Текст книги "Из пушки на Луну"
Автор книги: Жюль Габриэль Верн
Жанр:
Научная фантастика
сообщить о нарушении
Текущая страница: 14 (всего у книги 23 страниц)
Путешественники усердно пытались пронизать глазами глубокий мрак пространства, как вдруг перед ними рассыпался сверкающий букет падающих звезд. Сотни болидов, воспламеняясь от соприкосновения с атмосферой, прорезывали темноту блестящими огненными линиями и испещряли пепельную часть земного диска своим сверкающим светом.
Мишель Ардан, оставляя в стороне научные объяснения, утешал себя мыслью, что родимая Земля ласково напутствует своих детей звездными фейерверками.
Земной шар, где они оставили все, что было им мило и дорого, представлялся теперь им убегающим в темное пространство серпом.
Три товарища молча смотрели вдаль.
А снаряд все несся и несся, хотя и с постепенно уменьшающейся скоростью.
Спустя некоторое время путешественников начала одолевать сонливость. Вслед за возбужденным состоянием, в котором они находились последние часы на Земле, неизбежно должна была последовать усталость.
– Просто с ног валит! – проговорил Ардан. – Ну, что ж, делать нечего! Спать, так спать.
Они улеглись на матрацах, и вскоре все трое погрузились в глубочайший сон.
Но не проспали они и четверти часа, как вдруг Барбикен вскочил и начал будить товарищей.
– Нашел! Знаю! Нашел! – кричал он.
– Что нашел? Что? – спросил Мишель Ардан, подпрыгивая на матраце.
– Причину, почему мы не слыхали выстрела колумбиады!
– Какая же причина? – спросил Николь.
– Снаряд летит быстрее звука! Мы перегнали звук выстрела! [33] [33] Скорость звука в воздухе не больше 330 метров в секунду, а снаряд имел начальную скорость в 11 тысяч метров в секунду.
[Закрыть]
ГЛАВА III
Путешественники устраиваются
Тотчас же после этого интересного сообщения Барбикен и его оба товарища снова уснули.
Да и где, скажите, можно было, отыскать более тихое и спокойное место для сна и отдыха? На Земле все городские дома, все сельские хижины все-таки более или менее ощущают сотрясения, какие только возможны на поверхности земного шара. На море корабль носится на волнах, и его беспрерывно сотрясает и колеблет. В воздухе аэростат постоянно качается на атмосферных слоях различной плотности.
Только этот снаряд, летевший в абсолютной пустоте, среди полного безмолвия, мог предоставить своим обитателям полнейшее спокойствие.
Сон наших путешественников длился бы, может быть, бесконечно, если бы внезапный шум не пробудил их в семь часов утра 2 декабря, ровно через восемь часов после их отлета.
– Что это? Лай? – спросил Мишель Ардан, протирая глаза. – Это наши собаки!
– Они, верно, проголодались, – заметил Николь.
– Пора проголодаться! Мы про них совсем забыли.
– Где же они? – спросил Барбикен.
Все трое принялись за розыски и одну собаку нашли под диваном.
Первоначальный толчок так ошеломил ее, что она лежала в углу до тех пор, пока голод не заставил ее залаять.
Кроткая Диана, уступая убедительнейшим просьбам, застенчиво выползала из своего убежища. Ардан манил ее самыми нежными словами.
– Дианочка, Диана, милочка!– говорил он. – Поди сюда, мое сокровище! Поди, мое милое дитя, моя прелесть! Поди сюда, о ты, чья судьба будет отмечена в летописях! Поди сюда, Дианочка, поди же сюда, моя радость!
Диана уступила льстивым речам и с жалобным воем вылезла из-под дивана.
– Диана налицо, – сказал Барбикен, – но где же Спутник?
– Спутник? – повторил Ардан. – И Спутник, верно, недалеко. Он тоже куда-нибудь забился! Спутник, сюда! Спутник! Спутник!
Но Спутник не показывался, а Диана продолжала жалобно выть.
Диану осмотрели, нашли, что она не ранена и не ушиблена, и угостили превкусным пирожком, что сразу прекратило ее жалобный вой.
Долго шарили, пока, наконец, отыскали Спутника. Он лежал в верхнем отделении снаряда, куда его подбросило при толчке. Бедный пес сильно расшибся и был в очень жалком состоянии.
– Экое горе! – воскликнул Мишель Ардан. – Вот тебе и акклиматизация…
Спутника бережно спустили вниз.
Головой он ударился о свод снаряда и, казалось, вряд ли мог поправиться после такого удара.
Раненого уложили на подушку и тут он свободно вздохнул.
– Бедный Спутник! Друг ты мой милый! – причитал Ардан. – На нас лежит ответственность за твою жизнь, голубчик! Да пусть лучше у меня отвалится правая рука, чем пропадет хоть одна лапка у моего сокровища, Спутника!
Он дал воды разбитому животному. Собака жадно стала лакать.
Затем любознательные путешественники снова принялись за наблюдения над Землей и Луной.
Земля уже представлялась им теперь в виде пепельного круга, который окаймлялся еще более узким серпом, чем накануне; но в сравнении с Луной, обращавшейся все более и более в полный круг, размер серпа все еще казался огромным.
– Экая досада, что мы не отправились в минуту полноземелия, то есть когда наш земной шар был как раз против Солнца, – сказал Ардан.
– Почему досадно? – спросил Николь.
– Да мы бы тогда увидели все наши моря и материки в новом свете. Моря сверкали бы, отражая солнечные лучи, а материки темнели бы так, как их изображают на некоторых географических картах. Мне хотелось бы видеть именно те части Земли, на которые никогда еще не падал взор человеческий.
– Разумеется, это интересно! – сказал Барбикен. – Но если бы Земля была «полная», то Луна находилась бы в периоде новолуния. Другими словами, она была бы невидима в солнечных лучах. Я полагаю, что для нас выгоднее видеть ту цель, к которой мы стремимся, чем ту точку, от которой мы отправились.
– Вы совершенно правы, Барбикен, – ответил Николь. – К тому же заметьте, что когда мы доберемся до Луны, то в долгие лунные ночи вдоволь успеем наглядеться на земной шар, где кишат наши ближние.
– Наши ближние! – сказал Мишель Ардан. – Они теперь такие же нам ближние, как селениты. Мы теперь, друг любезный, живем в особом мире, который населен только одними нами, – в снаряде. Я – ближний Барбикена, а Барбикен – ближний Николя. Над нами и вне нас человечество оканчивается; мы – единственное население этого мирка, до той самой минуты, пока не обратимся в селенитов.
– Почти через 88 часов, – сказал Николь.
– То есть? – переспросил Мишель Ардан.
– То есть теперь половина девятого, – отвечал Николь.
– Половина девятого? Я не вижу, почему бы нам не позавтракать.
Действительно, желудки жителей новой планеты довольно настоятельно требовали должного подкрепления.
Мишель Ардан, в качестве француза, объявил себя поваром и главным распорядителем по съестной части. Товарищи охотно уступили ему эту почетную должность.
Газ доставил необходимое тепло, а в ящике с провизией нашлись припасы для первой закуски в межпланетном пространстве.
Сначала были поданы три чашки превосходного бульона, который приготовили из сухих плиток. За бульоном последовал бифштекс, такой сочный и нежный, словно он только что вышел из парижской кухни. Мишель, отличавшийся чрезвычайно пылким воображением, уверял даже, что бифштекс этот «с кровью».
За мясом появились консервы из овощей – «свежее свежих», по уверению Ардана, и, наконец, завтрак достойно закончился превосходнейшим чаем с тартинками, приготовленными на американский манер. Для довершения пира Ардан вытащил бутылку отличнейшего бургонского, которая «случайно» попала в ящик с припасами. Само Солнце выступило, как бы желая озарить это скромное пиршество.
Снаряд вышел из конуса тени, которую отбрасывал земной шар, и лучи сияющего дневного светила упали на нижнюю часть снаряда.
– Солнце! – вскрикнул Ардан.
– Конечно, Солнце, – ответил Барбикен, – я и ждал его.
– А посмотрите-ка: конус тени, отбрасываемый Землей в пространство, выходит за Луну.
– И даже на довольно значительное расстояние, – сказал Барбикен. – А когда Луна покрыта этой тенью, происходит затмение. Отправься мы в момент лунного затмения, наше путешествие совершалось бы в темноте. А это было бы крайне печально.
– Почему печально?
– Да потому, что, хотя мы и несемся в пустоте, снаряд наш залит лучами Солнца и будет, значит, пользоваться солнечным светом и теплотой. А если у нас будут свет и тепло, то можно приберечь газ, который нам еще очень и очень понадобится.
Барбикен говорил совершенно основательно. Блеск и теплота солнечных лучей не умерялись никакой атмосферой, и снаряд так освещался и согревался, как будто вдруг наступило самое теплое лето. Сверху Луна, а снизу Солнце обливали снаряд своим блеском.
– А здесь у нас очень хорошо! – заметил Николь.
– Надеюсь, что хорошо! – ответил Ардан. – Кабы добыть горсточку землицы, я бы вам живо вырастил сахарный горошек, в 24 часа, и готов был бы соус. Я, однако, боюсь, как бы стенки снаряда не вздумали расплавиться.
– Можешь успокоиться, любезный друг, – сказал Барбикен. – Когда снаряд скользил через атмосферу, он выдерживал температуру повыше теперешней. Я нисколько бы не удивился, если бы жители Флориды приняли наш снаряд за воспламенившийся болид.
– Значит, дружище Мастон предполагает теперь, что мы изжарились? – спросил Ардан.
– Да я и сам удивляюсь, как этого с нами не случилось, – сказал Барбикен. – Вот опасность, которой мы не предусматривали.
– Нет, я предусматривал и очень этого опасался, – сказал хладнокровный Николь.
– И ты ни слова не проронил об этом! – вскрикнул Ардан. – О, бесподобный капитан! О, кладезь силы и терпения!
– Не мешало бы нам теперь поудобней устроиться, – сказал Барбикен.
И председатель Пушечного клуба преспокойно принялся устраиваться, словно ему предстояло целый век оставаться в снаряде.
Воздушный вагон представлял в основании своем площадь в пять квадратных метров, а в высоту имел шесть метров до вершины свода. Внутри он был очень искусно отделан: дорожная утварь, поклажа и инструменты нисколько его не загромождали, потому что каждой вещи было отведено свое место. Толстое стекло, которое занимало часть дна, легко могло выносить большую тяжесть. Барбикен и его товарищи спокойно расхаживали по этому полу и любовались, как Солнце, ударявшее в него своими лучами, освещало внутренность снаряда.
Путешественники осмотрели ящик с водой и провизией. Благодаря мерам, принятым для ослабления толчка, эти сокровища нисколько не пострадали.
Николь заметил плохое состояние воздуха по учащенному дыханию Дианы. Здесь, как в знаменитой Собачьей пещере, углекислота собиралась на дне снаряда вследствие своего веса, и бедная Диана прежде своих хозяев должна была испытать действие этого газа.
Николь поспешил поправить дело. Он тотчас же расставил по дну ядра несколько сосудов с раствором едкого кали – веществом, которое может совершенно поглотить углекислоту и очистить воздух.
После этого осмотрели инструменты. За исключением одного термометра, у которого разбилось стекло, все термометры и барометры уцелели. Вынули превосходный металлический барометр (анероид) из ящика и повесили на стену. Он показывал давление воздуха внутри снаряда и снабжен был еще измерителем влажности, показывавшим количество водяных паров, которое заключалось в снаряде.
В данную минуту его стрелка колебалась между 755 и 760 миллиметрами.
Компасы, которые взял с собою Барбикен, тоже оказались в целости и исправности. Внутри снаряда их стрелка, понятно, блуждала, не имея никакого определенного направления. На том расстоянии от Земли, на каком находился снаряд, магнитный полюс не мог оказывать ощутительного влияния на аппарат. Но, перенесенные на Луну, эти компасы могли служить для очень интересных наблюдений.
Сделан был осмотр и гипсометра для измерения высоты лунных гор, и секстанта для определения высоты Солнца, и угломера, и зрительных труб, которые должны были играть очень важную роль на Луне. Все они оказались в исправности.
Рабочие орудия – кирки, заступы и прочее, – которые забрал с собою Николь, всевозможные семена и кустарники, которые Ардан замышлял перенести на лунную почву, – все лежало на своих местах, в верхних углах снаряда.
Там устроено было что-то вроде полатей, которые завалены были горами каких-то предметов. Что именно хранилось там у запасливого француза, он не объяснил товарищам; они могли только видеть, что время от времени он поднимался в этот тайник по вделанным в стене ступеням и приводил там, казалось, все в порядок. Он что-то осматривал, проверял, перебирал, открывал и закрывал какие-то ящики, причем распевал довольно фальшиво старинные французские песенки.
Барбикен был очень озабочен тем, чтобы предохранить от порчи ракеты. Эти ракеты должны были ослабить падение снаряда, когда, привлекаемый лунным притяжением, он начнет падать на поверхность Луны.
Окончив проверку, путешественники снова принялись наблюдать пространство.
Зрелище было то же самое. Все пространство небесной сферы было наполнено созвездиями неописуемой яркости. Астроном мог бы помешаться от восхищения.
С одной стороны сверкало Солнце. Дневное светило являлось ослепительным диском и резко вырисовывалось на черном фоне неба.
С другой стороны блестела Луна. Она висела неподвижно среди чудного звездного мира.
Виднелось довольно темное пятно, словно прорывавшее небо и окруженное серебристой каемкой: это была Земля.
Далее там и сям проступали туманные массы, точно громадные комья звездного снега, и исполинский пояс, образуемый пылью звезд, – Млечный путь.
Наблюдатели долго не могли оторвать взоров от зрелища такого нового, такого захватывающего! Сколько мыслей, сколько новых ощущений навевала эта дивная картина!…
Барбикен под впечатлением этого зрелища решил приступить к описанию своего путешествия; он отмечал час за часом все факты. Он писал неторопливо, спокойно, крупным четырехугольным почерком.
Николь тем временем просматривал свои вычисления: он с необычайной ловкостью распоряжался цифрами.
Ардан заговаривал то с Барбикеном, который его не слушал, то с Николем, который ему не отвечал, то с Дианой, которая не понимала его теорий, или, наконец, заводил речь сам с собой, задавал себе вопросы, отвечал на них, вертелся, шмыгал то туда, то сюда, то приседал на корточки перед нижней рамой, то лез на самый верх снаряда, – и во всех этих положениях неумолкаемо распевал.
Недаром он был француз.
День, или, правильнее говоря, 12-часовой период, составлявший день на Земле, закончился мастерски изготовленным ужином.
Ничто не нарушало спокойствия путешественников, и они мирно уснули.
А снаряд, с постоянно уменьшавшейся скоростью, несся по небесному пути.
ГЛАВА IV
Немножко алгебры
Ночь прошла без всяких приключений. Собственно говоря, слово «ночь» не имело здесь своего обычного, «земного» смысла, ибо снаряд нисколько не изменил своего положения относительно Солнца. Считая время астрономически, в нижнем окне снаряда был день, в верхнем – ночь. Поэтому впоследствии, когда в рассказе придется употреблять слова «день» и «ночь», нужно понимать их как термины, означающие время от восхода до захода и от захода до восхода Солнца на Земле.
Ничто не нарушало глубокого сна наших путешественников, так как их жилище, несмотря на громадную скорость движения, казалось совершенно неподвижным. Никакое сотрясение не обнаруживало его движения в пространстве.
Движение, с какой бы скоростью оно ни совершалось, не производит никакого впечатления на человека, когда человек движется вместе со всеми окружающими его предметами. Кому из нас приходилось, например, замечать движение Земли, а ведь она движется, да еще, как! – со скоростью более 100 тысяч километров в час.
Барбикен и оба его товарища, спокойно разместившиеся на своих матрацах, вовсе не чувствовали движения снаряда и спали непробудным сном.
Мишель Ардан первый очутился на ногах. Когда он вскарабкался наверх и стал запирать один из своих таинственных ящиков, вдруг кто-то прокричал по-петушиному.
Николь и Барбикен проснулись.
– Петух! – вскрикнул Николь.
– Успокойтесь, друзья мои! – с живостью ответил Мишель. – Это мне захотелось вас потешить деревенской музыкой.
И, сказавши это, он еще раз прокукарекал с таким эффектом, что любой петух мог бы ему позавидовать. Американцы разразились громким смехом.
– Необычайный талант, – сказал Николь, искоса поглядывая на мнимого петуха.
– Да, – ответил Мишель, – это совсем по-нашему! У нас даже в лучшем обществе кричат иногда по-петушиному.
Затем, желая свести разговор на другую тему, он сказал:
– А знаешь, Барбикен, что мне чудилось всю эту ночь?
– Нет. А что?
– Я думал все про наших кембриджских друзей. Ты, конечно, уже заметил, что я удивительно слаб в математике. И вот – я никак не могу себе представить, как ученые из обсерватории рассчитали скорость, которую нужно сообщить снаряду, чтобы он мог долететь до Луны.
– То есть не до Луны, – перебил Барбикен, – а до того места в пространстве, где земное и лунное притяжения одинаковы, потому что уже с этого места, которое находится почти на девяти десятых всего расстояния, снаряд полетит на Луну сам собой, вследствие собственной тяжести.
– Ну да, – сказал Мишель. – Но скажи, как они вычислили эту скорость?
– Это вовсе не так трудно, как ты думаешь.
– А ты сумел бы сделать это вычисление?
– Разумеется. Мы с Николем вычислили бы это и сами, если бы другим не вздумалось избавить нас от этого труда.
– А мне кажется, что я скорее отдал бы голову на отсечение, чем взялся за разрешение такой мудреной задачи.
– Ну, надеюсь, ты не сказал бы этого, если бы знал алгебру.
– А! Узнаю вас, иксоедов! Вы думаете: сказали «алгебра» и этим все объяснили?
– Мишель, – сказал Барбикен, – надеюсь, ты не станешь отрицать, что нельзя ковать без молота или пахать без плуга?
– Согласен.
– Так знай же, что алгебра – такая же штука, как соха или плуг, – разумеется, для тех, кто умеет с нею обращаться.
– Так ли?
– Говорю тебе совершенно серьезно.
– И можешь это доказать на деле? Сейчас?
– Разумеется.
– И покажешь мне, как вычислить ту скорость, с какой нас вышвырнуло из колумбиады?
– Вот листок бумаги и карандаш, я сейчас припомню и напишу тебе эту формулу.
Сказавши это, Барбикен принялся за работу. Николь все это время смотрел через окно на необозримое пространство. Мишель занялся приготовлением завтрака.
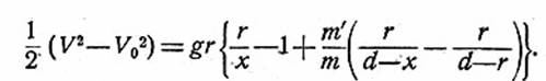
Действительно, не прошло и пяти минут, как Барбикен вручил Ардану свою бумажку, исписанную вычислениями, а в конце стояла формула:

– Мне бы очень хотелось понять сию премудрость, – сказал Мишель. – Десять лет жизни отдал бы, только бы уразуметь это!
– Я сейчас объясню тебе значение каждой буквы в этой формуле, – сказал Барбикен, обращаясь к своему несведущему товарищу. – Надеюсь, после этого ты все поймешь.
– Ладно, начинай! – ответил Мишель с видом человека, решающегося на самое отчаянное дело.
– Через d обозначено расстояние между центрами Земли и Луны, – сказал Барбикен. – Заметь, что при вычислении притяжения двух тел необходимо брать расстояние между их центрами.
– Согласен!
– r – это земной радиус.
– Радиус. Положим…
– m – масса Земли, а m' – масса Луны. Эти величины вошли в формулу потому, что притяжение тел пропорционально их массам.
– Понимаю.
– g – ускорение тела, свободно падающего близ поверхности Земли. Ясно ли это?
– Как хрусталь! – ответил Мишель.
– Буквой х я обозначил то постоянно возрастающее расстояние, которое отделяет нас от центра Земли, а V– это скорость, с какой летит снаряд на этом расстоянии.
– Очень хорошо!
– Наконец, ту скорость, какую снаряд получит по выходе из пределов атмосферы, обозначу через V нулевое.
– Именно, – сказал Николь, – для этого-то места и нужно вычислить скорость, ибо известно, что начальная скорость, с которой мы вылетели из колумбиады, в полтора раза больше той скорости, которая осталась у снаряда при выходе из атмосферы.
– Ну, это выше моего разумения, – возразил Мишель.
– Но ведь это так просто! – воскликнул Барбикен.
– Просто, да не для меня! – ответил Мишель.
– Иначе говоря, когда мы вышли за пределы атмосферы, наша начальная скорость убавилась на одну треть.
– Почему так много?
– Да, любезный друг, от сопротивления воздуха: трение о воздух, понимаешь? Ведь ты согласен, что, чем быстрее движется снаряд, тем большее сопротивление оказывает ему атмосфера?
– Это понятно, – сказал Мишель, – я с тобой согласен, но все эти V нулевые и V нулевые в квадрате отскакивают от моей неученой башки, как от стены горох…
– Погоди, любезный, – сказал Барбикен, – мы в эту формулу вставим числовые значения, соответствующие каждой букве.
– Ладно, делайте, что хотите!… – с отчаянием воскликнул Мишель.
– В этой формуле, – продолжал Барбикен, – есть величины известные, а есть и такие, которые придется еще вычислить.
– Этим я займусь, – вставил Николь.
– Во-первых, r представляет собою земной радиус, величина которого в месте нашего отправления, Флориде, равняется 6 370 000 метрам; d – расстояние между центрами Земли и Луны, равное 56 радиусам Земли, значит…
– Значит, – перебил Николь, уже успевший сделать вычисление, – это самое расстояние будет 356 миллионов метров в то время, когда Луна находится в перигее, то есть в ближайшем от Земли расстоянии.
– Правильно, – подтвердил Барбикен. – Далее: m', разделенное на m, есть отношение массы Луны к массе Земли, которое, как известно, выражается дробью 1/81.
– Отлично, – заметил Мишель.
– g – ускорение силы тяжести, которое во Флориде равно 9 метрам и 81 сантиметру за секунду; отсюда выходит, что вместо gr можно в формуле поставить…
– 62 миллиона 426 тысяч! – подхватил Николь.
– А дальше? – произнес недоумевающий Мишель Ардан.
– А дальше то, – ответил Барбикен, – что если числовые величины подставлены вместо букв, то я могу приступить к определению V нулевого, то есть скорости, которую снаряд должен иметь при выходе из атмосферы, для того чтобы достигнуть пункта, где притяжение Земли сравняется с притяжением Луны. Наконец, х – расстояние этого пункта от центра Земли – равняется девяти десятым d, то есть расстояния, отделяющего центры Земли и Луны. Итак, беру: x равно девяти десятым d. V равно нулю. Следовательно, формула примет такой вид…
Он быстро написал следующее:

– Достаточно ли это ясно? – спросил председатель.
– Чего же яснее! – воскликнул Николь.
– О, мудрые мужи! – пробормотал Мишель в полном изнеможении.
– Понял ли ты, наконец? – спросил его Барбикен.
Ой! – вскрикнул Мишель Ардан. – Кажется, понял, но голова сейчас треснет…
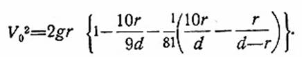
– А чтобы получить искомую скорость, – добавил Николь, – остается произвести вычисления.
И он, как человек, хорошо знающий дело, принялся за эти вычисления с неимоверной быстротой; деления и умножения вырастали у него из-под карандаша: куда ни глянешь, везде цифры и цифры – он испещрил ими целую страницу. Барбикен зорко следил за ним, а Мишель всеми силами старался подавить начавшуюся головную боль.
– Что же? – спросил Барбикен после некоторого молчания.
– Готово, – ответил Николь. – Для того чтобы снаряд мог долететь до того нейтрального пункта, где уравновешиваются притяжения Земли и Луны, скорость его при выходе из атмосферы должна была равняться…
– Чему? – с беспокойством спросил Барбикен.
– 11051 метру.
– Как? – вскрикнул Барбикен. – Сколько вы сказали?
– 11051 метр, – повторил капитан.
– Тысячу чертей! – проревел Барбикен с жестом отчаяния.
– Что с тобой, дорогой? – спросил Мишель Ардан, до крайности удивленный подобным восклицанием в устах Барбикена.
– Что со мной? Если скорость от трения уменьшается на одну треть, то нужно, чтобы первоначальная скорость была…
– 16 576 метров! – ответил Николь.
– А по вычислению Кембриджской обсерватории выходило, что достаточна скорость в 11 тысяч метров, чтобы снаряд долетел… И мы вылетели из колумбиады именно с этой скоростью!
– Что ж отсюда? – спросил Николь.
– То, что скорость была недостаточна.
– Это верно.
– Мы, значит, не долетим до пункта, откуда Луна может нас притянуть!
– Это ужасно!
– Нам не долететь даже до половины пути!
– Проклятый снаряд! – завопил Мишель Ардан, словно снаряд через каких-нибудь несколько минут должен был грохнуться о Землю.
– Значит, мы вернемся на Землю?
– Да, – произнес после минуты общего молчания Барбикен, – мы должны упасть на Землю.




























