Текст книги "Хаос и структура"
Автор книги: Алексей Лосев
Жанры:
Философия
,сообщить о нарушении
Текущая страница: 58 (всего у книги 62 страниц)
∫ƒʹ(x)dx=ƒ(b)-ƒ(a)
Тут имеются два соседних значения функции f(a) и f(b), между которыми и происходит процесс суммирования бесконечно–малых приращений. Этот процесс можно изобразить при помощи суммирования бесконечного количества таких разниц:
ƒʹ(b 1)-ƒʹ(a);ƒʹ(b 1)-ƒʹ(b 2); ƒʹ(b 3)-ƒʹ(b 2)и т. д.
Но ясно и так, что этот процесс разыгрывается между значениями а и b, в пределах между а и b, и что только в этом случае процесс суммирования получает законченную форму. Такой интеграл, который является результатом суммирования в определенных пределах, называется определенным интегралом в отличие от интеграла, не содержащего этих пределов и носящего название неопределенного интеграла. Ясно после этих разъяснений, что, хотя в обычных руководствах по анализу изложение начинается с неопределенных интегралов, логически, а также исторически первенство остается за понятием определенного интеграла. И только игнорирование интеграла как результата суммирования и выдвижение на первый план интеграла как результата взаимообразного действия с дифференцированием приводит к тому, что целесообразным считается начинать именно с неопределенных интегралов.
В заключение этого параграфа полезно подвести диалектический итог учению о приращениях и связанных с этим понятий дифференциала и интеграла.
Во–первых, после предыдущего рассуждения должна быть ясна такая тройственная последовательность. Если мы возьмем функцию саму по себе, у =ƒʹ(x), т. е. функцию в ее непосредственном бытии, то антитезой к ней будет, очевидно, переход ее в инобытие, в становление. Инобытийное становление для функции, как и вообще для всего, есть система бесконечно–малых приращений. И следовательно, если функция в себе есть тезис, то диалектическим антитезисом, отрицанием ее будет функция вне себя, функция в области нарастающего становления. Но тогда синтезом функции в себе и функции вне себя будет, очевидно, функция как интеграл, потому что в функции как интеграле дана, во–первых, она сама и, во–вторых, дано перекрытие ее суммой всех ее бесконечно–малых наращений. Функция—тезис, ее наращение, дифференциал – антитезис, интеграл—синтез.
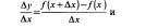
Далее, можно диалектически расчленить и среднюю область из только что указанных, область дифференциала. Тут мы имеем 1) приращение аргумента Ах, 2) приращение функции ∆у и 3) предел их взаимоотношения
=y' производную, или -1) дифференциал аргумента, 2) дифференциал функции и 3) производную.
Таким образом, получается следующая резюмирующая диалектическая схема.
1. Функция в себе, y=f(x).
2. Функция вне себя. Ее становление:
a) дифференциал аргумента, dx,
b) дифференциал функции, dy,
c) производная
=у'.
3. Ставшая функция – интеграл ∫y´dx=ƒ(x).
III. ДИФФЕРЕНЦИАЛbНОЕ И ИНТЕГРАЛbНОЕ ИСЧИСЛЕНИЕ. ИХ ЛОГИЧЕСКИЙ СОСТАВ
1. Дифференциальное исчисление. Теперь мы знакомы со всеми основными категориями исчисления бесконечно–малых, и теперь мы можем наметить основную структуру и двух главных наук, из которых и состоит математический анализ, – дифференциальное и интегральное исчисления. Начнем с дифференциального исчисления. Сумбур, царящий в обычных изложениях этой науки, когда в одну кучу валится ряд почти не связанных между собой проблем, заставляет с особенной тщательностью и критикой относиться к реальному содержанию того, что мы тут находим. Отбросим то, что обычно называется «введением в анализ», эту смесь алгебры, геометрии, тригонометрии, анализа и многих других вещей; к тому же основные категории этого введения рассмотрены нами в предыдущем изложении. Далее, отбросим всякие геометрические и механические приложения, которые – в порядке системы – занимают место именно приложений, а не центрального содержания науки. Наконец, отбросим и всю технику доказательств и вычислений и сосредоточимся только на существенном содержании центральных положений науки, выставляя на первый план логическую связь и последовательность развития существа дифференциального исчисления.
Общее содержание этой науки, если отбросить все приложения, все детали и всю технику демонстрации, представляется в виде следующих трех проблем.
Прежде всего, первая большая проблема и первый большой отдел дифференциального исчисления – это само дифференцирование функций. Чтобы внести ясность в структуру этого отдела, необходимо четко формулировать, во–первых, процесс самого дифференцирования, во–вторых же, классификацию функций.
Что касается первого вопроса, то общая формула дифференцирования является не чем иным, как развитым приложением самого понятия производной. Так как дифференцировать функцию – значит найти ее производную, то ясно, что процесс дифференцирования может состоять только из последовательного приложения элементов, входящих в самое понятие производной. В развитой форме это дифференцирование представляют в виде четырех приемов: 1) к аргументу и функции присоединяется приращение —
y=ƒ(x)
y+∆y=ƒ(x+∆x)
2) определяется отсюда приращение функции —
∆y=ƒ(x+∆x)-y
∆y=ƒ(x+∆x)-ƒ(x)
3) берется отношение приращений ∆у и ∆x

4) происходит переход к пределу, считая, что ∆х стремится к 0. Отсюда —

Таков в общей форме процесс всякого дифференцирования. Правда, этот общий прием не всегда удобен, но об этих деталях говорить не будем.
Что же касается вопроса о классификации функций, которая только и может внести логический стройный порядок в этот отдел дифференциального исчисления, то и этого вопроса в данном месте касаться не стоит. Вопрос о классификации функций отнюдь не такой легкий, как это представляют себе математические руководства. Легкость достигается тем, что обычно перечисляют только простейшие и легчайшие функции и отбрасывают более сложные, а потом начинают вводить их без всякого предупреждения.
Так, неизвестно, в каком месте надо излагать гиперболические функции. Тригонометрические функции хотя и излагаются сейчас же после дифференцирования «алгебраических» функций, но неизвестно почему. Неизвестно также, что, собственно, такое «тригонометрические» функции. Обычное определение их как отношения определенных линий к радиусу круга—слишком внешнее определение; оно в сущности ничего не говорит. Уже одно выражение их при помощи числа е в известных формулах Эйлера указывает на полную их загадочность и таинственность; и не так–то просто найти их вполне существенное определение. Эллиптические функции справедливо отнесены в отдел теории функций комплексного переменного. Но положение самого этого отдела в системе анализа совершенно неопределенно. Казалось бы, естественно было бы излагать функции комплексного переменного вслед за рациональными и иррациональными функциями, поскольку само понятие комплексной величины есть неограниченное завершение понятия величины вообще. Тем не менее ни в дифференцировании, ни в интегрировании функций обычно этих функций не помещают, а помещают их почему–то в отдел «аналитических» функций, причем опять невозможно разобрать, что такое аналитические функции. С одной [230]стороны, аналитические функции комплексного переменного поставлены в ближайшую связь. С другой стороны, оказывается, что аналитические – это все вообще функции (так как аналитические—те, которые дифференцируемы). И т. д., и т. д., и т. д.
Вся эта неразбериха, не свидетельствующая о логической силе математиков, требует кропотливого анализа, который невозможно провести здесь, не удаляясь далеко в сторону, хотя только логически стройная классификация функций и могла бы внести порядок и последовательность в рассматриваемый отдел дифференциального (и соответственно—интегрального) исчисления. Сюда же относится, конечно, дифференцирование неявных функций, нахождение частных производных и производных высшего порядка. Это естественно вытекает из самого понятия дифференцирования.
Второй большой отдел дифференциального исчисления—это учение о рядах. Положение этого отдела в системе анализа– вполне специфическое. Ряды, конечно, нельзя помещать где попало. Логическое место их определяется тем основным обстоятельством, что ряд представляет собой инобытие производной. Если производная является образом пребывания функции в инобытии, то ряд является образом пребывания самой производной в инобытии.
Если производная—тезис, то ряд есть антитезис или, вернее, такой антитезис, который воплощает в себе в инобытийном [231]порядке тезис, производную. Чтобы это понять с полной четкостью, необходимо проанализировать диалектически хотя бы один какой–нибудь ряд. Для такого примера мы и возьмем простейший ряд—ряд Маклорена.
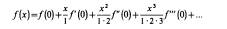
Этот ряд—

состоит из двух элементов, вдвинутых один в другой, – именно из ряда последовательно данных производных, начиная с самой функции при нулевом значении аргумента, —
ƒ(0),ƒ',ƒ",ƒ"', …
и из разложения в ряд е х—

Что такое ряд производных, у которых последовательно повышается порядок? Производная есть, как мы видели, закон инобытия той или иной идеальной взаимозависимости. Производная от этой производной, или производная второго порядка, есть переход этого самого закона в инобытие. Производная третьего порядка есть еще новый инобытийный закон этого второго закона. И т. д. Ясно, стало быть, что если производная есть инобытие функции, то ряд производных последовательно повышающегося порядка есть инобытие самого перехода функции в инобытие, инобытие самого становления, инобытийное становление становления функции в инобытии, отрицание отрицания функции в инобытии. Переходя в инобытие и порождая из себя производную, функция отрицает себя. Но, продолжая неизменно дробить этот свой переход в инобытие и тем порождать производные все более и более высокого порядка, функция отрицает свое отрицание, исчерпывает свое отрицание и тем стремится к новому утверждению – к утверждению себя в инобытии не только как становящейся, но и как ставшей.
Однако этого еще недостаточно для того, чтобы действительно совершилось отрицание функции. Дело в том, что производные последовательно повышающегося порядка, взятые сами .по себе, вполне висят в воздухе; они ни к чему не прикреплены; и неизвестно, какие из них брать и как их брать. Тут утверждается только то, что вообще существуют такие производные; но на что они тут употреблены, об этом сама их отвлеченная последовательность ничего не говорит. Надо, стало быть, привязать эти висящие в воздухе ино–бытийные образы к каким–нибудь фактам, чтобы они стали не только теоретической возможностью, но и реально–субстанциальным существованием функции в инобытии, т. е. чтобы действительно получилось разложение функции в ряд. Однако привязать эти отвлеченно данные производные в целях инобытийного осуществления можно только к таким фактам, которые сами даны в становлении. В математике, в теории пределов, рассматривается одно такое тело, которое представляет собой как раз становящуюся единицу. Это именно число с. Ведь это е, которое разлагается:

очевидно, представляет собой единицу, сложенную с отношением ее ко всем возможным другим числам, кроме единицы, причем эти числа уходят в бесконечность. Ясно, что число е есть не что иное, как единица, но такая единица, которая разработана и перекрыта становящимся слоем взаимоотношения ее со всем окружающим числовым инобытием. Но ведь мы должны прикрепить ряд наших производных не просто к единице, но к определенному аргументу разлагаемой функции. Функция, переходя в инобытие, перестраивает существующее в ней отношение к аргументу. И, создавая инобытие своего инобытия, она все равно должна как–то оставаться связанной с судьбой своего аргумента. Поэтому наши производные должны быть осуществлены не просто на становящейся единице, на разложении е в ряд, но на таком е, которое в себе воплощает упомянутый аргумент, которое имеет смысл этого аргумента. Потому производные объединяются с разложением в ряд е х. А это и значит, что мы получаем упомянутые два элемента, из которых диалектически состоит ряд Маклорена.
Если понятна диалектическая структура ряда Маклорена, то, конечно, должен быть понятен и ряд Тейлора (путем простой замены jc на х—я), и ряд Коши (путем замены χ на приращение h). Более подробная диалектика рядов и их классификация, конечно, должны составлять предмет специального исследования. Следует заметить, что понятие ряда существенно связано с теоремой о среднем значении: ряд и есть осуществление этой теоремы. Поэтому рассуждение о рядах должно быть предварено изложением теорем Ролля, Лагранжа и Коши, составляющих, таким образом, тоже центральное содержание этого отдела дифференциального исчисления.
Наконец, третья большая проблема дифференциального исчисления– это т. н. исследование функций. Данный отдел анализа обладает всеми чертами синтетической природы. Если простое дифференцирование функции дает ее производную, а ряды дают становление этой производной в инобытии, то исследование функций возвращается опять к самой функции и рассматривает ее в свете ее инобытийных превращений. В дифференцировании мы переходим от первообразной функции к ее производной, в рядах—от ее производной переходим к дальнейшим производным, поскольку они воплощают первообразную функцию в инобытии. Исследование функции возвращает наши мысли опять к конструированию функции, но не функции самой по себе, а функции постольку, поскольку на ней отражаются ее судьбы, когда она пребывала в инобытии.
Самой типичной проблемой в области этого исследования является проблема minim [um]a и maxim [um ]а функции. Мы интересуемся знать, при каких условиях, в частности при каком значении аргумента, данная функция имеет наибольшее или наименьшее значение. Оказывается, что максимум и минимум функции бывает тогда, когда первая производная ее равняется нулю. Это последнее приравнение производной нулю и дает возможность вычислить искомое значение аргумента. Не нужно только подобное «исследование функций» понимать исключительно геометрически, как это часто делают. «Исследование функций» имеет значение не только для вычерчивания кривых, но и для чисто аналитического рассмотрения значения функции. Это не мешает, конечно, тому, чтобы при вычерчивании кривых по данным аналитическим выражениям с особенной ясностью и выпуклостью выступали все результаты такого «исследования функций». Так, все эти точки максимума и минимума, точки перегиба, т. н. особые точки, симметрия кривой относительно осей координат, исследование на ассимптоты и пр., – все эти моменты прекрасно иллюстрируют «исследование функций», хотя это только иллюстрация и зависит она всецело от аналитических соображений. Во всех этих проблемах вполне ясно положение всей области «исследования функций». Это то, что объединяет и синтезирует пребывание функции как исходной для своих инобытийных судеб с функцией как возвращающейся к себе из этих инобытийных судеб.
2. Интегральное исчисление. Выше мы определили интеграл как предел суммы всех дифференциалов. Другими словами, это ставшая функция, как тоже у нас указывалось. Функция уходит в инобытие, в становление. В этом становлении она исчерпывает себя и тем самым как бы заново определяется, становится и образуется, как свой собственный диалектический дублет. Уже ряды являются таким образованием и самым восстановлением функции в недрах инобытия. Но ряды дают эту функцию со всей ее инобытийной тяжестью, во всей ее субстанциальной положенности. Функция же может вместить в себе все свои инобытийные функции, не просто давая их в расчлененно–внеположном виде, но и в виде сплошной собранности и определенности. Эту роль и играет интеграл.
Поясним примером. Пусть имеется какой–нибудь физический источник света, и пусть лучи этого света распространяются в окружающее его темное пространство. Когда эти лучи освещают окружающее темное пространство, инобытие, то можно брать именно это самое инобытие во всей его вещественности и можно брать только освещающие его лучи. Возьмем вещи, расположенные вокруг свечи, – книги, стулья, столы, диваны и пр. Это будет вещественное инобытие свечи, определенным образом освещенное. И свет, излучаемый свечой, мы можем взять как цельную картину всех вещей, находящихся в комнате вокруг свечи. Это значит, грубо говоря, что функцию, т. е. лучи света, мы разложили в ряд. Тут мы как бы дали синтетическую картину всех действий данных световых лучей на окружающие, инобытийные предметы. Так можно было бы понять феномен разложения функции в ряд. Совсем другое будет в данном случае интеграл.
Уже в понятии «исследования функций» мы гораздо ближе вошли в существо функции, чем это возможно в случае с рядами. В «исследовании функций» мы уже возвращаемся к самой функции из ее инобытийных судеб. И если в понятии ряда возвращение функции к самой себе мыслится лишь в пределах ее инобытийной вещественности, то в «исследовании» оно дано уже как оставление этой инобытийной вещественности и сосредоточение на чисто смысловой инобытийности функции. В интеграле к этой смысловой инобытийности присоединяется функция в своей собственной субстанциальности. Если в рядах дана инобытийная вещественность, окружающая функцию, осмысленная через распластанность и как бы растянутость функции в инобытии, то в «исследовании функций» эта инобытийная вещественность уже отсутствует, а оставлена только инобытийная, но в то же время чисто смысловая растянутость и распластанность функции; эта растянутость и распластанность и является здесь предметом «исследования». Однако в «исследовании» эта чисто инобытийная осмысленность не прикреплена к самой субстанции первообразной функции, она как бы висит в воздухе; «исследуется» картина жизни функции, как результат и отголосок пребывания ее в недрах инобытийной вещественности, но вне рассмотрения судьбы самой–то функции, ее самостоятельной субстанции. Функция, взятая как таковая, как самостоятельная субстанция, и на ее фоне—смысловая картина всех ее инобытийных перевоплощений, эта функция уже не есть просто предмет того, что в анализе называется «исследованием», но это есть интеграл. В «исследовании» мы изучаем не вещи, освещенные свечой, но самый свет, ею излучаемый и получающий те или другие оттенки в зависимости от освещаемых предметов. А интеграл—это есть не только не вещи, освещенные при помощи световых лучей, но даже и не самый свет, излучаемый свечой (хотя и содержащий в себе всю реальную окрашенность вещей); это есть сама свеча, но не просто как таковая, а еще и рассмотренная с точки зрения всех световых оттенков, образующихся в результате освещения ею отражающих вещей, свет ее в своей конкретной выявленности и определенности.
Таким образом, 1) ряды разложения функции, 2) исследование функции, 3) функция как предел суммирования, или как интеграл, – это есть последовательная интенсификация смысловой значимости функции, возвращающейся к самой себе из своего инобытийного самоотчуждения.
Получивши понятие интеграла, мы тем самым получаем первый и основной отдел интегрального исчисления—интегрирование функций. Разделение этого отдела будет, очевидно, повторением общей классификации функций. Это классификация, которую мы провели бы в дифференциальном исчислении, она же останется и здесь, в интегральном исчислении. Поэтому единообразие структуры этих отделов математического анализа вполне обеспечено.
Дальнейшим этапом упомянутой интенсификации является понятие определенного интеграла.
Когда функция дифференцируется, получаемая при этом производная имеет, как мы видели, вполне определенное значение. Когда же мы производим действие интегрирования, идя от производной к первообразной функции, мы отнюдь не получаем окончательно определенной величины. Пусть, напр., дан угловой коэффициент касательной к какой–нибудь кривой и требуется найти уравнение самой кривой, т. е. пусть дана некая производная и требуется найти интеграл. Полученное в результате этого интегрирования уравнение кривой останется тем же самым, на каком бы расстоянии от центра координат мы ее ни проводили. Полученный интеграл говорит только о структуре кривой, но ровно ничего не говорит о ее абсолютном положении на плоскости системы координат. Поэтому, получая такой интеграл, именуют его неопределенным и прибавляют к нему т. н. постоянные интеграции, +с. Так, если упомянутый угловой коэффициент касательной есть 2х, то полученный интеграл имеет вид
у=х 2+ с.
Образующаяся таким образом парабола совпадает своей осью с осью у уно в зависимости от значения с она будет пересекать ось у на том или ином расстоянии от центра. Разумеется, этих расстояний может быть бесконечное количество, и с может принимать любые значения, нисколько не влияя на структуру самой параболы.
Мы можем, однако, задаться целью получить не просто параболу, но и ее абсолютное положение в данной системе координат. Другими словами, мы можем задаться получить интеграл не вообще, но в определенных пределах. Наш аргумент χ принимает в таком случае не всякие значения, какие попало, но значения лишь в данных пределах—скажем, от х—а до х = b. Тогда соответственно получается и два неопределенных интеграла—для х = а и для х – b. Если мы теперь возьмем все то, что произошло между этими пределами, т. е. возьмем разницу между этими интегралами, то уже всякая неопределенность исчезнет, и наш интеграл будет ограничен строго определенными пределами. Это и есть т. н. определенный интеграл, и обозначается он так:

где а есть нижний предел, a b—верхний, и весь интеграл равен
I=ƒ(b) – ƒ(a).
Существует специальная теория определенных интегралов – специальный отдел интегрального исчисления. Тут трактуются вопросы о перестановке пределов, о делении промежутка интегрирования определенного интеграла, об определенном интеграле как функции своих пределов, о бесконечных пределах интеграла и о случаях прерывности подынтегральной функции, об изменении пределов в связи с заменой переменных и пр.
Подобно тому как в дифференциальном исчислении, получивши понятие производной, мы могли распространить это понятие до производных высшего порядка и до частных производных, – мы можем распространить и понятие интеграла. Если возможна производная от производной, полученной тоже как производная, и т. д., т. е. если возможны производные первого, второго, третьего и т. д. порядка, то, очевидно, возможны интегралы не только вообще, но также интегралы двойные и тройные. Равным образом при наличии нескольких независимых переменных возможно и дифференцирование, и интегрирование по какому–нибудь одному переменному (и тогда прочие переменные принимаются за постоянные), т. е. возможны частные производные и частные интегралы.
Кратное и частное интегрирование еще более углубляет и расширяет понятие интеграла.
Этим, однако, далеко не ограничивается область интегрального исчисления. Тут, можно сказать, только начало этой сложнейшей и глубочайшей науки. В поисках дальнейшего углубления и расширения операций под интегралами мы сталкиваемся с рядом дисциплин математического анализа, которые уже требуют для себя ясного и четкого места в общей диалектической системе.
Определенный интеграл есть интеграл, полученный из процесса изменения аргумента χ между данными пределами. Он несет на себе печать ограниченности области изменения аргумента. Можно еще далее усложнять получение интеграла из инобытийных судеб функции. Можно оперировать не только с производными, но и с теми или другими их модификациями в недрах инобытия. Можно идти к интегралу не просто от производной, но от производной в ее той или иной обусловленности и окружающим инобытием. Мы уже видели, что производная может переходить в свою производную, эта последняя—еще в дальнейшую, и т. д. Однако это есть не единственная инобытийная модификация производной. Можно и не переходить в чистое становление, а ограничиться чисто статическим инобытием. Так, если мы имеем х, то такое, напр., выражение, как
, есть некая инобытийная модификация х, нисколько не становящаяся (в диалектическом смысле), а чисто статическая, потому что здесь дан ряд статических изменений, претерпеваемых х–ом. Точно так же и производную можно брать в ее инобытии не обязательно под формой чистого становления, а только лишь под формой статической измененности. И следовательно, может возникнуть задача получения интеграла именно при помощи такой статически–инобытийной обработанной производной.
В данном случае мы имеем дело, несомненно, с инобытием производной и с инобытием в его субстанциальной положенности. И вот спрашивается: как перейти от такой статически–инобытийной положенной производной к соответствующему интегралу? Это и есть предмет 1ч>й науки, входящей в состав математического анализа, которая носит название интегрирования дифференциальных уравнений.
Что такое дифференциальное уравнение и что значит—решить дифференциальное уравнение? Под дифференциальным уравнением понимается такое, которое содержит в себе дифференциалы, или производные, а решить его – значит найти такое соотношение переменных, которое бы ему удовлетворило в смысле тождества. Пусть, напр., имеется уравнение
у n+у=о,
где у nесть производная второго порядка от первообразной функции у. Решить такое уравнение—значит найти выражение для у, которое бы не содержало никаких производных, или дифференциалов, но содержало бы только х. Здесь мы не можем поступить так, как обычно при непосредственном интегрировании функции. Мы находим здесь вторую производную в сложении со значением первообразной функции и должны исходить из суммы этих двух функций. Дана, стало быть, определенная инобытийная переработка производной. Возьмем другое дифференциальное уравнение:
(x+y)dx+xdy=0.
Здесь два дифференциала даны в своеобразном переплетении с аргументом χ и с самой первообразной функцией, т. е. тут тоже определенная инобытийная переработка производной; и нужна специальная манипуляция, чтобы дать такую комбинацию χ и у, в которой бы отсутствовали всякие dx и dy. Приравнение нулю указывает на то, что инобытийная переработка производной (в данном случае – в виде двух дифференциалов) прикреплена здесь к инобытийной субстанциальности своими прочными корнями. Требуется оторваться от этой инобытийной скованности и перейти к первообразной функции, данной как чистый интеграл, несмотря ни на какую связанность производной в этом инобытии. Полученный интеграл, очевидно, будет нести на себе смысловую энергию не просто производной, но и всех ее инобытийных переплетений. Если производную мы вообще понимаем как закон реального инобытия идеальной взаимозависимости, то, очевидно, интегрирование дифференциального уравнения дает интеграл не как просто возвращение от закона реального инобытия идеальной взаимозависимости к самой этой взаимозависимости, но как возвращение к ней от тех или других модификаций и осложнений данного закона реального инобытия, от той или иной его инобытийной переплетенности с другими фактами инобытия.
Таково диалектическое место интегрирования дифференциальных уравнений.
Четкое понимание диалектического места этого вида интегрирования дает возможность найти такое же место и еще для одной дисциплины, входящей в математический анализ, которая в одном отношении даже выходит уже за пределы интегрального исчисления. Прежде чем ее назвать, формулируем еще раз достигнутый нами результат в диалектической интерпретации интегрального исчисления.
Неопределенный интеграл есть возвращение функции к самой себе из недр своего становящегося инобытия, но возвращение пока лишь чисто структурное, пока еще лишенное абсолютно–количественной определенности. Определенный интеграл есть это же возвращение, но уже не просто в смысле структуры, а еще и, кроме того, в смысле количественном; для самопроявлений находимой структуры функции положены четкие количественные пределы. Далее—какая возможна еще дальнейшая интенсификация интегральной определенности, или, другими словами, интенсификация самой интегральности? В определенном интеграле дана определенность границ, очертания. Что может диалектически противостоять этой определенности? Конечно, – определенность того, что содержится внутри границ, внутри очерченных пределов. Это и будет инобытием той определенности, которую содержит в себе определенный интеграл. Такая определенность будет, конечно, зависеть не просто от предельных точек значения аргумента х, но, главным образом, от поведения самой производной, и притом поведения не производной как производной (это имеется в виду уже во всяком неопределенном интеграле), но производной в ее переплетении с другими моментами, дающими ей ту или другую инобытийную определенность и тем самым вносящими эту определенность в недра самого интеграла. Таким образом достигается определенность интеграла внутри его собственных границ; и если определенный интеграл возникает как определенность его количественных границ, то интегрированное дифференциальное уравнение возникает как определенность интеграла внутри тех границ, с появлением которых тоже дается сам определенный интеграл. Ясно, что обе дисциплины интегрального исчисления – теория определенных интегралов и интегрирование дифференциальных уравнений – находятся в четком диалектическом взаимоотрицании.
Возникает вопрос: где же синтез этих двух видов интегральной определенности? Теория определенных интегралов дает определение границ, внешнего очертания, контура интеграла, и притом – в чисто количественном смысле. Интегрирование дифференциальных уравнений дает для интеграла определенность внутреннюю, возникающую как результат инобытийной определенности производной. В первом случае изменяется аргумент в определенных пределах, и за ним пассивно следует функция. Во втором случае не только меняется χ, но самостоятельность проявляет и сама функция, поскольку она берется не только в своей зависимости от аргумента, но и в своей внеаргументной определенности, зафиксированной «в структуре дифференциального уравнения. Значит, должен возникнуть диалектический синтез двух интегральных опре–деленностей, синтез внешнеколичественный (в смысле пределов, границ) и внутреннеструктурный (в смысле определенной заполненности упомянутых пределов). Этот синтез и дан в той науке, которую в общем виде можно назвать функциональным исчислением и которая более известна в своем частном виде под именем вариационного исчисления.
Сущность вариационного исчисления базируется на расширении самого понятия функции. Сейчас мы укажем, почему в этом и надо искать формулированный только что диалектический синтез двух интегральных определенностей.
Обычно в анализе мы имеем аргумент jc и зависящую от него функцию у. Меняется x, меняется и зависящая от него функция. Можно, однако, под аргументом понимать не просто х, а целую функцию и говорить, таким образом, о зависимости функции от функции. В сущности, и здесь нет ничего нового по сравнению с тем же дифференциальным исчислением, где можно найти сколько угодно зависимостей функции и где дается определенное правило дифференцирования таких «сложных» функций. И не в этом специ–фикум функционального и вариационного исчисления. Здесь имеется в виду не просто зависимость функции от функции, т. е. зависимость функции от количественного значения функции, но тут – зависимость функции от изменения вида функции, от последовательной деформации самой структуры функции. Роль аргумента принимает здесь на себя самый вид функции. Изменяется вид, структура функции, и—соответственно—меняется количествен–ное значение функции, а отсюда—соответственно—возникает то или иное значение интеграла.









![Обложка: Честь Воина [CИ]](/files/books/110/no-cover.jpg)