Текст книги ""Перевал Дятлова". Компиляция. Книги 1-9 (СИ)"
Автор книги: Виктор Точинов
Соавторы: Алексей Ракитин,Анна Матвеева,Евгений Буянов,Алан Бейкер,Екатерина Барсова,Сергей Согрин,Павел Барчук
Жанры:
Боевая фантастика
,сообщить о нарушении
Текущая страница: 80 (всего у книги 102 страниц)
* * *
Время близилось к полуночи.
У капитана Маркушева наконец-таки догуляли – шумная компания долго еще разговаривала у крыльца, но все же распрощались и разбрелись кто куда, а капитан, изрядно пошатываясь, вернулся в дом.
Микеша выждал еще полчаса: не погаснет ли свет? Но свет не гас, и он решил, что мерзнуть дальше смысла нет.
Поднялся на крыльцо. Дверь была не заперта. Вошел в тесные сени. Изнутри бубнил голос. Микеша прислушался: не все разошлись? Нет, репродуктор…
…Капитан спал сидя, навалившись на стол, заставленный бутылками и грязной посудой. Больше в горнице никого не было.
От кирпичной печки ощутимо тянуло теплом. Микеша откинул дверцу, увидел краснеющие угли. Отлично, все даже проще, чем представлялось. Он до конца задвинул заслонку трубы. На вид ничего не изменилась. Но в горницу теперь вползала смерть, невидимая и неслышимая. А за столом, уткнувшись лицом в заляпанную скатерть, похрапывал мертвец.
Прежде чем уйти, Микеша остановился у вешалки. Поверх темно-синей шинели висел ремень с кобурой – с плохонькой, кирзовой.
Микеша помедлил, сомневаясь. Если уйти, не взяв, то комар носу не подточит. А если…
Поразмыслив, все же расстегнул кобуру и вытащил наган. Шут с ним, пусть грешат на недавних собутыльников. А Гешка давно хотел ствол, да все не подворачивался подходящий, в мокрухах не засвеченный.
…Он шагал по ночному Вижаю и чувствовал: что-то не так. Слишком много светится окон для такого времени. Слишком много возбужденных поддавших компаний, а ведь завтра рабочая суббота.
Вдалеке грянули выстрелы: один, второй, третий. Потом небо вспорола сигнальная ракета. Микеша не понимал ничего. Дом Маркушева в другой стороне – неужто Гешка сделал какую глупость и спалился?
Очередная компания вывернулась навстречу неожиданно из-за угла барака, и он не успел отступить в темноту, как делал до того. Какой-то мужик подскочил, распахнул объятия (рука Микеши непроизвольно дернулась к карману, где лежал наган).
Но мужик лишь приобнял за плечи, похлопал. От него пахло водкой.
– Поздравляю, брат, поздравляю!
– С чем? – не понял Микеша.
– Ты что, бля, радио не слушал?!
– Не сложилось…
– Спутник, бля, запустили! Спутник, прикинь?! Летает, пикает!
– И хули? – снова не понял Микеша.
– От ты дурной… Ты глянь, бля, на небо, глянь!
Компания пошагала дальше, нетрезвые голоса окликали мужика, но он лишь отмахнулся, занятый культурно-просветительной работой среди Микеши.
– Глянул? И вот прикинь, бля, что до сих пор все звезды от Бога были, а теперь наша летает, человечья? Ты прикинул?! Так ведь пойдет – и солнце второе засветим! Чтобы лето везде круглый год, прикинь?!
Небо было затянуто низкой облачностью, никаких звезд не виднелось, ни божьих, ни рукотворных. Но Микеша не стал обижать мужика, сказал:
– Второе солнце – это хорошо. И спутник – хорошо.
– Во-о! – мужик наставительно поднял палец и потрусил догонять своих.
А Микеша пошагал дальше, раздумывая: если звезды – это души правильных охотников, то чья же душа теперь там летает и пикает? Но так ничего и не надумал: не силен был в отвлеченных материях.
* * *
Позже Гриднев поражался, до чего же все гладко прошло. Фальшивым «воркутинским геологам» никто не удивлялся. Все воспринимали как должное. Границ в тайге никто не проводил, поди пойми, где в точности заканчивается Северный Урал и начинается Приполярный. Документов никто не спрашивал. Фальшивая печать и поддельные бланки не потребовались. Ну, сидит экспедиция от «Воркутагеологии», разведку ребята делают, промывают что-то на промприборе – эка невидаль! Заскакивали пару раз охотники-манси, подбрасывали мясо в обмен на спирт – и тоже ничего не заподозрили.
Разумеется, в «Воркутагеологии» знать не знали о своих якобы сотрудниках и снабжать их ничем не собирались. Со снабжением продуктами могли бы возникнуть трудности, все-таки двенадцать ртов – это двенадцать ртов (в заданный лимит они не уложились). Но Рогов придумал гениальный план: восстановить рыбный промысел на Лозьве, что держали геологи из Северного, – и исподволь распустить о том слухи.
Выгода получилась двойная. Даже тройная. И на жрачку меньше тратиться приходилось, и денежка кое-какая капала, и еженедельным рейсам во 2-й Северный никто не удивлялся, все знали: Гриднев, нехороший человек, там браконьерничает. Заезжали офицеры-вертухаи из Ивдельлага, намекали: знаем, знаем, чем там занимаешься, делись по-хорошему, чтоб не обернулось по-плохому. Гриднев делился, и с другими тоже, никому не отказывал: одним – балык пудового таймешка, другим – бочонок малосольной сельди; все уезжали довольные.
А главное незаконное занятие так и оставалось в тени другого – Рогов рассчитал все точно. «Сам Сатана ему ворожит», – с тихой ненавистью думал Гриднев о компаньоне. А потом всё же случилось то, чего он опасался с самого начала. Какой-то шарик в голове у Рогова заскочил за ролик. Или крышу снесло от постоянных удач. Когда гнездо исчерпалось, Рогов самовольно перебросил людей и технику южнее. Почти к самому 2-му Северному. Там у Рогова было другое разведанное местечко, и с подъездом стало меньше проблем, но вот геологам из «Воркутагеологии» там делать было решительно нечего. И никакой неточностью карт их появление было уже не объяснить. Причем устроился Рогов вольготно и нагло, не таясь больше по ручьям-притокам, – сараюшка с промприбором открыто стояла на берегу Лозьвы.
Гриднев узнал об этом в начале осени 58-го, вернувшись из шестинедельного отпуска, из Анапы, – узнал и схватился за голову.
– Не паникуй, – невозмутимо сказал Рогов. – Прокатило там, прокатит и здесь, никто в верховьях сейчас не бывает. Здесь карман поменьше, к весне все выберем и разбежимся. Дом себе в Крыму куплю, и на жизнь безбедную до старости хватит. А ты где над златом чахнуть будешь?
Гриднев не ответил. Ему очень хотелось заехать кулаком в наглую, обросшую рыжей бородой морду. Но он сдержался. Он не забывал о Парамоше и улице Ленина. Никогда не забывал.
Глава 15. Используй то, что под рукою, и не ищи себе другое, или К вопросу о несъедобной колбасе
А теперь – давно обещанный рассказ о том единственном оружии, что способно было нанести травму, погубившую Николая Тибо-Бриньоля.
С давних времен люди использовали для самообороны (и не только для нее) привычные орудия труда – то, что всегда под рукой.
Например, издавна бродившие по Руси плотничьи артели становились объектом внимания лихих людей, когда возвращались домой с заработанными деньгами. Их оружием самозащиты становились не молотки и топоры, как можно бы подумать, – те лежали в ящиках с инструментами, и не всегда было время их доставать. В качестве оружия выступал плотницкий отвес: он всегда в кармане, под рукой. Вроде простая штука: небольшая заостренная гирька на длинном прочном шнурке – но воистину убийственная в умелых руках.
Причем в классическом варианте гирька делалась непременно граненой, не круглой в сечении – а зачем, объяснил автору этих строк один плотник преклонных лет (в Коми АССР – давно, в конце 80-х).
На примере показал: раскрутил в руке отвес так, что тот слился в полупрозрачный круг от стремительного движения, – и вмазал по дюймовой доске, сломав ее пополам. Впечатлило. А граненая гирька по черепу не скользнет, в отличие от круглой, пояснил старый плотник, враз голову проломит.

Илл. 63. Отвес круглый и отвес граненый. Для работы одинаково пригоден любой из них, грани – дань давней традиции самообороны.
Ямщики мастерски владели своими кнутами – вплетали в кончик свинцовую пулю, и она при умелом ударе била немногим слабее, чем пистолетная. Для ближнего же боя в рукоять кнута заливали свинец.
Приказчики купцов, занимавшихся выездной торговлей, и мелкие бродячие торговцы-офени отбивались от лихих людей безменами. Не теми пружинными или электронными весами, что распространены в наше время, – старинный безмен был устроен иначе: прочный металлический штырь длиной около аршина, посередине имелись насечки-деления, на одном конце – крюк, на другом – увесистая гирька (тоже зачастую граненая – догадайтесь, для чего). Смещая по штырю точку подвешивания, можно было обходиться без набора гирь-разновесов и не возить с собой лишнюю тяжесть. Большой точностью эти рычажные весы не отличались, но вот голову ими проломить можно было замечательно.
Те приказчики и офени, что торговали тканями, безменами по понятным причинам не пользовались. Им служил оружием самообороны аршин, которым измерялись отрезы ткани. Не мера длины, понятно, а увесистая деревянная рейка, ей соответствующая, – делали аршины из самых тяжелых и твердых пород дерева (такие почти не сокращаются в длине при высыхании), зачастую оковывали металлом – можно было бить от души, не опасаясь сломать. Более того, в XVII веке царь Алексей Михайлович ввел своим указом аршины цельнометаллические, хотя далеко не все купцы тот указ исполняли. Металлическим аршином можно было приложить супостату еще качественнее.
Любое оружие мало чего стоит, если не уметь им владеть, – и стихийно вырабатывались и совершенствовались техники боя с использованием безменов, аршинов и т. д. – ныне позабытые ввиду исчезновения из обихода соответствующих предметов.
Купцы, начальствовавшие над приказчиками, безмены и аршины с собой не таскали. Но и им приходилось, ввиду отсутствия системы безналичных расчетов, носить наличность с собой. Их «оружием последнего шанса» был кошель с той самой наличностью, он же «гаман», он же «мошна» – названий много, а суть одна: мешочек из прочной кожи на длинном прочном шнурке можно было использовать как импровизированный кистень. У длинного шнурка было и другое назначение: при расчетах на рынке он крепился за кисть руки или за пояс, чтобы ловкий жулик не выхватил мошну из руки и не бросился наутек (кстати, изначальное значение слова «мошенник» – преступник, выхватывающий или срезающий мошну в рыночной толпе). Чтобы шнурок труднее было оборвать или перерезать, в него зачастую вплетали металлические нити.

Илл. 64. Старинные безмены. В умелых руках были не менее страшным оружием, чем палица или булава.
Разумеется, использовать такое не очень-то надежное «оружие последнего шанса» мог решиться далеко не каждый человек, оказавшийся перед дилеммой «кошелек или жизнь», – тут нужна незаурядная смелость либо запредельное нежелание отдавать все, что нажито непосильным трудом. Да и умение нужно: без него что отвес, что кистень, что мошна – любое оружие, где вместо рукояти цепочка или шнурок, – становится не просто бесполезным, но даже опасным для того, кто пытается им воспользоваться. Можно засветить себе же по затылку – бывали случаи.
Время шло, в обиход вошли ассигнации, сначала наряду с монетами, затем все более вытесняя их. Но даже в конце XIX века, и даже в XX-м изготавливали кошельки для мелочи особой формы, позволяющие использовать их как своего рода кистень. А для бумажников с купюрами появился настоящий изыск технической мысли: сверхплоские пистолетики, укрытые в потайном отделении бумажника. Короткоствольные, малого калибра, они тем не менее позволяли сделать в грабителя несколько неожиданных выстрелов в упор. Этим «оружием последнего шанса» тоже рисковали воспользоваться немногие – тем не менее производилось оно серийно, т. е. находило свой спрос.
На том эволюция кошельков как оружия самообороны завершилась. Поставило крест на ней развитие безналичных расчетов: чековые книжки, а затем и магнитные банковские карты позволили богатым людям не таскать с собой суммы, ради которых стоило рисковать жизнью, вступая в схватку с вооруженным грабителем.

Илл. 65. Эволюция кошелька как оружия самообороны: 1 – классическая мошна; 2 – кошелек для мелочи особой формы, позволяющей наносить увесистые удары; 3 – портативный пистолетик для ношения в потайном отделении бумажника; 4 – банковская карта.
Часто случается, что средства самообороны, не слишком летальные в том числе, берет на вооружение преступный мир: с помощью электрошокера или газового баллончика можно как отбиваться от нападения, так и нападать.
Классическая купеческая мошна заинтересовала грабителей еще в очень давние времена одним своим любопытным свойством: после удара ею на пострадавшей голове не оставалось наружных следов. Ударив с достаточной силой, можно было убить, но кожа оставалась целой, кровь не текла.
Объяснялось это тем, что на Руси в допетровские времена чеканились своеобразные монеты – т. н. «чешуйки». Маленькие, очень легкие, они действительно напоминали рыбью чешую, и даже наиболее крупные из них далеко не дотягивали до веса современной копейки.

Илл. 66. Монеты-«чешуйки». Их весовые характеристики очень сильно колебались при одинаковом номинале – поэтому, если надо было заплатить значительную сумму, крошечные монетки не отсчитывали, а взвешивали.
Такая уж технология изготовления применялась: рубили на кусочки достаточно тонкую серебряную проволоку (позже наряду с ней стали использовать медную), а полученные обрубки шли под штамп, значительно больший их по размеру – так что две одинаковых «чешуйки» найти сейчас в коллекциях нумизматов невозможно, каждая несет на себе свой фрагмент рисунка со штампа.
Удар мошной, набитой «чешуйками», получался мягким, но при этом совершенно не упругим – вся его немалая энергия доставалась пострадавшему черепу. Разумеется, у преступных элементов серебро в надлежащих количествах водилось редко, так что они прибегали к другим наполнителям – после ряда трансформаций мошна-кистень превратилась в орудие под названием «песочная колбаса».
Вот что о ней писал Нил Ознобишин в книге «Искусство рукопашного боя», изданной в 1930 году издательством НКВД РСФСР:
«Песочная колбаса – очень простое оружие для внезапного нападения – состоит из длинного узкого холщового мешка в форме колбасы, плотно набитого песком; иногда туда кладется маленькая гирька для отвеса. В России ею довольно часто пользуются при уличных нападениях. За границей дело обстоит несколько иначе и, пожалуй, во много раз хуже.
В Англии, Франции, Бельгии, Германии, Италии, Испании выработалась особая разновидность грабителей-специалистов, носящих кличку «крысы гостиниц» или в некоторых местах «уистити». Эти «крысы» избрали полем действий самые крупные и дорогие интернациональные отели и гостиницы, которые кишмя кишат богатой интернациональной буржуазией. Коридоры колоссальных гостиниц очень длинны и обладают массой закоулков. Ночью они ради покоя и экономии полуосвещены.
«Ночная крыса» останавливается обычно в гостинице, как и все прочие постояльцы. С наступлением ночи грабитель надевает черное шелковое сплошное трико, которое сливается своим цветом с тенями коридора, берет в руки песочную колбасу и незаметно идет по пустынному коридору за запоздалым постояльцем. Удар колбасой по голове – и последний падает без чувств. Наутро прислуга находит постояльца начисто ограбленным. Эти грабители особенно опасны потому, что работают в одиночку, а это сильно затрудняет их розыск. Об этих ограблениях газеты стараются умалчивать, не желая отбивать от гостиниц богатую клиентуру, между тем подобных случаев можно насчитать тысячи».
О России Ознобишин упоминает вскользь, делая акцент на том, как все плохо у проклятых буржуинов. Однако и у нас это оружие применялось широко: плотность песка (1,5–1,7 т/куб. м) значительно меньше, чем серебра (10,5 т/куб. м), – и классическая «песочная колбаса» была оружием не летальным: оглушить, ограбить, но не убить.
Дело в том, что профессиональные уголовники старой, дореволюционной школы чурались убийств – аристократией преступного мира считались «щипачи» и «медвежатники» (т. е. карманники и специалисты по вскрытию сейфов), а «мокрушников» (т. е. убийц) старорежимные уголовники презирали и старались держаться от них подальше.
Никаких внешних повреждений жертва «колбасы» не получала. И избавиться от орудия преступления можно было легко и просто: высыпать песок на немощеную улицу – и вот уже в кармане лежит безобидный пустой кисет. Какой-нибудь молоток – окровавленный, с прилипшими волосами жертвы – что уносить с собой, что выбрасывать достаточно рискованно. Да и любой другой твердый тупой предмет может стать уликой для следствия и суда. А рассыпанный песок… дунул ветер – и нет его.
Хотя и для убийства «песочную колбасу» можно применить – если нанести не один, а серию ударов. По крайней мере, у каторжан царских времен был такой способ казни провинившихся сотоварищей: их забивали насмерть самыми примитивными аналогами «колбасы» – носками, заполненными песком. Следов на теле не оставалось, а тюремные фельдшеры вскрытиями не занимались и констатировали смерть от естественных причин.
Но то на каторге. А на воле, если все-таки планировали убийство при помощи «колбасы», ее наполняли не песком – мелкой свинцовой дробью. Плотность свинца составляет 11,35 т/куб. м. Как нетрудно подсчитать, энергия удара «свинцовой колбасой» вырастает в семь раз по сравнению с базовым вариантом. Несмотря на это, при попадании в голову кожа опять-таки не повреждается, а вот черепу приходится туго.
* * *
На Западе эволюция «песочной колбасы» шла несколько иным путем и началась как раз со свинцовой дроби. Причина в том, что невесомые монеты-«чешуйки» чеканились только на Руси, а если использовать в качестве оружия кошель с крупными и увесистыми европейскими монетами, эффект мягкого оглушающего удара не достижим.
Европейские моряки издавна применяли во время драк в портовых кабаках т. н. «коши» (илл. 67, вверху) – увесистые кожаные мешочки с дробью – не завязывающиеся, наглухо зашитые – по поражающим свойствам не отличавшиеся от русской мошны с «чешуйками». Это тоже своего рода инструмент, или подручный морской инвентарь: коши привязывались при швартовке к концам тросов, забрасываемых на пристань или причал (привязав цельную гирьку, можно было при неудачном броске серьезно травмировать людей, принимающих с берега швартовы, к тому же мешочек с дробью не повреждал каменную облицовку пристаней).

Илл. 67. Эволюция мягкого ударного оружия на Западе: морской кош и его потомки, блэк-джеки на любой вкус.
Позже коши моряков трансформировались в небольшие карманные дубинки, кожаная ударная часть которых заполнялась дробью, а коротенькая рукоять делалась гибкой и упругой – из китового уса, витой пружины и т. д. – и тоже обшивалась кожей. Эти дубинки, называемыми «блэк-джеками», можно было незаметно носить в кармане или рукаве, и ими вооружали секретных агентов английской полиции, плюс к тому широко рекламировали как оружие самообороны для мирных граждан. Были и другие разновидности, с другими названиями, но мы на них останавливаться не будем, дабы не превращать наше исследование в справочник по холодному оружию.
Дробь не песок, и дубинкой со свинцовым наполнением убить можно запросто, поэтому английские законы ограничивали вес используемого свинца 10 унциями. Хотя встречаются упоминания и о более тяжелых блэк-джеках – возможно, то были полицейские модели.
Ну, а преступные элементы ничем себя не ограничивали. Подбирали вес, размер и наполнитель под свои задачи – как использовали мягкое ударное оружие «гостиничные крысы», нам уже рассказал тов. Ознобишин в своей книге (ее, кстати, через несколько лет после выхода запретили и изъяли из библиотек: слишком много полезных для преступников сведений в ней содержалось).
* * *
Разумеется, смертельную травму Николаю Тибо-Бриньолю нанесли не блэк-джеком и не мошной с серебряными «чешуйками» – откуда было взяться такой экзотике в уральской глуши?
А вот использовать в качестве импровизированного кистеня мешочек со шлиховым золотом, – как мы выяснили, вполне реально для тех мест и того времени. За счет большего удельного веса такое оружие значительно опаснее, чем мешочек со свинцовой дробью, не говоря уж о песке.
Судя по размеру пролома в черепе (9 × 7 см), орудие преступления было со среднюю грушу размером (объем около стакана) и, если догадка о шлиховом золоте верна, весило около 3–3,5 кг. Мешочек с чистым золотом был бы ещё тяжелее: в шлиховом много более легких примесей.
Выше написано достаточно, чтобы стало ясно: удар получился бы бескровный и кожу бы не повредил. Но хватило бы его силы, чтобы случились те внутренние повреждения, что обнаружил судмедэксперт Возрожденный?
Без расчетов не обойтись. Следственный эксперимент провести не представляется возможным: голов вокруг много, но где же взять три с лишним килограмма золота при скромных писательских доходах?
Хорошо, посчитаем, стараясь поменьше грузить тех читателей, кто со школы испытывает неприязнь к формулам и уравнениям. Для этого воспользуемся данными профессора НГУ Н. В. Куриленко, в свое время подсчитавшего кинетическую энергию, необходимую для нанесения полученной Тибо-Бриньолем травмы. Минимально необходимую величину энергии профессор определил как 33,7 Дж (цифры позаимствованы из уже не раз упоминавшегося нами сборника «Перевал Дятлова. Исследования и материалы»).
Вычисляется кинетическая энергия удара по такой формуле:

где m – масса наносящего удар предмета, а V – его скорость.
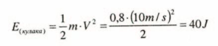
Посмотрим, какая энергия получится, если бить в голову ничем не вооруженной рукой.
Масса кулака мужчины при таких расчетах принимается равной 0,8 кг (на самом деле здесь учитывается масса не только кулака, но не будем вдаваться в излишние тонкости). Скорость удара примем за 10 м/с: с такой скоростью наносит боковой удар тренированный боксер либо каратист второго дана (прямые удары значительно медленнее).
Получаем на выходе:

40 Джоулей – получается, что этого достаточно? Прав был Ракитин – и Тибо-Бриньоля мог убить кулаком тренированный спецназовец?
Нет, не получается, и Ракитин не прав. Далеко не вся кинетическая энергия летящего к голове кулака достанется костям черепа. Что-то отберет упругость соударения, что-то погасит головной убор, но самая большая потеря придется на то, чтобы привести в движение цель удара (проще говоря, голова дернется в сторону). Если черепу достанется четверть кинетической энергии, то уже можно считать, что удар был удачным, нанесенным под углом 90 градусов, – а 10 Дж никак не хватит, чтобы проломить череп так, как он был проломлен у Тибо.
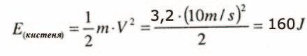
А теперь подставим в ту же формулу вес импровизированного мягкого кистеня, усреднив его до 3,2 кг. Скорость оставим прежнюю, 10 м/с: с одной стороны, она должна вырасти за счет того, что груз на шнурке движется по дуге большего радиуса, но мы сделаем скидку на то, что на Северном Урале в 1959 году едва ли изобиловали каратисты второго дана с их натренированными ударами.
И вот что получается:

Итоговый результат следом за массой вырос в четыре раза, и мы теперь укладываемся в минимальную энергию удара, заданную профессором Куриленко, даже с запасом.
На самом деле эти простенькие формулы лишь относительно применимы к мягкому тяжелому орудию: удар там наносит не один предмет массой 3,2 кг, происходит как бы множество почти одновременных ударов мелкими предметами. Физико-математическая модель такого процесса весьма сложна, но мы не будем вдаваться в научные дебри, ибо итоговая цифра не уменьшится сколько-нибудь значительным образом.
Вывод однозначен: нами обнаружено единственное оружие, способное нанести ту травму, что была нанесена, не оставив внешних следов.
Реконструкция № 3. Приключения двух мешочков, кожаного и полотняного
Вижай, 12 декабря 1958 года
Рейснер ушел.
Рогов выглянул в приемную: нет ли кого? – притворил поплотнее дверь, вернулся за стол, но не высидел и пары секунд – снова вскочил, прошагал к окну…
Гриднев сидел молча, черкал что-то на листке. Потом раздался негромкий хруст, карандаш сломался в руке.
– К себе потопал, немчура поганая, – сказал от окна Рогов и добавил пару непечатных слов, хотя использовал такие крайне редко, в исключительных случаях. – Может, послать к нему Парамошу? Может, врет он все о бумаге, что написал и на сохранение отдал?
– А если не врет? – возразил Гриднев и швырнул обломки карандаша в корзину для бумаг, но промахнулся.
Рогов не нашел, что ответить. Он был азартен, но не любил играть вслепую, не видя хотя бы собственных карт.
– Доставай водку, Северьяныч. Думать будем.
Погорели они давно, еще в самом начале осени, но до поры не догадывались о том. Причем погорели в самом что ни на есть прямом смысле слова: орлы Рогова не то случайно (как утверждал он сам), не то спьяну (как подозревал Гриднев) подожгли лес рядом с прииском. Пал пошел в сторону, ни балки, ни технику не затронув, уперся в Лозьву и сам собой погас. Выгорело всего ничего, каких-то полтора-два гектара, да и лес был так себе, для разработки не пригодный. Повезло.
Они тогда решили, что повезло, не подозревая, что педантичный немец бросовый сгоревший лес заактировал, да еще и накатал жалобу в «Воркутагеологию»: мол, примите меры, накажите, кого следует, и подтяните дисциплину среди своих работников. Понятно, что могли ему из Воркуты ответить. Дескать, что-то вы путаете, товарищ, нет у нас в том районе никаких экспедиций, и к пожару отношения мы не имеем.
Рейснер, получив ответ, волну поднимать не стал. Притих на какое-то время. Но наверняка провел разведку через своих лесников – видели его людей неподалеку.
А теперь вот явился, причем специально подгадал на тот день, когда Рогов будет в Вижае. Разложил всю их махинацию по полочкам и сказал: надо делиться. Хотел много. Не то чтобы затея стала убыточной с учетом доли Рейснера, но доходы обоих компаньонов падали прилично.
Думали долго, одной бутылкой не ограничившись. Поначалу ничего толком не надумали. Рогов все кивал на Микешу с Парамошей – дескать, сумеют добиться правды: дознаются у Рейснера, где хранится написанный донос. А потом – концы в воду, и немчуру туда же.
Гриднев возражал: а ну как эти двое из ларца переусердствуют – и лесничий испустит дух, так ничего и не сказав? Теперь он знал о близнецах гораздо больше, в основном от самого Рогова – тот был склонен под градусом распускать язык. Сам понимал свой недостаток и с посторонними старался не пить, но Гриднева посторонним уже не считал.
Микеша с Парамошей были ханты-полукровки. Ни рыба ни мясо, чужие и там, и тут. Их мать снасильничал геолог Богородицкий, в 30-е бывший притчей во языцех на всем Севере, – какие только легенды о нем не ходили. Сыновья на легендарную славу папаши не поглядели и на преклонные года тоже – отыскали четверть века спустя и прикончили. Неторопливо убили, со вкусом: раздавили ногами грудную клетку и долго смотрели, как отходит, хрипя и харкая кровью.
Повязали обоих, отвесили по пятнашке, и братья вместе угодили в Карагандалаг, где уже отбывал свое Рогов. А там приключилась какая-то смутная история… Вернее, Гриднев, сам успевший изрядно выпить, смутно помнил, что ему тогда втолковывал Рогов. Тот не то крупно проигрался в карты какому-то блатному авторитету, а близнецы выручили, не то наоборот… в общем, авторитетного человека нашли с проломленной головой, а троица двинула в бега через весеннюю, еще местами заснеженную степь. И вроде бы в пути у них тоже не все ладно и гладко сложилось, без крови не обошлось, но эту часть рассказа Гриднев и вовсе не запомнил, развезло его под конец застолья всерьез.
…В конце концов решили так: Рейснера пока не трогать и в долю взять. Но всеми силами и под любыми предлогами затягивать платежи – а весной, когда из-за подъема грунтовых вод работы поневоле приостановятся, Рогов съездит в Омскую область, где по слухам у немца семья, и попробует тех отыскать. Отыщет – поговорят с лесничим по-другому, а нет… Тогда еще раз обсудят, как быть.
Эту проблему вроде как разрулили, но Гридневу все меньше нравилось происходящее. Сегодня дознался Рейснер, завтра еще кто-нибудь дознается. Со всеми начнешь делиться, самому ничего не останется.
И дело не только в авантюризме Рогова. У Гриднева тоже наметились проблемы, причем не здесь. Ту часть добытого, что шла на обеспечение работ продуктами и прочим, сдавали в Свердловске в последнюю уцелевшую золотоприемную кассу. Один раз сдал сам Гриднев, другой раз послал надежного человека – но много ли таких, надежных, кому золото доверить можно? А слишком часто мелькать нельзя: непременно возьмут на карандаш и начнут проверку. Рогов, бесшабашный человек, давно предлагал с кассой не связываться, пустить то золото, что на расходы предназначено, налево: дескать, есть у него на Южно-Заозерском прииске надежные люди, дадут за шлих хорошую цену и не спросят, откуда. Гриднев возражал: спросить, может, и не спросят. Но призадумаются наверняка: откуда, мол, дровишки? Своими руками создавать угрозу еще и с этой стороны вовсе глупо.
Все чаще Гриднев размышлял: а не прикрыть ли дело раньше, чем исчерпается второе и последнее гнездо? Взяли уже неплохо, к чему дальше пытать судьбу? С Роговым о таком пока не заговаривал. Тот всегда играет до конца, пока все не выиграет или наоборот, не спустит до последней рубахи. Интересно, где он держит свою долю? Понятно, что не в Вижае и не в 41-м квартале: ни там, ни там постоянного жилья не имеет, бывает наездами. Оставляет на прииске? Так там настолько забубенные головушки собрались, что на такой риск даже Рогов не пойдет, как бы ни привык рисковать. Должна быть где-то у него надежная захоронка, разузнать бы еще, где… На всякий случай. Разное в тайге с людьми случается. А в таких делах кто выживает, тот всё и наследует.
2-й Северный, 26 января 1959 года
Во 2-й Северный Рогов прикатил на нартах, запряженных парой учагов. Выиграл он упряжку в карты у манси Бахтиярова-младшего, пристрастив того к незамысловатой игре в «очко». Хотел чуть позже выиграть еще одну пару оленей, чтобы при нужде можно было поехать и на более дальнее расстояние, да не сложилось. Бахтияров-старший сыночку накостылял и играть запретил, ладно хоть проигранное не стал обратно требовать.
В поселке на вид все было в порядке. Следы припорошило за ночь, но майна была расчищена ото льда, успела покрыться лишь самой тонкой корочкой – значит, старый курат здесь побывал вчера, забрал рыбу, оставил припасы. Так и оказалось: три мешка лежали на законном месте, в кернохранилище.
Рогов перетаскал их в нарты. Один был со свежепойманной рыбой, а что лежит внутри двух других, проверять не стал. Если Гриднев и не прислал что-то из списка, через неделю дошлет. Вторую зиму работают, притерлись.
А теперь самое важное. Он вернулся в кернохранилище, но далеко внутрь не пошел, остался у полуоткрытой двери, внимательно приглядываясь и прислушиваясь. Выждал минут пять – нет, не видно никого и не слышно. Да и некому сейчас тут быть, но лучше перестраховаться.









