Текст книги "Хаос и структура"
Автор книги: Алексей Лосев
Жанры:
Философия
,сообщить о нарушении
Текущая страница: 57 (всего у книги 62 страниц)
Оторвавши смысл от бытия, освободивши идею от субстанциональности, превративши густое и тяжелое бытие в легко подвижную, утонченную и изощренную мысль, западноевропейский функционализм создал себе целое царство мысли, какого–то фантастического разума, где утонченность, субтильность, капризная сложность математического исчисления соперничают с размахом, лихорадочными темпами и энтузиазмом великих исканий и постижений. Западноевропейская математика, освободивши себя от всякой грузной жизненной интуиции и даже сбросивши с себя оказавшийся слишком тяжелым груз человеческих интуиций, эта математика удалилась в царство невообразимых абстракций, головокружительных операций над фантастическими вымыслами, в изобретение и создание таких конструкций, которые не представимы никакой интуицией и не охватываемы никаким наглядным образом. Мало того, что был изгнан всякий геометризм из арифметики и алгебры—в противоположность античной традиции, мало того, что самая геометрия стала пониматься арифметически и алгебраически, так что Декарту пришлось создавать в первой половине XVII в[ека] т. н. аналитическую геометрию. Мало всего этого. Эта самая геометрия настолько превратилась в абстрактную игру абстрактных понятий, настолько оторвалась от всякой жизненной интуиции, что стала возможной геометрия любого числа измерений; и всякая такая геометрия выводится чисто абстрактно, не зависимо ни от каких интуиций и наглядных представлений. Функционализм, оторвавши числовое представление от бытия, сделал возможным и бесконечные полеты, самозабвенный экстаз разумных и рассудочных построений математики, и он же облегчил это никогда не угасавшее на Западе стремление к тончайшей инкрустации мысли, к капризнейшей отточенности числовых конструкций, к поражающей субтильности всего математического исследования [226].
Античность и Средние века по сравнению с этим—наивны, статичны, целомудренно–устойчивы, связаны своими глубочайшими корнями с бытием, которое они мыслят как абсолютное. И тут не может быть такого фантастического разгула мысли. Тут больше деловитости, трезвости, уравновешенной расчетливости и серьезности.
Итак, функционализм вырастает на той же почве субъективизма, что и понятие бесконечно–малого. Обе эти категории появились в результате отрыва от абсолютных и объективных установок; оба они питаются субъективистическим рвением в необозримую и таинственную даль, стремясь, одно – отбросить субстанцию и тяжелую материальную фактичность действительности, а другое—в достигнутой таким образом чисто смысловой сфере погрузиться в неустанную погоню за вечно уплывающей из рук умственной бесконечностью.
Естественным должен быть вопрос: не объединятся ли как–нибудь эти две фундаментальные категории—функция и бесконечно–малое? Неужели их не объединил тот общий дух, который их породил? И неужели он не объединил их с целью усилить действие каждой из них? Вполне естественно ожидать, что эти две функциональные категории сплотятся вместе и создадут зрелище, небывалое по силе, своеобразию и красоте.
Да, это именно и произошло в XVII веке, когда появилось дифференциальное и интегральное исчисление, основанное как раз на анализе функций бесконечно–малых приращений независимого переменного. Математический анализ и есть это объединение учения о функциях с учением о бесконечно–малом. И тут перед нами начнут вырисовываться уже конкретные контуры этой замечательной науки.
Чтобы закрепить достигнутое нами понятие функции (на пороге исследования самого математического анализа) в виде обычной диалектической тройственности принципов, скажем так.
Переменное, взятое безотносительно и самостоятельно, переменное в себе есть независимое переменное. В математике его называют аргументом и обозначают через х.
Переменное, взятое как противоположность независимому переменному, есть зависимое переменное и обозначается через у. Этот у указывает на то, что есть какая–то зависимость между ним и х.
Но это ведь есть не только какая–то зависимость или зависимость вообще, но и конкретная форма зависимости. Иначе и быть не может. Поскольку независимое переменное есть нечто определенное, постольку, входя в объединение с зависимостью от него другого, переменного и осуществляясь в качестве именно аргумента, оно должно и абстрактную зависимость превратить· в такую же определенную и конкретную зависимость. Это–то и есть функция в собственном смысле слова и обозначается в математическом анализе так:
y=ƒ(x)
Чтобы перейти теперь к исследованию форм объединения понятий функции и бесконечно–малого, вспомним, чтобы не сбиться, еще раз диалектическую последовательность наших мыслей. Сначала мы обследовали величину как таковую. Сюда вошло учение как о непосредственно–значащих величинах – арифметических, – так и учение об опосредствовании этих величин в форме непрерывности, прерывности и предела. Это обобщение учения о величине завершилось синтезом числа как непосредственного и как опосредствованного бытия—в форме учения о бесконечно–малом. Теперь все рассуждение о понятии функции заставило нас совсем покинуть область величин и непосредственных, и опосредствованных, и синтетических и перейти в противоположную область—отношений между величинами (а не самих величин), в область функциональных отношений.
Естественно возникает потребность объединить эти две области– величин (чисел) и функций. Тут–то и возникают понятия производной, дифференциала и интеграла.
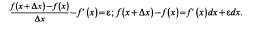
7. Производная. Итак, отныне мы находимся всецело в области функций. Кроме того, эти функции мы пополняем содержанием, основанным на понятии бесконечно–малого. Следовательно, имеется независимое переменное, погруженное [227]в стихию бесконечно–малого становления, и имеется зависимое от него переменное, тоже, очевидно, как–то связанное с процессом бесконечно малого становления. И возникает вопрос: что же делается с этим зависимым переменным, с функцией, и какую форму принимает это отношение аргумента к функции. Когда берется функция y=ƒ(x) то ясно, в каком отношении находятся χ и Пусть имеется у=х 2+1: ясно, что нужно сделать с jc, чтобы получить у. Но вот χ ушел в становление, погрузился в бесконечный процесс стремления, ушел в бесконечную даль, и—спрашивается: что же сделается с зависимым от него у, в каком положении очутится этот становящийся χ к становящемуся у? С самого начала ясно, что это будет совершенно иным отношением, чем то отношение, в котором находились между собой хну, когда они покоились на месте, были просто арифметическими и алгебраическими величинами и не погружались в стихию алогического становления. Рассмотрим теперь, что же это за отношение и что тут нового по сравнению со статическим значением величин.
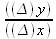
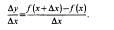
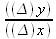
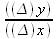
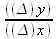
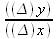
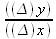
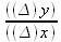
Итак, изменяется аргумент, изменяется в зависимости от него и функция. Употребляя традиционные обозначения математического анализа, мы получим следующее. Если x —аргумент, ∆х будет приращением аргумента x. В зависимости от этого функция у тоже будет нарастать; обозначим приращение функции через ∆у. Чтобы узнать, какой вид примет наращение функции, возьмем приращенную функцию ƒ(x+∆x) и вычтем из нее первоначальную функцию y=ƒ(x). Получаем: ƒ(x+∆x) – ƒ(x). Это есть то наращение, которое происходит в функции, когда получается наращение аргумента ∆х Следовательно, если
y=ƒ(x)
ТО
∆y=ƒ(x+∆x) – ƒ(x)
и, беря отношение обеих частей этого равенства к Δχ, мы получаем

Это и есть математческое выражение того нового отношения, в которое вступают χ и у, когда они берутся не сами по себе, не статически, но когда они погружаются в процесс становления, т. е. начинают нарастать или убывать. Это рассуждение (и обозначение) обычно еще не вполне достаточно, и требуется его существенно дополнить в одном пункте.
Именно, нас ведь интересуют не приращения вообще, но бесконечно–малые приращения и не процесс вообще, но именно алогическое становление. Мы раньше уже видели, что в понятии бесконечно–малого дано не просто изменение величины, но изменение самого изменения, становление изменения, почему оно не просто налично тут как таковое, но оно дает все меньшие и меньшие результаты, оно все меньше и меньше оказывается изменением. Сама категория изменения тут, очевидно, вовлечена в становление.
И только при этом условии переменная величина может быть бесконечно–малой. Она должна иметь своим пределом нуль—только тогда она действительно бесконечно мала.
Применяя это к нашему рассуждению, мы должны ∆х считать бесконечно–малым. ∆х должно стремиться к нулю, оно должно иметь своим пределом нуль. Но тогда существенно меняется вся картина выставленного выше отношения
. Именно, Ах становится все меньше и меньше. Соответственно и Δу должно становиться все меньше и меньше. Чтобы конкретно представить себе новые значения аргумента χ в связи с уменьшающимся приращением ∆х, вычислим соответственно новые значения функции, уменьшающиеся приращения функции, а также и отношение
мы получим примерно след. табличку.
Начальное значение
X
Новое значение
Приращ. Δy
ННачальное значение
У
Новое
Приращ. Δ
у

X
значение
у
3
4
1
10
17
1
7
3,9
0,9
16,21
6,21
6,9
3,8
0,8
15,44
5,44
6,8
3,7
0,7
14,69
4,69
6,7
3,6
0,6
13,90
3,90
6,5
3,001
0,001
10,006001
0,006001
6,001
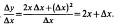
Пусть у нас имеется функция
у = х 2 + 1
и пусть начальное значение x: будет 3. Тогда начальное значение у=3 2+1 = 10. Возьмем теперь какое–нибудь новое значение x, напр. 4, тогда y =4 2+1 = 17. В первом случае приращение будет
Δ.γ = 4 – 3 = 1,
во втором случае приращение будет
∆у– 17– 10 = 7.
Следовательно,
=
=7.
Будем теперь постепенно уменьшать Δx, придавая ему значения 0,9; 0,8; 0,7 и т. д. Соответственно будет меняться χ и также у, а стало быть, и
. Мы действительно видим, что
принимает все меньшие и меньшие значения: 7; 6,9; 6,8; 6,7 и т. д. Спрашивается: до каких же пор будет это отношение уменьшаться? ∆х стремится к нулю. К чему же стремится
?
Чтобы ответить на этот вопрос, представим вышеприведенное выражение – при помощи данной формулы у=χ 2+1. Именно, взявши приращенную функцию, получаем:
у+∆у=(х+∆х) 2+1 = χ 2+ 2χΔχ+(Δχ) 2+1,
откуда
∆у = х 2+ 2х∆х + (∆х) 2+1—(х 2+1) =
=χ 2+2χΔχ+(Δχ) 2+1 – χ 2 —1 = 2х ∆х+(∆х) 2.
Следовательно,

Итак, чтобы судить о том, к чему стремится
, достаточно полученное выражение 2х+∆х взять в пределе, т. е. в условии стремления ∆х к нулю. Очевидно, если Ах стремится к нулю, то
стремится к 2х, так как ∆х, как стремящееся к нулю, стремится просто отпасть. Значит, если начальное значение аргумента χ у нас было 3, то предел отношения
будет равен, очевидно, 2–3 = 6.
И действительно, просматривая в нашей табличке значения
, мы видим, что оно постепенно уменьшается, но не становится меньше 6. Если бы мы взяли, напр., ∆х = 0,001, то, как показывает вычисление,
оказалось бы равным 6,001. Легко проверить это, подставляя все меньшие и меньшие ∆х и получая отсюда все меньшие и меньшие
, но не становящиеся меньше 6. 6—это предел, Δχ к которому стремится
если брать функцию у=х 2+1 при начальном значении х=3.
На этом простейшем примере отчетливо видно, какую форму приобретает взаимоотношение χ и у, когда оно начинает действовать не само по себе, но в своем инобытии, в своем становлении, когда они сплошно и неизменно растут или вообще меняются.
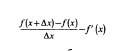
Предел этого отношения
, когда ∆х стремится к нулю, и есть производная, т. е. функция, «произведенная» от у, которую называют первообразной функцией. Следовательно, производная данной функции есть предел отношения приращения этой функции к приращению аргумента, когда это приращение аргумента стремится к нулю как к своему пределу.
Не будем забиваться в абстрактные дебри, как это любят делать математики, давая это понятие в дифференциальном и интегральном исчислении. Также недостаточны для понимания производной и те геометрические и механические привнесения и толкования, которыми математики уснащают свои руководства, думая на них конкретизировать это отвлеченное понятие. Надо, однако, еще до этих применений и толкований научиться понимать эту замечательную категорию, понимать всю ее жизненную и, следовательно, философскую конкретность.
Что такое производная? Для понимания этой основной категории математического анализа надо с максимальной отчетливостью представить себе разницу между бытием и инобытием или, точнее, между бытием и становлением. Если эта разница усвоена нами с достаточной отчетливостью, тогда необходимо достигнуть четкости еще в представлении того, как совершается стремление к пределу. Если эти две вещи усвоены, то логический состав производной будет ясен сам собой.
Что такое становление? Его удобно можно обрисовать путем противопоставления голому бытию (или голой идее [228]), по сравнению с чем оно действительно есть резкая противоположность. Бытие есть прежде всего нечто оформленное и устойчивое; становление бесформенно стремится вперед. Бытие – царство раздельности, координированности; становление же есть алогический процесс, в котором все отдельные моменты сливаются в одну неразличимую непрерывность. Арифметика оперирует с числами вне всякой их процессуальности. Для нее они – вечные, незыблемые идеи, предстоящие в виде некоей картины, и считающий только выбирает из этой картины то одни числа, то другие. Алгебра и элементарная геометрия, не оперируя с арифметическими числами, все же, вполне на манер арифметики, оперируют со своими величинами опять–таки чисто статически. И только в анализе дана чистая стихия становления, чистое алогическое становление, в котором тонет всякая раздельность, затухает всякое оформление и совершается уход в бесконечную даль, к неохватным горизонтам.
Идеи, числа, вещи, взятые как неподвижные, статические, вечные структуры, предстоят как определенным образом связанные между собой, предстоят в некоем конкретном взаимоотношении. Будучи же погружены в стихию становления, они в корне меняют свое взаимоотношение; оно становится неузнаваемым, хотя мы и должны уметь выводить это их алогически–становя–щееся взаимоотношение из их логически–неподвижного взаимоотношения. Вещи, идеи, числа—все, что мыслится и существует, – одним образом взаимосоотносится, когда берется в чистом и непосредственном виде, и совершенно другим способом взаимосоотносится, когда уходит в алогическое становление и растворяется в нем. Итак, это первое и самое главное в производной: производная есть взаимоотношение величин, перешедших в алогическое становление.
Второе, очень важное обстоятельство заключается в том, что производная содержит в своем логическом составе момент предела. Что такое предел, об этом уже говорилось выше. Однако ни на минуту нельзя упускать из виду всего своеобразия этой богатой категории – предела и надо уметь учитывать его в общем логическом составе производной. Схематически эту ситуацию можно представить так.
Аргумент х, погрузившись в становление, меняется, движется – в бесконечность.
Зависящая от него функция у, погрузившись в становление, тоже все время меняется, движется—до бесконечности.
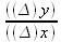
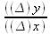
Теперь, отношение между этими двумя, бесконечно становящимися величинами есть тоже величина переменная; оно тоже все время меняется, движется и—тоже до бесконечности. Это очень важно все время учитывать и иметь в виду. Производная все время меняется, движется, становится. Производная тоже пребывает в становлении, она в каждый новый момент взаимоотношения становящегося аргумента и функции—все новая и новая, все иная и иная. Но только это становление производной не какое–то вообще, а вполне определенное, так как ведь и аргумент, и функция есть тоже вполне конкретная определенность и таковыми они и вступают в стихию становления. Но какая же может быть определенность в становящейся величине? Определенность становления аргумента χ продиктована самим аргументом л:; она выражается через х+Ах. Определенность становления функции у опять–таки продиктована определенностью самой функции; эту нарушенную функцию мы найдем в выражении у + Ау. Но от чего зависит определенность становления производной? Она ведь потому–то и называется производной, что она не самостоятельна, а всецело зависит от поведения в инобытии аргумента χ и функции у. Вот предел, к которому стремится
, и есть то, что дает производной определенность и указывает на ее определенную закономерность. Отдельные
с этой точки зрения еще не есть сама производная, а как бы только подготавливают ее, стремятся к ней. В настоящем смысле производная возникает только тогда, когда все эти отдельные
получают особую структуру, как некий ряд, как некая последовательность. Это и совершается тогда, когда ряд этот получает предел. И производная, находя в каждом отдельном
свое приближенное выражение, оказывается в точном смысле производной именно тогда, когда она есть предел этого отношения
.
С этой точки зрения производную необходимо понимать как закон инобытия идеальной взаимозависимости. Когда дана функция сама по себе, y=ƒ(х), и не ставится никакого вопроса о становлении л: и у, то все действия происходят тут в области чисто идеальной, неподвижно идеальной. Когда χ и у перешли в становление, они вышли за свои собственные границы и перешли из своего бытия в свое инобытие. Какой же закон существования этой идеальной взаимозависимости, когда она перешла в свое инобытие? Ответ: этот закон существования идеальной взаимозависимости в инобытии к себе самой есть производная. По ней мы видим, как ведут себя идеальные вещи в инобытийно–реальном становлении и какова структура и внутренняя связь, царящая в этом инобытийном поведении.
Здесь перед нами еще раз появляется воочию тайна западноевропейского мироощущения, покинувшего идеальную действительность абсолютов и погрузившегося в непроглядную тьму становления и вечных исканий. Когда действительность мыслилась и переживалась в своей абсолютно–объективной, личностно–самостоя–тельной субстанциальности, тогда не было особенных причин уходить в становление, а были все причины пребывать в собранном и целомудренно–уравновешенном состоянии. Когда же все объективное бытие было зачеркнуто и человеческий субъект стал усиливаться в самом себе и притом из самого себя исходить все быстрее, тогда, по невозможности физически обнять бесконечную вселенную, волей–неволей пришлось устремиться в вечное искательство и расслоить спокойное обладание истиной на бесконечное и беспокойное ее достижение. Тогда и возникла непреодолимая потребность, своего рода метафизическая страсть созерцать, наблюдать, изучать и фиксировать не устойчивые структуры природы и духа, но их становящуюся стихию, не числа и вещи в их законченном стройном бытии, но числа и вещи в их бесконечно стремящемся инобытии. И так как нельзя же было настолько погрузиться в становление, чтобы потерять всякую мысль и расстаться с самой способностью расчленять, обобщать и теоретизировать, то и были созданы такие методы мысли, которые бы максимально соответствовали алогически–становящемуся бытию, и такая математика, которая, сохраняя свою точность и четкость форм, говорила бы не о стройном и законченном архитектурном целом, но о вечно рвущемся, вечно бесконечном стремлении. Производная и есть эта точная, четкая, максимально–логическая форма и метод мысли для познания всегда неточного, всегда спутанного и нечетного, максимально алогического становления и изменения. В этом вся ее тайна. И в этом ее совершенно своеобразный культурно–исторический строй; и, можно сказать, в этом – метафизическая страсть, владевшая и владеющая всеми, кто мыслит и действует инфините–зимально, кто мыслит и действует как вечно стремящийся и никогда ненасытный Фауст.
8. Дифференциал и интеграл. Вся рассмотренная нами до сих пор картина осуществлялась между величинами χ и у. Мы отметили три особых момента: Δу, Ах и у связывая их одним отношением [229] .
=y'
Что такое χ и dx, этого мы сейчас можем и не разъяснять, так как χ это есть просто независимое переменное, a dx—то его приращение, в силу которого оно вступает в процесс становления. Так как здесь идет речь о независимых величинах, о произвольных величинах, то, очевидно, весь наш интерес должен относиться к тому, что от них зависимо, и к самой форме этой зависимости. Общее понятие нам также известно. Но уже это dy может получить более точное определение из соответствующего видоизменения вышеданной формулы производной. А именно, из нее вытекает, что
dy=y'dx.
Иначе говоря, оказывается, что о dy можно судить на основании у' и dx, т. е. приращение функции зависит от производной и от приращения аргумента. Здесь, однако, необходимо соблюдать более точный способ рассуждения и выражения, и мы получаем понятие дифференциала.
Прежде всего dx, приращение независимого переменного, стремящееся к нулю, в отличие от Ах, от приращения, вообще называется дифференциалом независимого переменного. Дифференциал аргумента есть, следовательно, бесконечно–малое его приращение. Соответственно необходимо проводить различие и между приращениями функции. Когда растет аргумент, соответственно растет и функция; и в общем случае, когда не становится вопрос о характере этих приращений, приращение функции мы обозначаем через Δy. Однако нас интересует именно бесконечно–малое наращение аргумента. Тогда соответственно получит специфическую окраску и приращение функции. Вот это–то приращение функции в условиях бесконечно–малого нарастающего аргумента и называется дифференциалом функции; и оно есть произведение производной на бесконечно–малое приращение аргумента (т. е. y'dx).
Но и в этом определении еще не выявляется с полной отчетливостью и выпуклостью смысловая структура дифференциала. Это определение есть ведь не что иное, как перефразировка логических моментов, входящих в понятие производной. Чтобы выявить наружу этот скрытый принцип дифференциала, представим себе процессы, дающие производную, более подробно.
Если разница

стремится к нулю и есть величина бесконечно–малая, то, обозначая ее через ε, получаем

Левая часть этого равенства есть общее приращение функции Ау. В правой же части f'(x)dx есть, по предыдущему, дифференциал функции, dy. Стало быть, это равенство можно переписать так:
∆y = dy + edx,
т. е. общее приращение функции отличается от дифференциала функции на величину edx. Если отдать себе строгий отчет в этой величине, то станет ясным и все отличие приращения функции от дифференциала функции. Что такое zdxl dx есть бесконечно–малое приращение аргумента, равно как и ε—тоже бесконечно–малое. Умножение одного на другое дает, очевидно, бесконечно–малую величину высшего порядка, чем просто dx. Бесконечно–малое высшего порядка есть то, которое имеет высшую малость, т. е. такое, которое мельче другого бесконечно–малого, zdx мельче, чем просто dx. Но так как dy—f'(x)dx есть бесконечно–малое первого порядка (поскольку f'(x) есть какое–нибудь число, не равное нулю), то edx мельче, чем f'(x)dx, и, следовательно, обсуждая ∆у, этой величиной можно пренебречь. Поэтому практически вместо ∆у достаточно оперировать с dy, т. е. общее приращение функции можно заменять ее дифференциалом, хотя это и разные вещи.
Таким образом, можно сказать, что производная есть предел отношения двух дифференциалов – функции и аргумента.
После этого мы можем перейти и к понятию интеграла.
Производная показывает нам, что делается с функцией, когда она погружается в стихию становления. Расплываясь по морю этой бесконечности, мы можем и совсем забыть то, с чем мы вошли в это море. Но мы можем и помнить, можем вспоминать то идеальное неподвижное, статически–числовое, что оставили мы на берегу. И когда мы вспоминаем, мы невольно вносим какую–то устойчивость в наше становление, начинаем видеть сквозь мглу становления контуры оставленной темы, статической идеи—правда, теперь уже сильно деформированной и часто принимающей совершенно неузнаваемый вид. Это инобытийно–деформированная функция, пребывающая в этом деформированном виде неизменной среди непрестанного потока бесконечности, и есть производная. Однако мы можем задаться и другой задачей.
Мы можем в своем сравнении инобытийной функции с первообразной останавливаться не только на инобытийной [функции], но и на первообразной. Можно не только первообразную функцию рассматривать в сфере инобытия и—получать производную, но можно и производную рассматривать в сфере первообразий и – получать эту самую первообразную. И как первообразная претерпевает деформацию при переходе в инобытие, так и производная претерпевает деформацию при переходе из инобытия в бытие. Тот и другой процесс, конечно, являются взаимообразными. И принципиально должно быть ясно, что если мы сумеем переходить от «первообразного» бытия к «производному» инобытию, то также (или в значительной мере так) мы должны уметь переходить и обратно, от инобытия к бытию. Вообще говоря, первообразная функция, полученная из инобытийной путем исключения инобытия, и есть интеграл.
Интеграл количественно ничем не отличается от любой величины. Всякая величина может быть интегралом. Однако если употребляется такой термин, то, конечно, не для того, чтобы еще другим словом назвать то, что обычно называется величиной. Название «интеграл» указывает на происхождение величины, а не просто на самую величину в ее чисто количественном смысле. В понятии интеграла также мыслится процесс, и притом бесконечный процесс, как и в понятии производной; и это не может быть иначе, раз мы условились рассматривать не только инобытие в сфере бытия, но и бытие в сфере инобытия. В бытие тоже вносится момент инобытия, а именно бытие – в нашем случае первообразная функция – мыслится не само по себе, в своей полной непосредственности (тогда была бы просто арифметическая величина, и больше ничего), но в своем происхождении, в своей полученности из недр становящегося бытия.
Каким же образом можно получить из инобытия бытие, из дифференциала интеграл? Что тут за процесс происходит? Когда мы имеем производную и, следовательно, дифференциал функции, мы погружены в созерцание бесконечного процесса и фиксируем в нем твердые контуры закона, управляющего этим бесконечным процессом. Наша новая задача заключается в том, чтобы созерцать этот бесконечный процесс не в целях фиксации закона этого же самого инобытийного процесса, но в целях фиксации функции, еще не перешедшей ни в какое инобытийное становление. Мы продолжаем рассматривать эту становящуюся стихию, но фиксируем в ней не ее собственную закономерность, но изначальную функциональную закономерность, инобытие которой и привело к этой становящейся стихии. Соответственно с этим мы уже иначе должны расценивать самый процесс становления.
Когда мы искали закон инобытия, мы должны были скользить по самому инобытию, с тем чтобы пронаблюдать этот закон. В глубине этого распыления и появлялся его закон—в виде производной. В случае же, когда надо прийти к первообразному бытию, мы тоже скользим по инобытию, но, очевидно, не с целью разъединить и распылить, но с целью обобщить, так как первообразная функция перешла в производную именно благодаря распылению и становлению. Обратный процесс, следовательно, есть восстановление и объединение. Только этим путем мы можем вернуться к первообразной функции, потому что только этим путем мы и уходили от нее. Однако, как было недостаточно в первом случае видеть бесконечный процесс распыления, а нужно было еще узреть скрытый за ним и руководящий им закон инобытия (производную), так и здесь недостаточно одного простого суммирования и воссоединения распыленных моментов, а нужно стараться увидеть скрывающийся за этим закон этого объединения, закон этого суммирования, восстановляющего бытие в его первоначальной данности. Иначе мы потерялись бы в дебрях инобытия—и в первом, и во втором случае.
Но что же это за закон суммирования и воссоединения? Закон становления и распыления есть предел становления и распыления. Точно так же закон суммирования должен быть определенным пределом, который бы из бесконечности четко управлял этим процессом суммирования. Ясно, что таким пределом и является наша первообразная функция, потому что из нее и начался процесс становления, к ней и должно вернуться инобытие из своего бесконечного становления. Она—предел этого возвращения, т. е. предел суммирования всего распыленного. Это она видится в глубине восстановительного процесса и скрыто им управляет. Ее мы и должны найти, созерцая восстановительные пути инобытия.
Отсюда, интеграл есть, очевидно, предел суммы всех дифференциалов. Или, говоря пространнее, это есть предел бесконечно–большой суммы всех бесконечно–малых приращений функции.
Тут мы получаем уже более четкое определение интеграла, которое мы не можем получить, понимая интегрирование как действие, обратное дифференцированию. Только в определении интеграла как предела суммы всех дифференциалов мы обнаруживаем истинную восстановительную и синтетическую природу интеграла. Трактование интегрирования как действия, обратного дифференцированию, хотя оно вполне точно, не обладает такой выпуклостью, которую дает определение через суммирование.
К этому определению интеграла должно быть сделано несколько примечаний.
Прежде всего, как в анализе понятия производной, так и здесь мы должны получить основную стихию, в области которой разыгрываются эти понятия. Это – стихия становления, алогического становления, где мы находим полную неразличимость всех отдельных моментов, хотя они и даны как внеположные. Трактуя о бесконечно–малом, мы выдвигаем на первый план эту идею бесконечного процесса, где все отдельные моменты слиты в единый неразличимый поток. То же самое мы всегда должны помнить и в применении к интегралу. Интеграл также содержит в себе стихию алогического становления, и в нем также отдельные моменты этого процесса слиты в один внутренне безразличный поток. Правда, значимость этого потока здесь иная, но самый процесс, его алогичность тут одни и те же. Какой бы раздельной величиной ни являлась данная величина, все равно, раз она интеграл, она мыслится перекрытой стихией алогического становления и видится и сквозит через данную стихию как ее предельный контур.
Далее, необходимо заметить, что предыдущее определение интеграла есть, в сущности, определение того, что обычно называется «определенным» интегралом. Если мы просто напишем, как это понимается всегда,
∫ƒʹ(x)dx=ƒ(x)
то тут утверждается: ƒ(x) есть производная функции ƒ(x) и ƒ(x)dx есть ее дифференциал; интеграл же от этой функции и есть сама первообразная функция y=f(x). В этом способе выражения на первом плане стоит понимание интегрирования как действия, обратного дифференцированию. Однако если мы выдвинем на первый план момент предельного суммирования, то ясно, что это суммирование предполагает определенные пределы, в которых совершается данное суммирование. Тут имеется в виду процесс, который в общем можно обозначить так:









![Обложка: Честь Воина [CИ]](/files/books/110/no-cover.jpg)