Текст книги "Хаос и структура"
Автор книги: Алексей Лосев
Жанры:
Философия
,сообщить о нарушении
Текущая страница: 48 (всего у книги 62 страниц)
В старые наивные времена, до Коши, появлялась мысль, что дифференциал есть просто нуль. Так рассуждал ни больше и ни меньше как великий Эйлер. Но как же это может быть? Ведь если всерьез принимать дифференциал за нуль, то дифференциальное частное было бы А это сами математики считают неопределенностью. Куда же делась бы в таком случае производная? Ведь производная связана не с нулями, а с приближением функции и аргумента к нулю. А это огромная разница. Если мы дифференциал объявим нулем, а потом будем вместе с математиками «раскрывать неопределенность» этого
подставляя вместо нулей бесконечно умаляющиеся наращения, то это типичнейшее idem per idem [208]. Правда, сам Эйлер в этой теории нетверд и кое–где рассматривает дифференциалы вовсе не как нули, а как бесконечно–малые приращения.
Однако даже и мнение Эйлера я бы не отбросил целиком.
Рациональное зерно его заключается в том, что при рассмотрении
в условиях уже готовой производной (а только при этих условиях и возникает речь о дифференциале) мы получаем эти dy и dx отнюдь не в качестве только стремления к нулю. Стремление к нулю и переход всего этого отношения к пределу необходимы для того, чтобы только впервые получить производную. Но теперь мы не нуждаемся в этом получении и производная у нас уже имеется (причем совершенно неважно, какими именно средствами она получена). Что же такое dyndxB такой ситуации? Если производная сейчас уже не есть переход к пределу, то и dy, dx не есть переход к пределу. И если производная сейчас толкуется как уже готовый предел, то и dy, dx должны быть тоже готовыми пределами. Но ведь их предел был нуль. Значит, в каком–то смысле и dy и dx стали нулями. Предел уже не вне их и не притягивает их из бесконечности, но всосался в них самих, растворился в них самих, стал едино с этим бесконечным процессом, подобно тому как и производную мы теперь рассматриваем в качестве уже готового предела, уже достигнутого, уже охватившего всю бесконечность стремящихся к нему приближений. Ясно, стало быть, что дифференциал в известном смысле обязательно есть нуль.
Итак, дифференциал не есть ни конечная величина, ни бесконечная, ни самый процесс становления конечности или бесконечности, ни нуль. Что же это такое? Кроме того, элементы конечности, элементы бесконечности, элементы становления и даже нуля, несомненно, наличны в понятии дифференциала. И все–таки он не есть ни одно из этих определений. И напрасно математики старались и стараются такими способами понять категорию дифференциала, столь ясную и понятную формально–математически. Необходимо какое–то объединение всех этих четырех моментов, чтобы получить ясный логический смысл дифференциала. Но что же это за объединение?
3. Дифференциал функции есть функция двух переменных – производной от данной функции и произвольного приращения аргумента. Что это значит?
Прежде всего, как участвует в дифференциале функции ее производная? Производная есть предел, – мы знаем чего именно. Что такое предел? Уже и относительно предела возникают, как мы знаем, многие из тех сомнений, которые затемняют категорию дифференциала. Уже и предел многие готовы понять как просто конечную величину, как будто бы 1, 2, 3 и т. д. уже в силу своей конечности есть некие пределы. Но поскольку понятие предела гораздо проще и понятнее дифференциала, то обыкновенно и не входят глубоко в логический анализ этого понятия. Что ж тут объяснять? Вот предел; а вот то, что к нему стремится. И – все ясно. Но на самом же деле это, как мы видели в логической теории предела, вовсе не так ясно и просто. Предел логически имеет значение только вместе с бесконечным и непрерывным процессом приближения к нему его инобытия. Иначе это не предел, а просто конечное число. Предел, как мы видим, есть – в логическом смысле– обязательно синтез конечного и бесконечного, и не просто синтез вообще, а некоторого рода специальный синтез, ибо становление тоже есть синтез конечного и бесконечного; да и само конечное тоже ведь только с наивно–метафизической точки зрения является просто конечным, и больше ничего. Только наивно–мстафизи–чески можно было бы гипостазировать категорию конечного в отрыве от всего прочего. На самом же деле всякое конечное число, даже единицу, как мы видели, можно представить состоящим из бесконечного количества отдельных достаточно мелких элементов. И всякий отрезок прямой, как бы он мал ни был в абсолютном смысле, состоит из бесконечного количества отрезков достаточно малых. Значит, тот синтез конечного и бесконечного, который характерен для предела, есть специфический синтез конечного и бесконечного. Это именно есть синтез достигнутости конца для бесконечного процесса; это ставшее того бесконечного становления, в котором находилось конечное. Тут важна пройденность бесконечного пути, чего нет в других указанных только что синтезах конечного и бесконечного. Однако не будем входить здесь в детали и ограничимся тем, что просто назовем этот синтез синтезом предела или предельным синтезом. Он прежде всего и возникает, когда речь заходит о дифференциале.
Итак, дифференциал функции как функция ее производной есть прежде всего функция синтеза предела, функция предельного синтеза. Этот момент чрезвычайно важен. Он указывает на то, что нечто правильное было в этих наивных исканиях математиков, когда дифференциал объявлялся то конечной, то бесконечной величиной, то нулем. Поскольку дифференциал есть определенная функция некоей предельности, уже одно это свидетельствует о том, что в дифференциале есть и нечто конечное, и нечто бесконечное, и даже нуль. Конечное и бесконечное содержится, как мы сейчас установили, во всяком пределе. А нуля не избежать потому, что производная (в виде которой и фигурирует предельность дифференциала) есть предел отношения величин, именно стремящихся к нулю. Таким образом, математики, дававшие указанные выше понимания дифференциала, не были абсолютно не правы, а давали только односторонние понимания.
Итак, в дифференциале есть синтез конечного и бесконечного – предельного типа. Но что же дальше? Дифференциал есть, как мы знаем, функция и еще одного переменного, именно – произвольного приращения аргумента. Что это значит? Это значит, что функция предельности, фигурирующая в нем, дана не в чистом виде, но в измененном. И изменение это произошло тут в направлении изменения аргумента. Аргумент потребовал здесь некоего конечного фиксирования этой предельности, т. е. функционирования ее на некотором конечном протяжении. Дифференциал, стало быть, есть очень сложный принцип получения величины: он не только требует соединения конечного и бесконечного по типу предела, но он еще и требует определенной области, где бы это соединение воплощалось. Сама область тут в абсолютном смысле не определена, как и вообще весь дифференциал (да и все инфинитезимальные понятия) есть не абсолютная величина, а только принцип ее возникновения. Но что какая–то вообще определенная область осуществления синтеза должна быть, это тут зафиксировано строго.
Что же такое тогда дифференциал? Если говорить образно и грубо, то это есть: как бы закругленное становление, остановившийся бесконечный и непрерывный процесс; такое течение, которое совершается в определенных берегах; как бы снимок, что ли, со становления, некоторый отрезок, вырезка из этой стихии становления; остановившийся смысл той непрерывной текучести, о смысле которой невозможно было до этого момента и спрашивать ввиду полной неразличимости этого течения. Это отрезок линии постепенного изменения цвета какого–нибудь предмета, когда, напр., желтое переходит в зеленое – начиная от точки, когда желтое совершает первый сдвиг, до той точки, когда оно уже целиком перестает быть желтым и становится зеленым. Тут везде непрерывность, а стало быть, и бесконечность, бесконечно–малое, процесс бесконечно малого нарастания. Но тут и прерывность, а стало быть, и конечное, ибо разница между желтым и зеленым есть разница вполне определенных, устойчивых и конечных категорий. И здесь, наконец, переход одного конечного к другому через бесконечность непрерывных изменений первого конечного, т. е. переход именно к пределу. Поэтому, давая логическую формулу дифференциала в раскрытом виде, можно было бы сказать так: дифференциал есть результат, т. е. пройденный путь (как целое) [209]от одного конечного к другому конечному через бесконечность непрерывных (бесконечно малых) изменений первого конечного. Тут мы имеем и конечное, и бесконечное, и их синтез, и их синтез в виде предела, и осуществленность этого предельного синтеза на конечном расстоянии (или разнице) двух конечных величин; и, наконец, тут мы имеем самый настоящий нуль, ибо дифференциал есть весь пройденный путь и достигнутость предела, а предел тут – не что иное, как нуль.
4. К предыдущему необходимо сделать одно замечание, которое в дальнейшем будет развито у нас в целую теорию, но которое сейчас необходимо сделать только в кратчайшем виде, просто для избежания возникающего здесь недоумения. Дело в том, что данное выше логическое определение дифференциала в своем существе не отличается от определения интеграла. В интеграле тоже есть и конечность, и бесконечность, и предел. Необходимо еще внести специ–фикум, чтобы получился именно дифференциал. Это мы и делаем ниже, в § [12]. Сейчас же только заметим, что различие этих понятий заключается не в их существе, но в их оперативном употреблении, в том, как ими пользуются в вычислениях и измерениях. Различие это метрическое. Если данный математический предмет рассматривается как единица измерения, как элемент более сложной цельности, то это есть дифференциал. Если же тот самый предмет фигурирует как результат изменения, как цельность известного множества элементов, то мы имеем здесь интеграл. Все это развивается у нас ниже, в § [12].
5. Предложенные нами рассуждения пытаются вскрыть логическую природу математического понятия дифференциала. Теперь мы можем обратиться к исследованию другой проблемы, родственной, но не тождественной с этой, именно к исследованию логического коррелята этого понятия. Другими словами, что такое дифференциал в самой логике, т. е. что такое дифференциал понятия? Раньше мы говорили о понятии дифференциала. Теперь стоит вопрос о дифференциале понятия. Вопрос этот, можно сказать, совсем не исследовался. Если о понятии дифференциала всегда шли споры и давались его многочисленные характеристики и если о применении метода бесконечно–малых в логике и философии тоже говорилось достаточно, то, кажется, еще никто не доходил до такой конкретности в постановке вопроса, чтобы прямо указать пальцем, где же именно в логическом мышлении мы имеем производную и где же именно дифференциал. А ведь без этого вся теория философского применения метода бесконечно–малых остается чрезвычайно абстрактной и далекой от живого мышления и ограничивается только намерениями и планами без перехода к достижениям. Надо прямо пальцем ткнуть в тот элемент логического мышления, который является коррелятом математического дифференциала. И этот элемент должен быть достаточно простым и понятным, чем–то совершенно элементарным, как элементарно и само математическое понятие дифференциала, выступающее уже на первых страницах учебников математического анализа. Больше того. Поскольку из всех типов логики формальная логика наиболее распространена и считается наиболее понятной и поскольку формальная логика есть известного рода методический коррелят для всякой другой логики, в том числе и для инфинитезимальной, необходимо найти категорию дифференциала—конечно, в соответствующем методическом преломлении – уже в самой формальной логике. Если дифференциал понятия есть нечто логически реальное, т. е. реальное, а не выдуманное достояние логического мышления, то наиболее простой и доказательный способ обнаружения логической значимости дифференциала – это указание его (в соответствующей формально–логической модификации) именно в самой же формальной логике.
Этим мы и займемся.
6. Тут, очевидно, надо логически расшифровать все то же произведение производной на произвольное приращение независимого переменного.
Что значит «произведение», «умножить»? Умножить данное число – значит повторить его слагаемым столько раз, сколько единиц содержится в множителе, т. е. воспроизвести, осуществить, воплотить так, как того требует множитель. Множимое здесь производная, т. е., согласно нашим выводам, принцип деления понятия. Множитель – то или иное приращение независимого переменного– есть, по нашему предположению, известное изменение в вещах, та или иная материальная перемена. Следовательно, принцип деления понятия надо изменить так, как того требует данная материальная перемена. Пусть принцип, или основание, деления есть у нас, скажем, «цвет», т. е. данное понятие мы делим по признаку цветности. Что же такое этот цвет, если его взять с точки зрения той или иной его материальной перемены? Это значит взять какой–нибудь цвет, напр. красный, желтый, белый. Красный, желтый, белый и т. д. есть, во–первых, просто цвет вообще, а во–вторых, та или иная его материальная спецификация. Умножить производную от функции (понимая под функцией общее понятие) на произвольно выбранное приращение независимого переменного—это и значит попросту специфицировать основание деления данного понятия. Если я карандаши делю по их цвету, то это значит, что я так или иначе специфицирую понятие цвета, т. е. говорю: черный карандаш, синий карандаш, красный карандаш и т. д.
Так что же тогда такое дифференциал понятия? Ясно, что это есть не что иное, как видовое различие понятия. Ведь видовое различие понятия и есть только конкретное воплощение «основания деления», т. е. такое «основание деления» понятия, которое известным образом материально специфицировано. Почему мы здесь говорим о материальной спецификации? Потому, что с нашей точки зрения, т. е. с точки зрения последовательно проводимой теории отражения диалектического материализма, ни из какого понятия совершенно невозможно вывести его видов, если нет перед этим самих видов. Если бы мы имели только понятие цвета и не знали бы, кроме того, что есть желтый, красный и т. д. цвета, то из одного этого понятия цвета мы совершенно не могли бы вывести желтый, красный и пр. цвета. Чтобы это понятие было специфицировано, т. е. чтобы из него вытекали какие–нибудь видовые понятия, необходимо его соотнести с теми или иными изменениями материального мира; надо из материального мира подыскать те или иные процессы, которые бы ему соответствовали. Если я уже знаю, что такое синий цвет, то я могу подвести его и под общее понятие цвета. Если же я его не знаю, то никакими силами я не смогу дедуцировать его из одного только понятия цвета. Следовательно, «основание деления», имеющееся у нас для данного понятия, должно быть именно материально специфицировано, т. е. должно быть соотнесено с вещами, с тем или другим их отрезком. Тогда мы получаем конкретный результат этого «основания деления». А он и есть видоразличие для данного понятия.
Эта простая и ясная идея до нас нигде не была раскрыта. О том, что такое дифференциал в понятии, не додумался еще ни один логик, даже из тех, которые считали нужным строить инфинитези–мальную логику. Между тем идея эта с очень выгодной стороны конкретизирует математическую категорию дифференциала и дает новое освещение заскорузлой формально–логической категории видового различия. Тут именно становится впервые понятным все глубочайшее различие метода бесконечно малых от метода конечных изоляций, которым пользуется формальная логика. Тут уже не общие рассуждения о том, что мышление есть некое движение, но эта подвижность показана на реальной и элементарной категории формальной логики.
В самом деле, что такое видовое различие в формальной логике? Оно даже и не определяется. Или говорится: это то, чем отличается одно видовое понятие от другого, т. е. тут допускается просто idem per idem. Кроме того, самый процесс наложения видового различия на род мыслится здесь внешне, поверхностно, т. е. никак не мыслится. Знаменитое правило: «Определение происходит через род и видовое различие» – совершенно не входит в то, как именно это «происходит». Видоразличие просто «присоединяется», «прибавляется» к роду, и – кончено. Считать это разъяснением того, как логически возникает определение понятия, совершенно невозможно. Что же вместо этого дает нам категория дифференциала?
Если видоразличие понимать как дифференциал, то это прежде всего погружает определение понятия в сплошной поток, в непрерывное становление. Чтобы видоразличие стало дифференциалом, необходимо и самому понятию, о дифференциале которого мы говорили, находиться в процессе непрерывного становления, и основанию деления этого понятия быть пределом для бесконечного количества конкретных форм этого деления. Из этого сплошного потока конкретного функционирования «основания деления» должен быть вырезан тот или иной «участок», «отрезок», «кусок». И вот этот–то смысловой участок, или область действия, принципа дробления понятия и есть дифференциал этого понятия, видоразличие данного понятия. Формально–логическое, неподвижное, ото всего изолированное видовое различие надо погрузить в непрестанный поток изменения: непрерывно меняется определяемое понятие, непрерывно меняется самое направление этого изменения (производная), непрерывно меняется результат этого изменения, или определения.
Взятый в известных границах, результат этого определения тоже внутри себя непрерывно наплывает. Он–то и есть дифференциал.
Синий как видоразличие для какого–нибудь понятия (напр., для «карандаша», «обоев», «костюма», «цветка»), если это видоразличие понимать как дифференциал, предполагает: 1) сплошное изменение данного понятия (всех этих «карандашей», «обоев» и пр.), т.е. «приращение функции»; 2) определенное направление этого изменения, т. е. «производную», или «цвет вообще»; 3) бесконечный перелив и непрерывное становление величин, подпадающих под это направление, «приближенные значения пределопроизводной», или весь непрерывный цветовой спектр, и, наконец, 4) вырезку, выемку, отрезок, область, запруду, конечное протяжение некоторой области из этого становления, определяемого производной – цветом, т.е. синеву определенного и конкретного типа (ибо синих цветов, если принять во внимание все их оттенки, тоже целая бесконечность).
Так модифицируется формально–логическое видоразличие понятия на инфинитезимальную категорию дифференциала. Дифференциал—это и есть, вообще говоря, видоразличие понятия, но – в условиях сплошной текучести – и родового понятия, и основания его деления, и самого видоразличия.
7. Замечательным примером глубочайшей логической значимости инфинитезимальных категорий является рассмотрение того, что в математическом анализе называется разницей между дифференциалом функции и ее приращением. Это математически весьма элементарный шаг, который в учебниках анализа делается обычно тут же, в первых параграфах о дифференциале. Математически он очень элементарен, но логически он очень глубок и замечательно поучителен вообще для построения логики и в частности для проверки ее построений при помощи построений математических.
Как рассуждают тут математики? Когда мы взяли Ах, произвольное приращение аргумента, то это, конечно, сейчас же отразилось и на функции, для которой мы тоже получаем некое приращение, в Зависимости от того, какая это функция. Спрашивается: что же такое дифференциал этой функции в сравнении с этим ее приращением? Есть ли это то же самое или нет, и если не тоже, то чем же именно отличается дифференциал функции от соответствующего нарастания функции? Математики тут рассуждают так.
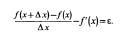
Представим дело аналитически. Будем рассуждать как обычно. Беря функцию от χ, т.е. ƒ(x), приращение аргумента Ах и соответствующее приращение функции, т.е. ƒ(х+Δх)– ƒ(х), пишем обычное выражение производной:

Возьмем разницу между производной и этим стремящимся к ней как к пределу отношением приращений функции и аргумента.

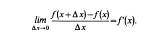
Что такое эта разность ε? Это бесконечно–малая величина, которая переводит нас от приближенного значения к пределу. Это есть самый переход к пределу. Освобождая предыдущее выражение от знаменателя, получаем:

Но левая часть этого равенства есть не что иное, как приращение функции Ау, а первое слагаемое правой части есть не что иное, как дифференциал dy этой функции. Следовательно,

т.е. приращение функции и дифференциал функции отличаются друг от друга на бесконечно–малое высшего порядка, чем Δх.
В чем тут дело, если подойти к вопросу чисто логически? Что это за таинственная величина ε Δ χ, которой только и отличается дифференциал от общего приращения? Вопрос этот также не ставился в логической литературе. Однако мы можем предложить его простейшее и яснейшее решение.
Мы уже знаем, что такое ε. Это самый переход от переменной величины, стремящейся к пределу, к самому пределу. Мы знаем также, что значит умножить. Выражаясь не математически, а образно–обывательски, это значит воспроизвести множимое методом множителя, воспроизвести одно, так сказать, в атмосфере другого, найти нечто общее между одним и другим. Такие выражения, когда они вызваны чувством (хотя и очень смутным) логической природы предмета, часто бывают для логики гораздо более ценными, чем точнейшие, но логически не осознанные и наглядно не освоенные математические формулы. Если Δх есть произвольное приращение независимого переменного, т.е. известная материальная перемена, то ε Ах есть, очевидно, некое новое понимание перехода к пределу, а именно тот предельный переход, который по качеству своему есть некое определенное материальное изменение.
Что же это такое? Производная у нас, как мы знаем, есть принцип деления понятия (скажем, «цвет» для «обоев»). Разница ε есть, очевидно, разница между «цветом вообще» и данным цветом. Тогда ε Δх есть разница между «цветом вообще» и, напр., желтым или зеленым цветом. Но ведь дифференциал понятия есть его видовое различие. Следовательно, из полученной формулы мы имеем: приращение понятия (обои) есть его видовое различие (зеленый цвет) плюс переход этого видоразличия к его предельному в данной ситуации значению. Но что же такое этот переход видоразличия к пределу? Что делается пределом для зеленого цвета обоев? Ведь оттенков зеленого цвета неисчислимое количество. И тем не менее тут они чем–то сдерживаются, тут для них есть какой–то точный и определенный принцип, есть для них точный предел. Этот предел есть, конечно, сами обои, ибо это единственная граница, за которую мы не можем выходить, если говорим о цвете именно обоев.
Но тогда получается очень простое решение вопроса о логической значимости разбираемого нами произведения. Это есть переход видоразличия к тому роду, к тому родовому понятия, которое им специфицируется. «Приращение» понятия есть не что иное, как соединение его дифференциала – видового различия – с переходом к роду, с этим самым произведением ε Δх. Другими словами, здесь перед нами не что иное, как инфинитезимальная модификация самого обыкновенного формально–логического процесса определения понятия. Понятие определяет себя тем, что оно нарастает. Определить себя—значит перейти в иное и в этом ином найти себя. Приращение функции, приращение понятия и есть не что иное, как ее определение. Но что делается при переходе в иное? Понятие прежде всего получает характеристику, противоположную себе, раз оно перешло в иное. Сами обои не есть цвет, но, переходя в иное, они становятся тем или иным цветом. Собака не есть такое–то и такое–то строение ушей и ног; но, переходя в иное, в материальное окружение, это понятие специфицируется, и для «собаки» оказывается существенной, напр., коротконогость или длинноухость. И т. д. Однако этим определение понятия, конечно, не может ограничиваться. Если бы мы остановились на этом, то вместо определения понятия мы имели бы как раз уход от определения, противоположность всякого определения, ибо само по себе взятое видоразличие «зеленый цвет» не имеет ровно никакого отношения к «обоям» или, вернее, имеет к ним такое же отношение, как и к «карандашу» или к «листьям дерева». Сама по себе «зеленость» совершенно инобы–тийна к «обоям» и нисколько их не характеризует. Чтобы «зеленость» стала существом обоев, надо в этой «зелености» найти «обои», т. е. надо, чтобы тут была «зеленость», характерная именно для обоев, а не для чего–нибудь другого. Надо, чтобы определяемое через инобытие понятие не только перешло в это инобытие, но чтобы оно и нашло себя в этом инобытии, сошлось в нем само с собою, необходимо, чтобы определяемое через инобытие понятие не только перешло в инобытие, но чтобы и это инобытие понятия перешло к самому понятию. Необходимо их равномерное и обоюдостороннее тождество. Но, когда мы от «обоев» перешли к «зелености», мы достаточно демонстрировали переход определяемого понятия в инобытие. Остается, значит, чтобы «зеленость» перешла в «обои», и тогда цель определения будет достигнута. Это и значит, что видоразличие должно перейти к роду, видоразличие понятия должно вернуться к той родовой общности, которую мы и должны были определять. Этот сложный диалектический процесс определения понятия, сводящийся, как мы видим, к отрицанию отрицания, и выражается в формальной логике, по исключении всякой процессуальное и со сведением непрерывности на неподвижно изолированные категории, так: определение понятия происходит через род и видовое различие.
Заметим, что непрерывная процессуальность сохраняется не только в этом переходе ε Ах, где оба сомножителя находятся в непрерывном изменении, но она налична и в самом дифференциале, который тоже есть произведение ƒ(x) Δх, где один сомножитель есть предел, т.е. указывает на бесконечное и непрерывное становление, а другой сам находится в непрерывном движении. Если вещь из желтой становится зеленой, то ее зеленый цвет есть то новое, что мы в ней находим в результате ее изменения, т.е. в результате полученного ею «приращения». И если отмечать это приращение на прямой в виде отрезка, в конечных точках которого будут находиться оба цвета, то дифференциал здесь есть та часть этого отрезка, которая ограничена с одной стороны началом изменения желтизны, а с другой стороны – концом этого изменения и переходом в зеленое. Дифференциал нашей вещи, становящейся из желтой зеленой вещью, есть этот непрерывный, состоящий из бесконечно малых нарастаний переход от зелености этой вещи к ее желтизне, переход, взятый, однако, несмотря на свою внутреннюю процессуальность, как единое и нераздельное целое. Это и есть dy, т.е. данное специфически цветовое видоизменение нашей вещи. Но ведь наша вещь не есть зеленая вообще. Обои не просто зелены, но зелены в смысле обоев. Листья дерева не есть просто зеленость вообще, но та именно зеленость, которая специфична для листвы. Значит, если желтая ягода позеленела, если желтая окраска моря (под тем или другим действием солнечных лучей) изменилась на зеленую, то это могло произойти не только потому, что здесь появилась зеленость, но еще и потому, что появилась именно ягодная зеленость, именно морская зеленость. Другими словами, тут, рассуждая теоретически, должен также произойти переход и от зелености вообще к данной специфической зелености. Это демонстрируется остальной частью нашего отрезка, символизирующего собою «приращение» вещи, это есть ε Δх.
Тут, стало быть, два предельных перехода, один – от желтизны вообще к зелености вообще и другой—от зелености вообще к данной специфической зелености. Но предельность тут дана в обоих случаях, конечно, по–разному. В первом случае был переход от одного цвета к другому, во втором же—переход внутри одного и того же цвета. Поэтому в первом случае надо было изменять саму производную от нашей вещи, т. е. вносить изменение внутри «цвета вообще» (чтобы перейти от желтизны к зелености); отсюда и математическое выражение ƒ(x) Δх. Во втором же случае речь уже не может идти о модификации самой производной, так как здесь вовсе не ставится вопроса о переходе одного цвета в другой. Поскольку же, однако, здесь идет речь о переходе внутри одного и того же цвета, необходимо вместо производной брать только то, чем отличается данная цветность от цветности вообще. Отсюда и ε Δι В первом случае предел находится не вне того, что стремится к пределу, а растворен в этом стремлении (ибо «цвет вообще» одинаково свойствен и желтому, и зеленому, и всем их промежуточным отрезкам). Во втором же случае предел находится вне того, что стремится к пределу (ибо «море», «листва» и пр., взятые сами по себе, не имеют никакого отношения к зелености). Но так или иначе, в разных смыслах, а все же непрерывное и бесконечное становление пронизывает здесь оба слагаемые нашего приращения, и дифференциал, и отрезок ε Δ χ, т. е. и видоразличие родового понятия, и переход от этого видоразличия к самому понятию как к родовой общности.
Значит, если анализируемое нами приращение понятия есть его определение, то дифференциал этого понятия есть его видовое различие, а произведение ε Ах есть возвращение к роду, или, говоря грубо, родовой признак. И когда математики говорят, что дифференциал функции есть главная часть ее приращения, то сейчас это делается элементарно ясным и простым: видовое различие действительно есть то главное и основное, что тут «наросло» в понятии. Если из «наращения» понятия исключить всю его про–цессуальность и всю его связанность с родовой общностью понятия, то в нем единственно только и останется само видовое различие. Все это только инфинитезимальный коррелят самого обычного формально–логического правила об определении понятия через род и вид, причем мы видим, что этот коррелят гораздо ближе к диалектическому учению об определении как об отрицании отрицания, чем к формально–логическому определению через род и вид. Впрочем, единство всех этих методов определения понятия – формально–логического, диалектического и инфинитезимального – ясно из предыдущего само собой (не хватает тут только еще одного замечательного метода современной науки, именно структурного метода определения понятия, но его наше настоящее исследование не касается).
Следовательно, здесь, так же как и в категориях производной и дифференциала, надо только уметь переходить от метода конечных изоляций, практикуемого в формальной логике, к методу бесконечно–малых, и – ясность инфинитезимальной категории обеспечивается. Погрузите в сплошное и непрерывное становление и определяемое понятие, и направление (смысл) этого определения, и то, чем вам угодно будет воспользоваться на этом общем пути становления понятия. Тогда потребуется такой же непрерывный переход и от этого произвольного отрезка на общем пути становления понятия к самому понятию. Как мы поняли в виде непрерывного становления видовые признаки понятия, так понимаем теперь непрерывно и переход от них к родовой общности вместо формально–логического механического суммирования неподвижных и взаимно изолированных видовых и родовых признаков в определяемом понятии.




























