Текст книги "Современный русский язык. Учебное пособие для студентов-филологов заочного обучения"
Автор книги: Дитмар Розенталь
Соавторы: Ирина Голуб,Маргарита Теленкова
Жанр:
Языкознание
сообщить о нарушении
Текущая страница: 13 (всего у книги 37 страниц)
Фонетика и орфоэпия
Фонетика
§ 68. Предмет и задачи фонетики.
Фонетика (гр. phonetike от phone – звук) – раздел языкознания, изучающий звуковую сторону языка, т. е. способы образования (артикуляцию) и акустические свойства звуков, их изменения в речевом потоке.
Звуковой строй конкретного языка изучается частной фонетикой. В отличие от нее общая фонетика на материале различных языков рассматривает теоретические вопросы образования звуков речи, природы ударения, структуры слога, отношения звуковой системы языка к его грамматической системе. Фонетика описательная исследует звуковой строй конкретного языка в синхронном плане, историческая – прослеживает становление фонетических явлений на протяжении более или менее длительного периода времени, изучает изменения фонетической системы, происшедшие на определенном этапе ее развития. Историческая фонетика позволяет, таким образом, объяснить современное состояние фонетического уровня языка особенностями его исторического развития. Обращением к материалу других, родственных языков с целью более глубокого объяснения явлений в области звукового строя характеризуется сопоставительная фонетика.
Для точной передачи звучащей речи графическими средствами в науке используется фонетическая транскрипция: [в’иеснá], [п’ьр’иехóт]. В отличие от орфографического письма в транскрипции буква всегда соответствует одному звуку и каждый звук обозначается одной и той же буквой. В фонетических описаниях русского языка (транскрипциях) применяется русский алфавит, кроме букв я, ю, е, ё, й, щ. Дополнительно в транскрипции используются особые буквенные знаки: j, ʌ, γ, i, диакритические значки (подстрочные и надстрочные знаки). Буквы ь, ъ употребляются не в том значении, которое они имеют в орфографическом письме, а передают ослабленные (редуцированные) звуки. Транскрибируемый звук, слово, предложение, текст заключаются в квадратные скобки.
Образец транскрипции: Не жалею, не зову, не плачу, все пройдет, как с белых яблонь дым. Увяданья золотом охваченный, я не буду больше молодым (Ес.).

§ 69. Звуки русского языка.
Каждый звук образуется в результате деятельности речевого (артикуляционного) аппарата человека, в сложном взаимодействии с центральной нервной системой. Воздушная струя, идущая из легких, моделируется колебаниями голосовых связок, расположенных в гортани (голосовой источник), и препятствиями, создаваемыми органами речи в полости рта и носа (смыканием губ или сближением губ, языка и нёба и др. – шумовой источник). Гласные звуки возникают при колебании напряженных голосовых связок: [а], [о], [у] и др. Звонкие согласные образуются при участии голосовых связок и смыкании или сближении артикуляционных органов полости рта и носа: [б], [в], [г] и др. Глухие согласные образуются без участия голосовых связок, лишь благодаря смыканию или сближению артикуляционных органов полости рта и носа: [п], [ф], [к].
Акустические свойства (звуковой эффект) звуков зависят и от размера и формы надгортанных полостей, играющих роль резонатора.
Гласные звуки – это звуки речи, образуемые свободным проходом воздушной струи через голосовые связки, состоящие главным образом из голоса (голосового тона) при почти полном отсутствии шума. В основу классификации гласных по их артикуляции кладется:
1) степень подъема спинки языка (способ образования): гласные верхнего подъема: [и], [ы], [у]; гласные среднего подъема: [э], [о]; гласный нижнего подъема [а];
2) место подъема спинки языка (место образования): гласные переднего ряда: [и], [э]; гласные среднего ряда: [ы], [а]; гласные заднего ряда: [у], [о];
3) участие или неучастие губ: гласные лабиализованные (огубленные): [о], [у]; нелабиализованные (неогубленные): [а], [э], [и], [ы].
По широте раствора рта (что связано со степенью подъема спинки языка) гласные разделяются на широкие (акустически наиболее звучные): [а];
средние (акустически средней звучности): [э], [о];
узкие (акустически наименее звучные): [и], [ы], [у].

Примечание: выделение гласных [у] и [о] означает, что эти звуки являются лабиализованными.
Согласные звуки – это звуки речи, состоящие или из одного шума, или из голоса и шума, который образуется в органах произношения, где выдыхаемая из легких струя воздуха встречает различные преграды. В основу классификации согласных кладутся следующие признаки.
1. Участие голоса и шума:
1) согласные сонорные, образуемые с помощью голоса и незначительного шума: [м], [н], [л], [р], [j];
2) согласные шумные, подразделяемые на шумные звонкие, образуемые шумом в сопровождении голоса: [б], [в], [г], [д], [ж], [з], и шумные глухие, образуемые только с помощью шума, без участия голоса: [п], [ф], [к], [т], [ш], [ш’] (на письме щ), [с], [х], [ц], [ч’].
2. Место образования:
1) согласные губные, подразделяемые на губно-губные: [б], [п], [м] и губно-зубные: [в], [ф];
2) согласные язычные, подразделяемые на переднеязычные, к которым относятся зубные [т], [д], [с], [з], [ц], [н], [л] и нёбно-зубные [ш], [ш’], [ж], [ч’], [р];
3) среднеязычный (средненёбный) [j];
4) согласные заднеязычные (задненёбные) [к], [г], [х].
3. Способ образования:
1) согласные взрывные (смычные): [б], [п], [д], [т], [г], [к];
2) согласные фрикативные (щелевые): [в], [ф], [з], [с], [ж], [ш], [ш'], [j], [х];
3) аффрикаты [ц], [ч’];
4) согласные смычно-проходные, к которым относятся носовые [м], [н] и боковой [л];
5) дрожащий [р].
4. Отсутствие или наличие палатализации: согласные твердые, образуемые без дополнительной средненёбной артикуляции (все согласные, кроме [ч’] и [ш’]), и мягкие, образуемые с такой дополнительной артикуляцией (все согласные, кроме [ц] и [ш]).

Примечание: диакритический значок (’) обозначает мягкость согласного; в каждом квадрате вверху – звонкие, внизу – глухие.
§ 70. Русское словесное ударение.
Минимальной звуковой единицей речевого потока является слог, он создается единым дыхательным толчком. Слово может состоять из одного, двух или нескольких слогов. Более сильное произношение, выделение одного слога в слове, которое служит для фонетического объединения этого слова, называется словесным ударением. Русское словесное ударение, зависящее от силы выдоха, является силовым, динамическим: кни́га, тетрáдь. По прикрепленности к определенному слогу в слове русское ударение является разноместным, т. е. оно может встречаться на любом слоге слова: кóмната, стенá, сорóка. По возможности перехода с одного слога на другой в формах слова русское ударение подвижное: окнó – óкна, стол – столы́. Иногда слова имеют не одно, а два и даже больше ударений. Одно из них является главным, остальные второстепенными (побочными), встречаются они в многосложных, образованных из двух и более основ словах: ки́нокарти́на, лéсопитóмник, áвтовéломóтогóнки. Служебные слова и частицы обычно не имеют ударения и фонетически примыкают к самостоятельным словам: под окнóм, мать и дóчь; Мáша же не взялá кни́ги в библиотéке. Безударное слово, которое примыкает к ударному спереди, называется проклитикой, а примыкающее сзади – энклитикой: На взгляд человека обычного, ничего таинственного в этом озерце нé было и быть не моглó (Пауст.).
§ 71. Понятие фонетической позиции.
В силу динамического характера русского ударения произносительная энергия между слогами слова распределяется неравномерно. Гласный в ударных слогах произносится более четко, ясно, он находится в сильной позиции. В безударных слогах гласные артикулируются менее четко и изменяют свое звучание, они редуцируются. Безударная позиция гласных является слабой: [дом – дʌма – нáдъм].
В сильной и слабой позициях могут находиться и согласные звуки. Сильной позицией для согласных является позиция перед гласными [а], [о], [у], [и], слабой – в конце слова, перед глухими и звонкими согласными, в которой парные по глухости – звонкости согласные не различаются, а также позиция согласных перед гласным переднего ряда [э], в которой исключается возможность твердых согласных, парных с мягкими. Для согласного звука [j] сильная позиция – перед ударными гласными, слабая – остальные положения этого звука в слове. Слабый вариант йота – и неслоговое (¡).
Редукция характерна для всех гласных звуков. Редукция бывает количественная и качественная.
Редукция количественная – это уменьшение долготы и силы звучания гласного в безударном слоге. Количественно редуцируются гласные [и], [ы], [у]: [сын – сыны́ – сынʌвj’á], [сýднъ – судá – судʌвó’i].
Редукция качественная – это ослабление и изменение звучания гласных в безударном слоге. Гласные [а] и [о] после твердых согласных в первом предударном слоге произносятся как ослабленный звук [а] – [ʌ]: [сʌды́], [дʌмá], во втором предударном и заударном слогах – как гласный среднего ряда, среднего подъема, нелабиализованный [ъ]: [съдʌвóт], [дъмʌвó’i]. Гласные [а], [о], [э] после мягких согласных в первом предударном слоге произносятся как [иэ], а во второй предударной и заударных позициях – как гласный переднего ряда верхне-среднего подъема [ь]: [п’иэт’и́], [л’иэдóк], [л’иэсá], [п’ьтʌч’.óк], [нá.п’ьт’], [л’ьдʌкóл], [нá. п’ьт’], [л’ьсʌвóт], [пó.л’ьсу]. Гласный [э] после твердых согласных в первом предударном звучит как [ыэ], а во втором предударном и в заударных как [ъ]: [шыэс’т’И], [шъс’т’ибá.л’ныi], [нá шъс’т’].
§ 72. Позиционная мена гласных и согласных звуков.
Изменение гласных звуков в зависимости от их ударного и безударного положений называется позиционной меной гласных. Позиционная мена звуков может быть перекрещивающейся и параллельной. При перекрещивающейся мене образуются ряды, имеющие общий член или несколько членов. Гласные [а], [о] после твердых согласных, различающиеся под ударением, в первом предударном совпадают в звуке [ʌ], а во втором предударном и заударном слогах – в звуке [ъ]: садовóд – сады́ – сад – пóсаду: [съдʌвóт] – [сʌды́] – [сат] – [пó съду]; домовóй – домá – дом – нáдом: [дъмʌвó.i] – [дʌмá] – [дом] – [нá дъм].

Безударные гласные [а], [о], [э] после мягких согласных также образуют перекрещивающиеся ряды: пятачóк – пяти́ – пять – нá пять: [п’ьтʌч’.óк] – [п’иэт’и́] – [п’.а.т’] – [нá.п’ьт’]; ледокóл – ледóк – лёд – нáледь: [л’ьдʌкóл] – [л’иэдóк] – [л’.от] – [нá.л’ьт’]; деловóй – делá – дéло – вы́делка: [д’ьлʌвó’.i] – [д’иэлá] – [д’э́лъ] – [вы́д’ьлкъ].

Безударные гласные [э], [о] после твердых согласных дают следующие перекрещивающиеся ряды: централи́зм – центрáльный – центр – пó цепи: [цънтрʌл’и́зм] – [цыэнтрá.л’ныi] – [цэнтр] – [пó цъп’и]; желтизнá – желтéть – жёлтый – вы́желтить: [жълт’изнá] – [жыэлт’э́т’] – [жóлтыi] – [вы́жълт’ит’].

Параллельная мена характерна для гласных [и], [ы], [у]. У этих гласных в безударном положении не изменяется качество звучания, оно лишь несколько ослабляется: литьё – лить – вы́лить: [л’ит’j.ó] – [л’и́т’] – [вы́л’ит’]; грызуны́ – грызýн – грызть – вы́грызть: [грызуны́] – [грызýн] – [грыс’т’] – [вы́грыс’т’]; духовóй – духи́ – дуть – вы́дуть: [духʌвó.i] – [духи́] – [ду.т’] – [вы́ду.т’].
Позиционная мена согласных связана с изменением глухих – звонких шумных согласных перед шумными и в конце слова, твердых – мягких согласных перед [э].
Перекрещивающаяся мена характерна для парных согласных.
В позиции перед гласными (сильная позиция) согласные звуки не изменяют своего звучания: день [д’э́н’], тон [тон]. В слабых позициях (позиция в абсолютном конце слова, позиция звонкого шумного согласного перед глухим шумным и глухого шумного перед звонким шумным) наблюдаются позиционные мены.
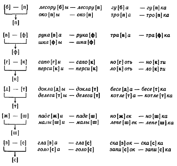
1. В абсолютном конце слова звонкие согласные меняются на глухие: гриб – гри[п], творог – творо[к], обед – обе[т], гараж – гара[ш], заказ – зака[с].
2. Звонкие согласные перед глухими меняются на глухие: лодка – ло[тк]а, ложка – ло[шк]а, овца – о[фц]а, сказка – ска[ск]а, зубки – зу[пк]и, выставка – выста[фк]а.
Таким образом, согласные парные по глухости – звонкости в слабой позиции звучат одинаково.

3. Глухие согласные перед звонкими меняются на звонкие: о[д]делать, [з]делать, про[з’]ба, [г]дому.

Позиционная мена согласных по твердости – мягкости связана с позицией перед [э]. Согласные перед гласными [а], [о], [у] могут быть как твердыми, так и мягкими, перед гласным [э], как правило, мягкие.


§ 73. Позиционные изменения гласных и согласных звуков.
Позиционные изменения гласных определяются воздействием на них согласных звуков. Гласные [а], [о], [у] в абсолютном начале слова под ударением перед твердыми согласными звучат так же, как в изолированном употреблении, например: [á]втор – [ó]кна – [ý]хо, з[а]л – з[о]л – з[у]б. Гласные [а], [о], [у] в позиции после мягкого согласного продвигаются вперед в начале своего образования; ср.: [мал] – [м’.ал], [вол] – [в’.ол], [стук] – [т’.ук]. В позиции перед мягким согласным гласные [а], [о], [у] продвигаются вперед в конце своего образования: [да.л’] – [бо.л’] – [ну.л’]. Гласные [а], [о], [у] между мягкими согласными продвинуты вперед на всем своем протяжении: [п’äт’] – [т’öм’ьн] – [т’ÿл’].
Гласные [и], [э] в начале слова перед твердыми согласными не изменяются и произносятся как [и], [э]: [и́гры] – [э́тъ]. В начале слова перед мягкими они произносятся более напряженно: [и́л’и] – [э́к’иi]. После твердых (парных) перед твердыми согласными [э] в русских словах не встречается, [и] произносится как [ы]: [дым].
Гласные [и], [э] после мягких согласных перед твердыми произносятся как [и], [э], а перед мягкими произносятся более напряженно: [б’и́твъ] – [к’и́л’], [б’эк] – [д’эн’].
Позиционные изменения согласных прежде всего связаны со смягчением твердых согласных перед мягкими. Зубные [з], [с], [д], [т], [н] перед мягкими зубными и перед [ч’], [ш’] смягчаются в корнях слов: [з’]десь, [с’]тепь, пе[н’]сия, пте[н’]чик, ба[н’]щик; на стыке приставки и корня: бе[з’]детный, во[з’]деть, и[з’]делие, ра[с’]ечь.
Зубные перед мягкими губными могут смягчаться в корнях слов и на стыке приставки и корня: [д’]ве, [с’]вет, ме[д’]ведь, бе[з’]ветрие, и[з’]мять. Однако смягчение во всех этих случаях не является последовательным. Достаточно последовательно смягчаются парные согласные только перед [j]: [б’j.у], [стʌт’j.á], [друз’j.á].
§ 74. Слогоделение.
Слог как основная звуковая единица русского языка строится по закону восходящей звучности: в пределах слога звуки располагаются от наименее звучного к наиболее звучному. Слогораздел проходит в месте наибольшего спада звучности. Наиболее звучными являются гласные, затем в порядке уменьшающейся звучности следуют сонорные согласные, наконец шумные согласные. Отсюда возможны такие случаи расположения сочетаний согласных при слогоразделе:
1) сочетание шумных согласных между гласными отходит к последующему слогу: про-стой, зве-зда, ло-дка;
2) сочетание шумного согласного с сонорным между гласными отходит к последующему слогу: до-бро, ве-сна, ве-сло, до-гма;
3) сочетание сонорного согласного с шумным между гласными имеет слогораздел внутри этого сочетания: пар-та, кол-ба, лом-кий, брон-за;
4) сочетание звука [j] с шумным или сонорным между гласными имеет слогораздел внутри этого сочетания, так как [j] является более звучным, чем даже сонорный: лей-ка, вой-дем, тай-на, кай-ма, сай-ра;
5) сочетание сонорных согласных между гласными отходит к последующему слогу: ко-рма, то-мный.
Слогораздел связан и с морфологическим членением слова: он зависит от стыка морфем и характера этого стыка, т. е. приходится ли слогораздел на стык приставки и корня, корня и суффикса.
§ 75. Фонологическая система русского языка.
Фонология, как и фонетика, изучает звуки речи, но в отличие от нее, рассматривает их с функциональной точки зрения, т. е. звуки в фонологии рассматриваются как смыслоразличительные единицы. Центральное место в фонологии занимает учение о фонеме. Фонема (гр. phonema – звук) – это кратчайшая звуковая единица языка, обладающая способностью различать звуковые оболочки (звуковую сторону, звучание) разных слов и морфем. Так, в функции различителей звуковых оболочек словоформ бак, бок, бук выступают фонемы <а>, <о>, <у>.
В зависимости от положения фонемы по отношению к другой фонеме, к ударению или к месту в слове различаются сильные и слабые позиции фонемы. Сильная позиция способствует выполнению фонемой ее дифференцирующих функций, в ней различается наибольшее количество звуковых единиц. Такова позиция гласного звука в ударяемом слоге: с<а>д, д<о>м, д<у>б, м<и>р; позиция согласного звука перед гласными [а], [о], [у], [и], в которой выступают в современном русском литературном языке все согласные фонемы: <б>ал, <в>ал, <г>аз, <д>ал, <ж>ал, <з>ал, <к>адр, <л>авр, <м>авр, <н>агл, <п>аз, <р>ай, <с>ам, <т>ам, <ф>авн, <х>ан, <ц>арь, <ч>ас, <ш>аг, <ш’>авель и т. д.
Позиция, неблагоприятная для выполнения фонемой ее дифференцирующих функций, является слабой, в ней различается меньшее, чем в сильной позиции, количество звуковых единиц. Такова позиция гласного в безударном слоге, в котором происходит совпадение звуков (например, [а] и [о] в [ʌ]: с<ʌ>ды, д<ʌ>ма); позиция согласного в конце слова (ду<п>, мо<к>), а также перед глухими и звонкими согласными, в которой парные по глухости – звонкости согласные не различаются (о<д>бить, гла<т>кий); позиция согласного перед гласным переднего ряда [э], в которой исключается возможность твердых согласных, парных с мягкими.
Выделяются сильные и слабые фонемы. Сильная фонема – это фонема в сильной позиции, она обладает максимальной различительной способностью в пределах словоформы или фонемного ряда. Слабая фонема – это фонема в слабой позиции, она обладает меньшей или минимальной различительной способностью в пределах словоформы или фонемного ряда. Различительный признак – это признак, который можно в данной позиции заменить другим, оставив остальные признаки неизменными. Например, в словах дом и том фонемы <д> и <т> являются сильными, они в этих позициях не совпадают ни с одной другой единицей языка; в словах год и плот в позиции конца слова представлена одна звуковая единица языка – фонема <т>, являющаяся слабой.
Фонемы в зависимости от их положения в словоформе (или на стыке словоформ), от качества предшествующих или последующих единиц выступают в своих позиционных вариантах. Так, фонема <а> в слове дар в первом предударном слоге выступает в варианте <ʌ>: дары́, во втором предударном – в варианте <ъ>: даровáние. В состав гласных фонем входят 5 сильных фонем: <и>, <у>, <э>, <о>, <а> и 2 слабые: <α>, которая реализуется в вариантах <ʌ> и <иэ> (соответственно после твердых и после мягких согласных) и <α1>, реализующаяся в вариантах <ъ> (после твердых) и <ь> (после мягких).
В состав согласных фонем входят 37 сильных фонем: <п>, <п’>, <б>, <б’>, <ф>, <ф’>, <в>, <в’> и др. и 32 по твердости – мягкости, глухости – звонкости слабые фонемы: <п1>, <б1>, <ф1>, <в1> и др., <п2>, <п2’>, <ф2>, <ф2’> и др.: <стол>, (на) (стʌл’1é), <сʌды́> – <сат2>.
Основоположником фонологической теории русского языка является И.А. Бодуэн де Куртенэ, который в 70-х годах XIX в. противопоставил понятию звука понятие фонемы. Однако по вопросу о сущности фонемы среди исследователей нет единства взглядов. В советском языкознании выделились два основных направления – Ленинградская и Московская фонологические школы. Представители первого направления – Л.В. Щерба, Л.Р. Зиндер, М.И. Матусевич, А.В. Бондарко – при определении понятия фонемы исходят из словоформы, в составе которой по физиолого-акустическому признаку выделяются кратчайшие звуковые единицы. Так, в слове вол гласной фонемой является <о>, а в другой форме этого же слова – волы – в безударном положении, в соответствии со звучанием, выделяется фонема <а>; в слове плоды выделяется фонема <д>, а в форме единственного числа этого же слова плод, в соответствии со звучанием, конечной единицей является <т>. Звуковые единицы слабых позиций на основе близости по физиолого-акустическим свойствам отождествляются с соответствующими звуковыми единицами, различающимися в сильных позициях: в словоформах вал и вол разные гласные фонемы – <а> и <о>, но в словоформах валы и волы одна и та же гласная фонема <ʌ>; в словоформах плоды и плоты разные согласные фонемы в конечном слоге – <д> и <т>, но в исходной форме этих слов плод и плот одна и та же конечная согласная фонема <т>.
Представители Московской фонологической школы – Р.И. Аванесов, А.А. Реформатский, П.С. Кузнецов, В.Н. Сидоров, Н.Ф. Яковлев, М.В. Панов – исходным моментом во взглядах на фонему считают морфему: тождество морфемы определяет собой границы и объем понятия фонемы, и звуковые единицы слабых позиций объединяются в одну фонему не по их акустическому сходству, а по их функционированию в составе морфемы. По взглядам Московской фонологической школы, в одну фонему объединены звуки, позиционно чередующиеся, и различия между позиционно чередующимися звуками являются функционально незначительными. Так, в словах валы и золы безударные гласные, несмотря на одинаковое звучание, представляют разные фонемы, так как в первом случае налицо фонема <а> (ср. вал), а во втором – позиционный вариант фонемы <о> (ср. вол). Точно так же конечные согласные в словах плод и плот представляют разные фонемы, так как в первом случае позиционно преобразованная фонема <д> (ср. плоды), а во втором – фонема <т> (ср. плоты).
Вопросы для самопроверки.
1. Что изучает фонетика?
2. Чем различается образование гласных и согласных звуков?
3. Какие признаки положены в основу классификации гласных звуков?
4. Какие признаки положены в основу классификации согласных звуков?
5. Что такое редукция?
6. Какие виды редукции вы знаете?
7. Что такое позиционная мена и позиционные изменения звуков?
8. Что такое фонема?
9. В чем принципиальное различие Московской и Ленинградской фонологических школ?
Упражнения.
49. Определите количество букв и количество звуков: 1) в парах слов; 2) в словах.
1) Быть – быт, брат – брать, ест – есть, жест – жесть, нов – новь, дал – даль, стал – сталь, ел – ель, мел – мель, цел – цель;
2) Рожь, молодежь, ложь, дрожь; багаж, пейзаж, экипаж, морж; карандаш, шалаш, ковш, реванш, ландыш; наотмашь, гуашь; помочь, дочь, стричь.
50. Сколько звуков обозначают буквы я, е, ё, ю в следующих словах?
1) Я: я, яма, ясень, яркий; вязь, вялый, дядя, дятел, зябь, зять, ляг, мять, мяч, нянчить, пять, ряд, тяга; свая, борзая, аллея, батарея, фея, коллегия, элегия, соя, стоя, передняя, синяя, семья, скамья, свинья, ладья, судья, ничья, съязвить;
2) Е: есть, ей, если, ехать, ель; тень, день, пень, лень, мел, жезл; будущее, действие, легкие, жаркое, насекомое, скорее, белые, новые; аканье, тиканье, сиденье; съезд, съехать, въезд;
3) Ё: ёж, ёлка, ёрш, ёкать, ещё, всё, сёмга, жёлтый, лёжка, нёс, пёс, ружьё, жильё, гнильё, жнивьё; съёмка, съёмщик;
4) Ю: юг, юбка, юрта, юнга; бюро, бюст, дюжина, дюйм, жюри, нюанс, нюхать, пюре, пюпитр, рюкзак, пью, бью, вьюк, вьюн.
51. Определите, различаются ли конечные согласные в парах слов и, если различаются, то чем. Какую роль выполняет буква ь?
1) Дренаж – залежь, тренаж – настежь, витраж – упряжь, мираж – блажь;
2) мякиш – сушь, финиш – тушь, малыш – брошь, камыш – роскошь, вкладыш – чушь;
3) завуч – ночь, ключ – прочь, мяч – дичь, обруч – обжечь, луч – завлечь, меч – течь.
52. Затранскрибируйте текст.
Бьется в тесной печурке огонь.
На поленьях смола, как слеза,
И поет мне в землянке гармонь
Про улыбку твою и глаза.
Про тебя мне шептали кусты
В белоснежных полях под Москвой.
Я хочу, чтобы слышала ты,
Как тоскует мой голос живой.
Сурк.
53. Затранскрибируйте предложения. Дайте характеристику всех гласных, используя таблицу артикуляции гласных звуков.
1. …Вновь я посетил тот уголок земли, где я провел изгнанником два года незаметных. 2. Цветок засохший, безуханный, забытый в книге вижу я; и вот уже мечтою странной душа наполнилась моя… 3. На холмах Грузии лежит ночная мгла; шумит Арагва предо мною. 4. Там, где море вечно плещет на пустынные скалы, где луна теплее блещет в сладкий час вечерней мглы, где, в гаремах наслаждаясь, дни проводит мусульман, там волшебница, ласкаясь, мне вручила талисман (А.С. Пушкин).
54. Затранскрибируйте предложения. Дайте характеристику всех согласных, используя таблицу артикуляции согласных звуков.
1. О доблестях, о подвигах, о славе я забывал на горестной земле, когда твое лицо в простой оправе передо мной сияло на столе. 2. О, я хочу бездумно жить: все сущее увековечить, безличное – очеловечить, несбывшееся – воплотить! (А. Блок).
55. Поставьте в словах ударение. На примере первых пяти слов докажите, что оно разноместное и подвижное. Выделите энклитики и проклитики. При выполнении задания пользуйтесь орфоэпическим словарем и словарем трудностей.
Язык, небо, воробей, весна, борозда, ведомость, повесть, стерлядь, автомотолотерея, веломотогонки, великовозрастный, вполсилы, вырезать, высококалорийный, гомеопатия, гостеприимный, гражданство, диспансер, до завтра, до зарезу, до смерти, за глаза, какой бы ни был, кое-что, куда-нибудь, кухонный, лубочный, логопедия, на лету, на смех, паралич, полуостров, правнучка, коклюш.
56. Определите в словах позиции, где наблюдается редукция гласных. Определите ее тип.
1) [а]: рука, задание, ананас, книга; ряд, вязать;
2) [о]: очи, дорого, уголь, колокол, облака; нёс, ковёр, самолёт;
3) [э]: небесный, невезение, вечер, человек; эхо, экран, эксперимент;
4) [и]: линия, линкор, линовать;
5) [ы]: сын, сыны, сыновья;
6) [у]: друг, друзья, дружелюбный, вытянуть.
57. Определите тип позиционной мены выделенных гласных.
1) Ряд – ряды – рядовой – вырядить; лёгкий – легка – легковерный – вылететь; метод – методика – методист – вымести;
2) Старый – старье – старожил – выбрать; новый – нова, новизна; косы – косить – косари – выкосить; жена – жених – женолюбивый – выжечь;
3) Обдумать – обдурить – прыгнуть – выпрыгнуть; быть – бывалый – бытописатель – выбыть; луг – луга – луговина – вылущить; мыло – мыла – мыловар – вымысел.
58. Определите, в сильной или слабой позиции находятся выделенные согласные.
Близкий, мягкий, глупый, крепкий, ковш, душ, сторож, еж, доска, зыбкий, жидкий, тяжкий, яд, повод, сапог, пирог, багаж, грабеж, таз, глаз, том, дом, сад.
59. Определите позиционные изменения выделенных гласных и согласных звуков.
1) Дал – даль, сад – садик, дом – домик, ком – комья, крутой – крутить, крупа – крупинка; лава – лавина – ляпис, молва – молить – (о) мёде, нудный – нудить – нюня; иволга – именно, икры – иней, этот – эти, экая – экий; вид – видеть, битва – бить, белка – беличий, гиблый – гибель;
2) Безземельный, безликий, безлюдье, вздернуть, вздеть, здесь, излить, измять, беспечный, бессильный, иссечь, истец, вакансия, вентилятор; движок, двинуть, двигать, твердый, звякнуть, сбить, сбежать, испечь, исписать, избить, развезти; бадья, дядья.
60. Разделите слова на слоги.
Дорога, пальто, отбежать, лестница, оговориться, меткий, лавка, конфликт, интуиция, подъезд, затишье, держаться, деревня, брусчатка, артиллерия, авангард, корреспондент, пластилин, талисман.
61. Определите смыслоразличительную функцию фонем в словах.
1) Там – тем – том, бал – бел – был, сыр – сор, бук – бык – бурка – бурки, бак – бок, баба – бабка;
2) Балл – бал, бурав – бурак – буран, мочь – мог, везти – вести, мех – смех, бежать – сбежать – вбежать, писать – списать – вписать, нигде – негде, никто – нечто, некого – нечего.








