся в погребенном состоянии), произведенных лабораторией Гейдельбергского университета. В настоящее время установлено, что до 6200 лет до н. э., уровень вариаций С14 в атмосфере, измеренный анализами древесины южногерманского дуба, соответствует закономерностям, установленным по анализам древесины сосны остистой и секвойи Северной Америки. Однако данных для интервала 7200–8200 л. т. н. еще недостаточно для выявления статистически достоверной зависимости радиоуглеродных и дендрохронологических дат, в связи с чем калибровка радиоуглеродных дат указанного интервала является на данном этапе приблизительной.




























