Текст книги "Одиночка"
Автор книги: Эндрю Гросс
Жанры:
Военная проза
,сообщить о нарушении
Текущая страница: 9 (всего у книги 26 страниц)
Глава 21
Шестью месяцами ранее
Лос-Аламос, штат Нью-Мексико
Высокий нескладный мужчина, одетый в клетчатый пиджак и коричневую шляпу, приблизился к покрытому пылью седану, только что проделавшему полуторачасовой путь от Санта-Фе.
Навстречу ему из машины вылез человек с редеющей седой шевелюрой, покатыми плечами, высоким лбом и печальными глубоко посаженными глазами.
– Бор, – Роберт Оппенгеймер обнял знаменитого датского физика, прибывшего в самый охраняемый в мире научно-исследовательский центр. Здесь работали десятки выдающихся физиков, химиков и математиков, собранных по всему миру для участия в секретном Манхэттенском проекте.
– Роберт, – датчанин тепло пожал руку американцу. В свои пятьдесят восемь Нильс Бор входил в число самых авторитетных физиков-теоретиков в мире, он считался основателем квантовой теории. Перед войной Копенгагенские конференции собирали ведущих ученых в этой области под крышей его университета.
– Надеюсь, эта поездка была легче, чем марш-бросок до Лондона? – пошутил Оппенгеймер, похлопав датчанина по плечу.
Когда началась война, Бор и его семья оставались на родине, в Дании, уверенные в том, что нацисты не посмеют тронуть светило мировой величины, лауреата Нобелевской премии 1922 года. Однако Бор упорно не желал сотрудничать с оккупантами. Три месяца назад, в сентябре, ему сообщили, что его собираются арестовать и отправить в лагерь из-за еврейского происхождения его матери. Для человека его возраста арест был равносилен смертному приговору. В ту ночь Бор и его жена с одним чемоданом на двоих сели в лодку и, лавируя между минами и немецкими патрулями, под покровом ночи бежали через пролив Эресунн в нейтральную Швецию. Два месяца спустя, с парашютом за спиной и буквально теряя сознание от недостатка кислорода, самый знаменитый физик планеты летел в отсеке для бомб на борту британского бомбардировщика, перевозившего почту из Стокгольма в Лондон. После подобного головокружительного побега поездка на форде по петляющей автостраде до сверхсекретной базы в горах Сангре-де-Кристо могла быть приравнена к прогулке по побережью.
– Несопоставимо, если честно, – любезно ответил датчанин.
– Ну, мы все очень рады вашему приезду, – признался Оппенгеймер. – Я полагаю, вас тут ждут встречи со многими старыми друзьями.
Час спустя они собрались за обедом в коттедже Оппенгеймера: Ричард Фейнман, Ганс Бете и великий Энрико Ферми, сидя у камина, рассказывали Нильсу Бору о своих последних достижениях. Бора всегда волновало, каковы будут глобальные последствия создания подобного разрушительного оружия. За стейком он слушал коллег, пытаясь подавить восхищение теоретика достигнутыми ими успехами и чувство нарастающей тревоги. Они действительно делали реальностью то, что еще пару лет назад было предметом абстрактных рассуждений за бокалом коньяка после окончания научной конференции.
Теперь самой большой проблемой было отделение урана-235 от более тяжелого, но более распространенного изотопа – урана-238, в количествах, достаточных для возникновения необходимой серии цепных реакций.
И сделать это надо было как можно скорее – времени оставалось все меньше.
Они все хотели услышать, что думает Бор по поводу того, насколько продвинулся Гейзенберг, работавший на нацистов.
Набросав для Бора схемы на обеденных салфетках и скатертях, они обрисовали три возможных метода разделения изотопов: электромагнитная бомбардировка, термальная и газовая диффузии. Все методы были трудоемкими, требовали массы времени и колоссальных вложений. В Оук-Ридже, в штате Теннесси, на территории в семнадцать гектаров шло строительство огромных циклотронов – серии из пятидесяти восьми смежных зданий с гигантскими диффузионными резервуарами, способными разделять и затем выделять легкий изотоп в газообразном состоянии. Бор пришел в восторг. Это был крупнейший из когда-либо спроектированных и построенных человеком приборов. И самый дорогостоящий.
Но, жаловался Оппенгеймер, им приходилось двигаться путем проб и ошибок. Временами, так как многое делалось впервые в истории, они действовали наощупь. Материалы, из которых изготавливались газовые центрифуги, должны быть невероятно прочными и воздухонепроницаемыми. Малейшая утечка или эрозия могли привести к поломке. Предстояло создать новые строительные материалы. При этом все делалось в кратчайшие сроки, так как они боялись быть обойденными немцами.
В войне победит тот, кто придет первым.
– Что касается газовой диффузии, – продолжал Оппенгеймер, приканчивая кусок пирога с ревенем и закуривая трубку, – мы все больше склоняемся к тому, что это и есть наш путь.
Бор видел во всем этом новую реальность с невообразимыми и непредсказуемыми последствиями. Теллер рассуждал об использовании плутония и создании еще более смертоносных бомб. А что русские? Они ведь тоже над этим работали. Поделились ли мы своими достижениями с ними, нашими союзниками? И если не поделились, то что произойдет, когда они наконец доберутся до подобного оружия? А они доберутся.
– Газовая диффузия? – кивнул Бор.
Оппенгеймер поднес ко рту трубку и затянулся.
– Да. Хотя все это лотерея. Количества ничтожно малы. А Бергстрем, который, как вы помните, является главным специалистом в этом вопросе, работает на Гейзенберга.
– Да-да, Бергстрем… – согласился после долгой паузы Бор. Он похвалил пирог – в Европе подобные деликатесы давно остались в прошлом. И добавил:
– Что касается процесса газовой диффузии. Поляк. Вернее, польский еврей. Помните, раньше он работал с Мейтнер и Ганом? – Бор обратился к Бете, – именно по этой теме. Узковата специализация для такого яркого таланта, если хотите знать.
Все молчали в ожидании. Слишком велика вероятность ошибки. Им нужен был человек, который поможет сократить путь.
– Единственная проблема, – продолжил Бор, положив себе еще кусочек пирога и разочарованно кивнув Оппенгеймеру: – Я боюсь, он так и остался в Европе.
Глава 22
– Лео, – Альфред разыскал юношу во дворе после дневной переклички.
– Рад видеть, что у вас все хорошо, профессор, – приветствовал его юноша. – Вы придумали для меня новые головоломки?
– Пока нет. А ты обдумал то, о чем я тебя просил?
– Имеете в виду вашу затею с физикой? Боюсь, я был слишком занят.
– Полагаю, ты играл в шахматы с новой поклонницей. Мы все наслышаны. Судя по всему, трудности, связанные с чем-то действительно важным, тебе сейчас не по силам. Ты слишком поглощен игрой.
– Шахматы – не более «игра», чем то, что предлагаете вы, профессор. А эта поклонница помогает сохранить жизнь мне и моим товарищам по бараку. Но все-таки, что вы хотели предложить? Вы упомянули физику электромагнитных излучений. Зачем мне ее изучать?
– Не изучать. Давай поговорим в сторонке. Просто выслушай меня. Я все объясню.
– Хорошо. Несколько минут ничего не изменят. Ведите меня, профессор.
Они вошли в барак Альфреда. Его обитатели, растянувшись на нарах, ожидали ужина. Профессор и юноша пробрались через все помещение в санитарный отсек на шесть коек с уборной. Сюда помещали больных с температурой или поносом во избежание распространения инфекций.
– Лео, сядь, пожалуйста.
– Это ваш кабинет, профессор? – Лео присел на пустую койку. – Впечатляет.
– Прошу тебя, я не собираюсь шутить, сынок. При том что я не могу пока объяснить тебе всего, поверь, тебе не приходилось слышать ничего более важного, чем то, что я скажу. Я предлагаю повторить с тобой все мои исследования. Уравнения, формулы, доказательства. Тебе не надо их изучать. Ты просто должен послушать и запомнить все это.
– Запомнить?
– Именно. Запереть на замок в своем уникальном мозгу. Ты сделаешь это, Лео? Я стар и теряю силы, ты же видишь, как у меня выпирают кости. Кто знает, сколько мне еще осталось.
– Кто знает, сколько нам всем тут осталось.
– Но ты молод. У тебя есть шанс выжить. И если ты останешься в живых, то, чему я тебя обучу, будет важнее всех шахматных матчей вместе взятых. Поверь мне. Но это будет нелегко. Потребуется немало времени и сил, чтобы все это усвоить. Даже тебе, можешь не сомневаться. Подробные доказательства и прогрессии, все то, о чем ты никогда в жизни не слышал и ни за что не поймешь, как они связаны друг с другом. Но это жизненно важно. Ты готов на такое пойти?
– Физика?.. – Лео наморщил нос, словно только что узнал, что на обед опять будет репа.
Альфред кивнул:
– И математика. По большей части очень-очень сложная.
– И что я со всем этим сделаю, если мне удастся выжить? Буду преподавать?
– Физика – это не только формулы и уравнения, сынок. Знание физики открывает возможности ее применения, и люди стремятся эти знания получить. Сейчас и на будущее.
– Я не знаю, есть ли у меня будущее, – пожал плечами Лео. – Но на данный момент шахматы кажутся мне более надежным гарантом для будущего, чем все это.
– Ты нужен мне, юноша. И ты нужен миру. Ты готов?
– Миру? Уж не намекаете ли вы, что это поможет выиграть войну? Ну хорошо, – Лео снял шапку. – Допустим, что я попался на крючок. Продолжайте. Испытайте меня, профессор. Урок первый. Ну раз уж мы все равно здесь сидим.
На губах у Альфреда появилась улыбка. Он сел на койку напротив Лео.
– Мы будем много говорить об атомах, друг мой. И различных газах, и о том, что называют изотопами.
– Изотопами?
– Ты что-нибудь знаешь о молекулярной структуре веществ?
– Я учил таблицу химических элементов. В школе.
– Это начало. Так, атомы одного элемента могут иметь различное количество нейтронов. Возможные различные варианты элемента называются изотопами. Например, самый распространенный изотоп водорода вообще не имеет нейтронов. Существует также дейтерий – изотоп водорода с одним нейтроном, и тритий – изотоп с двумя нейтронами.
– Дейтерий… Тритий… – Лео неуверенно моргал, глядя на него. – И я все это должен знать ради спасения человечества?
– Не думай об этом сейчас. И прошу тебя, перестань подшучивать надо мной. Давай начнем с основ. С закона Грэма. Его в прошлом веке сформулировал шотландский химик Томас Грэм. Суть в том, что скорость эффузии газа обратно пропорциональна квадратному корню из плотности или массы газа.
– Эффузии? И что это значит, старик? – закатил глаза Лео.
– Я тебе не старик. Если мы собираемся заниматься, ты можешь обращаться ко мне «профессор». Или «Альфред», если тебе так больше нравится. Я собираюсь объяснять тебе вещи, которые находятся далеко за пределами твоих знаний или воображения. Это такие же занятия, как в любой школе. Есть преподаватель и студент. И все начинается с уважения. С уважения к тем, кто знает больше тебя. Ты меня понимаешь?
На минуту Альфред решил, что парень уже устал от него, что он вот-вот подхватит свою шапку и уйдет. Вернется к шахматам, несомненно доставляющим ему больше удовольствия, пирожных, шоколада и похвал.
Но, к удивлению профессора, Лео остался. После выговора его взгляд перестал быть скучающим, в нем появилось сожаление, а потом – раскаяние и заинтересованность.
– Простите, профессор. Я не хотел показаться грубым. Продолжайте, прошу вас.
Альфред про себя улыбнулся. Если отбросить импульсивность, типичную для юноши, развитого не по годам, этот идеальный мозг был ненасытным инструментом поглощения всех существующих знаний, открытым и готовым наполниться бездонным резервуаром.
– Добро. Вернемся к твоему вопросу, юноша. Эффузия – это скорость прохождения газа через маленькие отверстия, пористые материалы, или мембраны. Согласно закону Грэма, если молекулярная масса одного газа вдвое больше массы другого, он будет проходить через пористый слой, или отверстие величиной с булавочную головку, со скоростью вполовину меньше другого. В этом основополагающий постулат разделения изотопов, у которых одинаковая молекулярная структура, но разный атомный вес.
– Разделение изотопов… Пористые слои… Зачем мне все это знать? – Лео покачал головой. Ему снова стало скучно.
– Пока что постарайся уложить это все в своей голове. Смотри, – Альфред достал кусок мела и припасенный стальной лист. – Важно запомнить, как это выразить с помощью формулы.
Альфред изобразил обратную пропорцию:

– Ты запомнил? – спросил он.
Глядя на формулу, Лео повторил ее про себя.
– Думаю, да.
– Следовательно, инверсия этого уравнения будет следующей, – Альфред рукавом стер старую и написал новую формулу. – А именно: плотность газа прямо пропорциональна его молекулярной массе.

– Ты успеваешь, сынок? – Альфред заметил застывший взгляд юноши.
Лео кивнул, слегка ошарашенно:
– Думаю, да.
– Хорошо, тогда повтори мне формулу, пожалуйста. Так, как я ее записал.
Лео пожал плечами:
– Скорость диффузии газа обратно пропорциональна квадратному корню из его плотности.
– Хорошо. А теперь запиши ее в виде формулы, – Альфред вручил ему мел и жестянку, прикрыв то, что он написал. – В точности, как я ее написал.
Лео немного подумал, выдохнул и написал:

Он повторил формулу Альфреда.
– Отлично. Как насчет обратной формулы, для плотности?
Лео снова задумался на пару секунд и процитировал:
– Плотность газа обратно пропорциональна его молекулярной массе.
– Нет. Не обратно, а прямо пропорциональна, – поправил его Альфред.
– Простите, профессор, – Лео зажмурил глаза.
– Плотность газа прямо пропорциональна его массе. Это точная инверсия первого уравнения. Видишь?
– Хорошо. Извините. Я думаю, я теперь понял, – и Лео написал формулу:

На сей раз правильно. – Прямо пропорциональна. И выражается вот этим символом:
∝
Он начертил спецзнак эффектным росчерком.
– Очень хорошо. При газовой диффузии мы имеем дело с подобным процессом, но только мы работаем с двумя радиоактивными изотопами. С ураном-235, который обладает свойством делиться. Термин «делящийся» означает, что он способен делиться и создавать то, что называется цепной реакцией, если его выделить из его более тяжелого, но не делящегося кузена, урана-238.
– Двести тридцать пять? Двести тридцать восемь? Прошу прощения, профессор, но кажется процесс деления уже происходит у меня в голове.
– Не пытайся понять все сразу. Ты слышал про уран?
– Да. Его символ – U, и кажется, это самый тяжелый элемент в таблице.
– Второй по тяжести. Неважно. Плутоний выделили совсем недавно, скорее всего, он еще не был занесен в таблицу Менделеева, когда ты учился в школе. Уран-235 встречается в урановой руде в соотношении 0,139 к одному, что означает, что он составляет только семь процентов от всего урана. Остальное – это уран-238. Так что он очень редкий. Фокус в том, чтобы отделить этот редкий радиоактивный изотоп, который обладает теми же свойствами, но имеет молекулярную массу, отличную от той, что есть у его более распространенного родственника, урана-238. Чтобы этого достичь, или по крайней мере собрать искомое его количество, нужна не только диффузионная мембрана, но и то единственное производное урана, которое благодаря своей легкоиспаряемости способно породить реакцию. Речь идет о гексафториде урана UP-6, при комнатной температуре он находится в твердом состоянии, но сублимирует, достигая…
– Сублимирует? – взгляд Лео опять начинал терять фокус. – Боюсь, я за вами не поспеваю, профессор.
– Вот, – Альфред взял жестяной лист и записал гораздо более сложное уравнение. – Просто запомни это…

– Это равняется… минуточку, – Альфред прикрыл глаза и принялся производить вычисления в уме. – Одна целая, ноль, ноль, четыре, два, девять, восемь или около того. Где – и это важно, Лео, – СКОРОСТЬ1 – это скорость эффузии урана-235, а СКОРОСТЬ2 – эффузия?.. – он вопросительно посмотрел на Лео.
– Урана-238, – подхватил Лео, после секундного колебания.
– Совершенно верно. А М1 – это молекулярная масса урана-235, соответственно, М2 – молекулярная масса урана-238. Небольшая разница в весе указывает на разницу в средней скорости их нейтронов. – Он посмотрел на своего ученика: – Это понятно?
– Честно говоря, довольно смутно, профессор.
– Постарайся запомнить. Я понимаю, что для тебя это сейчас звучит как китайская грамота.
– Ну не совсем, – закатил глаза Лео.
– Послушай, тебе не нужно все это понимать. Главное, чтобы ты ухватил суть и заложил уравнения в свой замечательный мозг. – Он провел под уравнениями двойную черту. – Так что посмотри еще раз. Не торопись и запомни их.
Лео еще раз пробежал глазами уравнение и зажмурился.
– Повторишь?
– СКОРОСТЬ1 относится к СКОРОСТЬ2 равно корень квадратный из М2 к М1… Назвать все цифры, профессор? Одна целая, ноль, ноль, четыре…
– Это необязательно. Любой человек с высшим образованием по математике вычислит это без труда.
– Тогда, СКОРОСТЬ1 – это скорость эффузии… UF6-235, а СКОРОСТЬ2 – эффузия UF6-238, М1 – Лео прижал палец ко лбу, – молекулярная масса урана-235, а М2, – молекулярная масса 238. И так далее и тому подобное…
– Браво! – похвалил его Альфред, наклонившись вперед и сжав коленку Лео. Профессор закашлялся, и в груди у него заклокотала мокрота.
– Один вопрос, профессор, если позволите…
– Конечно. Спрашивай.
– Я так и не понял, зачем вам надо отделять этот уран-235 от урана-238? И еще, вы сказали «искомое количество». Искомое для чего?
– Давай не будем опережать события, – терпеливо улыбнулся ему Альфред. – Всему свое время, мальчик мой. Всему свое время.
– Так это все? Вы хотели, чтобы я только это запомнил? Это и есть физика, которая спасет человечество?
– Это первый урок, – ответил Альфред. – На сегодня достаточно.
– Первый урок, – Лео вскинул голову чуть воинственно, – первый из?..
– Сотен, мой мальчик. – Альфред похлопал его по плечу. – Сотен. Однако, я должен тебя предупредить, завтра все будет гораздо сложней.
Глава 23
В последующие недели они встречались при любой возможности: утром после проверки, перед ужином. Почти ежедневно, хоть на несколько минут.
Кроме вторников, когда Лео, как правило, вызывали играть в шахматы к жене заместителя начальника лагеря.
– Ты предпочитаешь играть в игры, в то время как у нас так много серьезной работы! – не скрывал недовольства Альфред.
– Эти игры, как вы выражаетесь, однажды могут спасти мне жизнь. И вам тоже, должен вам напомнить. Я каждый раз говорю ей, что ее угощения я делю со своим дядей профессором. Она обещает позаботиться о нас.
– Позаботиться о нас… Я думаю, ты ходишь туда, потому что тебе шестнадцать и тебе нравится пялиться на женскую грудь. Может, я и стар, но не настолько, чтобы не помнить, как это приятно.
– Пожалуй, ради этого тоже, – Лео покраснел, слегка сконфуженный. – И все-таки она добра ко мне. Я вижу, что к происходящему в лагере она относится иначе, чем ее муж. Мне кажется, ей противно то, чем он занимается. Поэтому она и помогает в лазарете.
– Ты так думаешь? Ну-ну. Это она сама тебе рассказала?
– Да, во время игры.
– Мне кажется, что, играя с тобой в шахматы, она просто успокаивает свою совесть, – заметил Альфред. – Ты для нее – освобождение от грехов.
– А вы, я вижу, не просто доктор Мендль, вы еще и доктор Фрейд, – фыркнул Лео.
– В данной ситуации, молодой человек, изучение атома не отличается от изучения мозга. В конечном итоге, она – жена заместителя начальника лагеря, а ты – всего лишь еврей, – он тронул Лео за руку, – с номером на руке. Она присмотрит за тобой, пока не наступит твое время. Потом она о тебе даже не вспомнит.
– Увидим, – бросил Лео. – Но пока что меня вполне устраивают пирожные и шоколад.
– Ну да, ты прав. Посмотрим. – После приступа кашля на губах Альфреда появилась мокрота, и он отер ее рукой. – Пока суд да дело, вернемся к нашим баранам. – С каждым днем его кашель становился все хуже, кости и ребра проступали все сильней. – Извини, что тебе приходится лицезреть не ее, а меня.
– Ну да, зрелище гораздо менее привлекательное. Вот, давайте я накрою вас одеялом, старик. Извините, – он улыбнулся. – Я хотел сказать профессор. – Лео принес одну из тех засаленных тонких холстин, которые нисколько не спасали от холода.
За эти недели Альфред полюбил его. И он видел, что юноша тоже привязался к нему. Хотя в лагере с первого дня приучаешься не проявлять сочувствие к другим людям и не интересоваться их историей. Никогда не знаешь, что произойдет завтра.
– Ничего, – произнес Альфред. Тем не менее он закутался в ветошь и на какой-то момент даже перестал мерзнуть. – Спасибо, мой мальчик.
Как и предупреждал Альфред, материал с каждым днем становился все сложнее. Настало время объяснить Лео так называемые функции Бесселя – понять эти уравнения было равносильным тому, чтобы удержать в голове сразу всю шахматную партию. Даже десяток партий. Причем, как казалось Лео, концентрация должна была быть как при игре с гроссмейстером, Альфред же выкладывал подробные расчеты и цифры с такой легкостью, как будто называл дату своего рождения или домашний адрес.
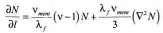
– Помни, речь идет о высокорадиоактивных материалах, – объяснял он, – которые находятся в процессе перехода из одной стадии в другую, и они диффундируют сквозь ограниченное пространство, в данном случае сквозь цилиндры. Мы должны ввести общее уравнение нейтронной диффузии для этой стадии.
Он написал на обратной стороне медицинской памятки:

– Да… – Лео смотрел на него слегка отупело. – Вижу.
– Ты должен это выучить, Лео. Заучить наизусть. Это азы.
– Я стараюсь, Альфред.
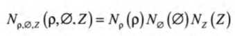
– Лучше старайся. Сконцентрируйся. Целью является, – Альфред кашлянул в холщовую тряпицу, – направить поток нейтронов внутрь цилиндра. Пространственная составляющая плотности нейтронов, обозначенная буквой N, будет функцией от цилиндрических координат (p, o, z), подразумевается, что она сепарабельна и может быть выражена следующим образом.
Он порылся в обрывках бумажек, которые они использовали накануне:

Лео смотрел на него растерянно.
– Ты здесь, сынок?
Парень надул щеки и тяжело выдохнул.
– Вы говорите слишком быстро, Альфред. Я не уверен, что все понял.
– Не уверен? Я считал, что мы вчера с этим разобрались.
– Я знаю. Но это не шахматы, я не совсем понимаю, почему это важно.
– Прямо сейчас это важно, потому что я так говорю. Давай повторим все еще раз. Если не возражаешь, что в данном уравнении обозначает координата о?
– О?..
– Да, строчная «о». О чем ты думаешь, юноша? Мы обсуждали это несколько раз. Это угол между шириной и радиусом цилиндра. А p?
– P?.. P — это, должно быть, его высота, – неуверенно предположил Лео.
– Да. Это высота. Я считал тебя умным. Я считал тебя сообразительным. Ты должен сконцентрироваться, это – легкий материал. Иначе учить придется слишком долго.
– Мы можем прерваться, профессор? У меня голова сейчас лопнет. Да и не понимаю я, к чему все это? Это вы открыли? Эту драгоценную газовую диффузию? Мы все повторяем и повторяем одни и те же скучные темы!
– Потому что ты должен все это выучить, парень. Чтобы от зубов отскакивало. Ты меня понимаешь?
– Да, я вас понимаю! – Лео вскочил с койки. – Понимаю. Понимаю… – Его голова была забита бесконечными цифрами, и его захлестнуло чувство безысходности и бесполезности всех этих усилий. – Может, на сегодня закончим?
Глядя на него, Альфред почувствовал, что зашел слишком далеко. Он дал мальчишке успокоиться, а затем, отложив обрывок бумаги с формулами, объяснил:
– Нет, это открыл не я. На самом деле над этим уже какое-то время работают британцы. Я слышал, что в том же направлении идут ученые Колумбийского университета в Нью-Йорке.
– Так, может, пусть они это и изучают? – предложил Лео.
– Это ведь легко, правда? – кивнул Альфред и откинулся назад. – Я всего лишь проанализировал данные на следующей стадии. Вот смотри, – он снова взял памятку, на которой были расписаны меры профилактики тифа, и набросал на обороте схему. Это была система трубок с длинными цилиндрами, переходившими в более узкие трубки через сеть спиралей и насосов. – Если газообразный уран, гексахлорид-6, а он крайне едкий, прокачивать через некий пористый барьер, более легкие молекулы газа, содержащие обогащенный уран-235, будут преодолевать барьер быстрее, чем более тяжелые молекулы урана-238. Правильно?
Лео кивнул: это ему было понятно.
– Вот что выражает формула. Ты должен зазубрить ее, Лео. И неважно, насколько скучной или сложной она тебе видится. Это основа.
– Основа чего? Кому вообще есть дело до идиотского процесса диффузии? Или, как там правильно – эффузии? – Лео схватил листовку со схемой и, скомкав, швырнул ее в угол. – Знаете, что я сегодня видел? Я видел, как шестерых заключенных вытащили из колонны и заставили лечь на землю. Потом приказали встать, потом лечь, быстрее, быстрее! Потом велели бежать на месте, потом присесть, десять приседаний, встать, лечь, быстро, быстро. Schnell! Schnell! Быстрей! Пока они не попадали один за другим от изнеможения. И когда они пытались перевести дух, их просто прикончили дубинками. Последний, весь красный, едва мог поднимать ноги, а охранники гоготали над ним, как над марионеткой из кукольного театра. Потом его тоже забили. Так скажите мне, как им помог ваш закон Грэма?
Альфред молча смотрел на Лео.
– А вы слышали, что два дня назад ночью весь сорок шестой барак выгнали на улицу и увели, и больше никто их не видел? Спасли их ваши цилиндры и уравнения диффузии? А скоро придут за нами. Вы глупец, если верите, что немцы оставят хоть одного из нас в живых. Мы все здесь умрем! И вы, и я. Так что какая разница, строчная «p» или прописная, уран-235 или 238? У меня голова пухнет, Альфред. Мы каждый день занимаемся. Повторяем все опять и опять. А зачем? Вы вбиваете эти штуки мне в голову и даже не говорите, в чем их смысл.
Альфред кивнул. Он откинулся к стене и понимающе вздохнул.
– В них великий смысл, мой мальчик. Ты прав, я, скорее всего, умру здесь, но ты… В войне произошел перелом. Это очевидно следует из слов недавно прибывших заключенных. На востоке немцы разбиты в пух и прах. Вот-вот начнется наступление союзников. Это видно по охранникам – в их глазах растет тревога. Однажды ты сможешь выйти отсюда, я дам тебе имена людей, к которым надо будет обратиться. Уважаемых людей. То, что я пишу тебе на этих клочках бумаги и на оборотах этикеток от консервов, стоит намного больше, чем все золотые зубы, которые немцы выдрали у нас. В тысячи раз больше.
– Знаю, вы это все время твердите. Но почему?
Профессор нагнулся, поднял с пола брошенную Лео листовку со схемой и расправил ее.
– Прямо сейчас в лабораториях Британии, США и даже Германии ведущие ученые, по сравнению с которыми я выгляжу тупой коровой, бьются над этими же вопросами.
– Тогда зачем вы им? – не отставал Лео. – И все эти формулы, что вы в меня вдалбливаете?
– В конечном итоге, они обойдутся и без меня, – покачал головой Альфред. – Но я уже знаю одну вещь. А именно, как собрать достаточно большую массу урана и не упустить вторичные нейтроны с поверхности материала. Может, тебе это кажется несущественным, потому что перед тобой нет доски, и ты не можешь двигать фигуры, но будь уверен, тот, кто первым поймет этот процесс, тот и выиграет войну. И никакие пушки, танки и самолеты их не остановят.
– Процесс эффузии? – Лео скосился на профессора. – Или, как там правильно? Диффузии?
– Диффузии, – улыбнувшись, кивнул Альфред.
– Альфред, вы все время повторяете про достаточные количества. Эти количества должны быть достаточны для чего?
На этот раз Альфред посмотрел на него взглядом старшего, который сейчас откроет юноше нечто, после чего тот станет мужчиной.
– Однажды ты спросил меня, для чего нужно отделять уран-235 от урана-238.
– Теперь я понимаю, что речь идет о некоем способе укрощения энергии, – произнес Лео. – Может быть, источнике энергии? Двигателе? Для танка или для корабля.
– Да, но, боюсь, для гораздо более мощного устройства невероятной разрушительной силы.
– Вы имеете в виду бомбу? – У Лео расширились глаза.
Альфред откинулся назад и улыбнулся, сдаваясь.
– О ее части, да. Более мощной из всех, что когда-либо производились. Это как тысяча бомб, Лео. В одной.
– Тысяча бомб? – Лео посмотрел на схему, нарисованную профессором. – И все это отсюда, из диффузии?
Альфред виновато кивнул.
– Мой друг Бор постулировал, что если бомбардировать небольшое количество чистого урана-235 медленными нейтронами, этого будет достаточно, чтобы начать цепную реакцию, которая разрушит всю его лабораторию, все здание, и все, что его окружает на километры вокруг. Если ты сможешь выделить изотоп, Лео. И в достаточном количестве, – покачал он головой. – Вот ответ, мальчик.
Лео присел. Лицо профессора было торжественно бледным, и взгляд Лео стал серьезным:
– Простите. Простите меня, профессор, за то, что я скомкал ваш рисунок.
– Ничего. Такое случается между коллегами, время от времени. Послушай, я знаю, что это очень трудно. Я понимаю, что твоя голова переполнена вещами, которые я не объяснил тебе до конца. Я не сомневаюсь, что ты предпочел бы играть в шахматы все свое свободное время, сколько бы у тебя его не было. Бесспорно, твоя новая соперница гораздо привлекательней меня.
Лео улыбнулся и покраснел.
– Но кому я должен передать всю эту вашу информацию? Если мне удастся выбраться отсюда…
– Ученым, – сказал профессор. – Знаменитым ученым. Они захотят ознакомиться с ней. Может, в Британии. Или даже в Америке.
– В Америке? – с изумлением переспросил Лео. – Это мечты, профессор.
– Да, мечты. Но поверь, это перестанет быть мечтами, когда они узнают, что именно ты собираешься им сообщить. Ты будешь им нужен. Будешь, будешь.
Некоторое время они сидели молча, глядя на схему, нарисованную профессором. Лео пытался осознать услышанное. Бомба. Равная тысяче бомб. Более мощная и разрушительная, чем все, когда-либо созданное человечеством. Да, подобная новость превращает мальчика в мужчину.
Затем Лео взглянул на Альфреда и произнес без запинки:
– Плотность нейтрона для координат «p» строчное, «o» строчное, «z» строчное равна нейтрон «p» строчное умножить на «p» строчное, умножить на нейтрон «o» строчное, умножить на «о» строчное, умножить на нейтрон «z» строчное, умножить на «z» строчное, где «p» – радиус цилиндра, «o» – угол между диаметром и радиусом, а «z» – высота цилиндра.
– Идеально, – у Альфреда загорелись глаза, и он даже зааплодировал.
– Видите, я же умный, – добавил Лео.
– Да, ты умный, – Альфред вновь закашлялся, и внутри у него все хрипело.
– Вы больны. Я отведу вас в лазарет.
– Это всего лишь простуда. Если в лазарете я не поправлюсь за пару дней, сам знаешь, куда меня отправят – в трубу.
– А если вы тут не поправитесь за пару дней, то некому будет передавать ваши теории и формулы, – развил тему Лео.
– Да, ты прав, пожалуй, – согласился Альфред.
Они еще немного посидели. Мысли Лео путались от услышанного. Потом он объявил:
– Мы вместе выйдем отсюда, – он посмотрел Альфреду в глаза. – Вот увидите. Вы сами доставите свои формулы и схемы в Америку.




























