Текст книги "Алекс в стране чисел. Необычайное путешествие в волшебный мир математики"
Автор книги: Алекс Беллос
Жанр:
Научпоп
сообщить о нарушении
Текущая страница: 9 (всего у книги 24 страниц)
Лемэр разработал алгоритмы, которые он не разглашает, для вычисления остальных 14 цифр в окончательном ответе. Приверженцы строгости утверждают – возможно, и несправедливо, – что его талант – это способность не столько к хитрым вычислениям, сколько к запоминанию жутко длинных последовательностей цифр. При этом они указывают, что Лемэр не может найти корень 13-й степени из любого 200-значного числа, которое ему сообщат. В Музее науки ему предложили несколько сот чисел, из которых он выбрал то, для которого и произвел вычисление.
Тем не менее выступления Лемэра в большей степени продолжают традиции старых эстрадных вычислителей. Зрители желают приобщиться к шоу, а не вникать в процесс. Наоборот, на чемпионате мира по устному счету у Кото не было возможности выбрать задачу для решения и он не пользовался никакими таинственными приемами. Он просто использовал таблицу умножения на числа от 1 до 9.
Беседуя с участниками соревнований в Лейпциге, я обнаружил, что многие из них увлеклись устным счетом благодаря Виму Клайну – голландскому эстрадному вычислителю, знаменитому в 1970-х годах. Клайн уже был ветераном цирков и мюзик-холлов, когда в 1958 году ему предложили работу в ведущем европейском физическом институте – Европейском центре ядерных исследований (ЦЕРН) в Женеве. Он должен был выполнять там различные вычисления для физиков. Вероятно, он был последним человеком-вычислителем, получившим работу по своей специальности. По мере развития компьютеров его искусство становилось ненужным, и, выйдя на пенсию, он вернулся в шоубизнес – снимался на телевидении. (Клайн, кстати, на самом деле был первым, кто популяризировал вычисления корней 13-й степени.)
За столетие до Клайна другой эстрадный вычислитель, Йохан Захария Дазе, также поступил на работу в научное учреждение, чтобы вычислять необходимые суммы. Дазе родился в Гамбурге и начал выступать в качестве эстрадного вычислителя еще подростком. Тогда он и попался на глаза двум видным математикам. В те времена, до изобретения электронных или механических калькуляторов, ученые всякий раз, когда им требовалось выполнить сложное умножение или деление, полагались на таблицы логарифмов. У каждого числа есть свой собственный логарифм (я буду говорить об этом подробнее в следующей главе), который можно вычислить, пользуясь трудоемкой процедурой сложения дробей. Дазе вычислил натуральные логарифмы первых 1 005 000 чисел с точностью до 7 десятичных разрядов каждый. Это заняло у него три года, и, по его словам, работа доставила ему удовольствие. Затем, по совету математика Карла Фридриха Гаусса, Дазе приступил к более масштабному предприятию: составлению таблиц множителей, на которые разлагаются все числа, лежащие между 7 000 000 и 10 000 000. Это означало, что он брал каждое из чисел в указанном диапазоне и вычислял его делители – то есть находил целые числа, на которые данное число делится. Например, у числа 7 877 433 только два делителя: 3 и 2 625 811. К моменту своей смерти в возрасте 37 лет Дазе реализовал значительную часть этой программы.
Однако гораздо чаще Дазе вспоминают совсем за другое вычисление. Еще подростком он вычислил число πс точностью в 200 разрядов, что для того времени было рекордом.
* * *
В окружающем нас мире окружности и круги присутствуют повсюду – и в видимой форме Луны, и в глазах людей и животных, и в срезе яйца, которое вы едите на завтрак. Привяжите собаку к шесту, воткнутому в землю, и путь, по которому она будет бегать вокруг шеста, охраняя территорию на натянутом поводке, будет окружностью. Окружность – это простейшая геометрическая форма. И древнему египтянину, прикидывающему, сколько зерна потребуется, чтобы засеять круглое поле, и римскому мастеровому, отмеряющему, сколько дерева пойдет на колесо, требовались вычисления, связанные с окружностями.
Уже в античные времена люди понимали, что отношение длины окружности к ее диаметру всегда одно и то же, независимо от величины окружности. Это отношение известно как число π, его величина – чуть больше трех. Так что если вы возьмете диаметр окружности и, слегка изогнув, приложите его к самой окружности, то окажется, что он укладывается в ней три с небольшим раза.

Хотя число πи представляет собой простое отношение, если выражать его через свойства окружности, задача нахождения его точного значения оказалась вовсе не простой. Эта неуловимость числа πтысячи лет завораживала математиков. И чего тут удивляться! π– единственное число, одновременно являющееся названием и песни (Кейт Буш) [26]26
Буш Кейт(Kate Bush) – английская исполнительница, работающая на стыке поп-музыки и прогрессивного рока; песня «Pi» вошла в альбом «Aerial» (2005). В словах этой песни имеются такие строки:
…………………………………In a circle of infinity3,141592653589793238462643383279Oh he love, he love, he love5028841971693993751058231974944592307816406286208821480865132.…………………………………He does love his numbers…………………………………8230664709384460955058223 ( Примеч. nepeв.)
[Закрыть], и парфюма (мужской туалетной воды от «Givenchy»). Кстати, из отдела «Givenchy» по связям с общественностью мне прислали следующий текст:
π – Пи
ЗА ПРЕДЕЛАМИ БЕСКОНЕЧНОСТИ
Прошло четыре тысячи лет, а эта тайна
все еще остается тайной.
И хотя каждый школьник изучает π,
этот знакомый символ
по-прежнему скрывает в себе бездны
величайшей сложности.
Почему мы выбрали π как вечный символ
мужского начала?
Все дело в знаках и указателях.
Если π – это история
долгой борьбы за достижение недостижимого,
то это и портрет
легендарного покорителя неизведанного,
идущего вперед в поисках Знания.
Пи говорит нам о мужчинах, обо всех мужчинах,
об их научном гении,
об их тяге к приключению, об их готовности
к действию
и об их стремлении к недостижимому.
* * *
Самые ранние приближения числа πдошли до нас от древних вавилонян, использовавших значение 3 1/ 8, и от египтян, которые пользовались значением 4( 8/ 9) 2, что в десятичных дробях выражается, соответственно, как 3,125 и 3,160.
Позднее, в Древней Греции, первым в череде гениев с необычайной страстью к числу πбыл Архимед – мыслитель, предпочитавший иметь дело с миром реальности, в отличие от Евклида, существовавшего в мире абстракций. Среди многочисленных изобретений Архимеда были гигантская катапульта и система зеркал, с помощью которых он сфокусировал солнечные лучи так, что поджег римские корабли во время осады Сиракуз. А кроме того, он оказался первым, кто предложил метод вычисления числа π.
Итак, Архимед нарисовал окружность, а затем построил два шестиугольника: один – вписанный в окружность, а другой – описанный вокруг нее, как указано на рисунке.
Одно это уже говорит нам, что значение числа πдолжно лежать где-то между 3 и 3,46 – это можно определить, вычисляя периметры двух шестиугольников. Если принять диаметр окружности равным 1, то периметр внутреннего шестиугольника равен 3, что меньше, чем длина окружности, равная π, что в свою очередь меньше, чем периметр внешнего шестиугольника, равный 3√2, то есть с точностью до двух десятичных разрядов – 3,46. (Архимед находил периметр внешнего шестиугольника, используя метод, который по сути был довольно канительным предшественником тригонометрии и который слишком сложен для того, чтобы здесь его приводить.) Итак,
3 < π< 3,46.
Если теперь повторить вычисление, используя два правильных многоугольника с более чем шестью сторонами, то для πполучится более узкий интервал. Дело в том, что чем больше у многоугольника сторон, тем ближе его периметр к длине окружности, в чем можно убедиться, глядя на приведенный выше рисунок с двенадцатиугольником. Многоугольники ведут себя подобно стенам, смыкающимися вокруг π, зажимая его снаружи и изнутри, между все более узких пределов. Архимед начал с шестиугольников, а в конце довел дело до многоугольников с 96 сторонами, что позволило ему вычислить πследующим образом:
3 10/ 71< π< 3 1/ 7.
Это дает 3,14084 < π< 3,14289 – точность в два десятичных разряда.

Шестиугольники Двенадцатиугольники
Однако охотники за числом πне собирались на этом останавливаться. Все, что требовалось, дабы подобраться поближе к истинному значению этого числа, – это строить многоугольники со все большим числом сторон. Лю Хуэй, живший в Китае в III веке, применил сходный метод, используя площадь многоугольника с 3072 сторонами, и получил пять десятичных разрядов числа π: 3,14159. Два столетия спустя Цзу Чунчжи и его сын Цзу Гэнчжи продвинулись дальше еще на одну цифру, до 3,141592, что потребовало многоугольника с 12 288 сторонами.
Грекам и китайцам мешали неуклюжие обозначения. Когда в конце концов математики стали применять арабские числительные с десятичной запятой, прежние рекорды тут же пали. В 1596 году голландский учитель фехтования Лудольф ван Цейлен, используя метод удвоения, дошел до многоугольника с 60 × 2 29сторонами и нашел значение πс точностью до 20 десятичных знаков. Опус, в котором он напечатал свой результат, заканчивался так: «У кого есть охота, пусть подойдет ближе». Он продолжал вычислять и получил число πс точностью до 32 и затем 35 десятичных знаков, каковые и были высечены на его надгробии. В Германии die Ludolphsche Zahl – число Лудольфа, или лудольфово число, – до сих пор допустимо в качестве названия числа π.
* * *
В течение двух тысяч лет единственный способ определить значение числа πсостоял в использовании многоугольников.
Но в XVII веке Готфрид Лейбниц и Джон Грегори открыли новую страницу в истории числа π,предложив формулу

Другими словами, четвертая часть πравна единице минус одна треть плюс одна пятая минус одна седьмая плюс одна девятая и т. д.: надо попеременно прибавлять и вычитать дроби с единичным числителем и со знаменателем, последовательно равным нечетным числам, устремляющимся в бесконечность. До этого ученые видели в десятичном разложении числа πлишь случайный набор цифр. И вдруг появилось одно из наиболее изящных, ничем не усложненных уравнений во всей математике. Оказалось, что образцовый представитель беспорядка несет некий порядок в своей ДНК.
Лейбниц пришел к этой формуле, используя «анализ» – мощный раздел математики, в котором для вычисления площадей, кривых и наклонов стали применяться новые представления о бесконечно малых величинах. Формула Лейбница представляет собой так называемый бесконечный ряд – сумму, которая продолжается и продолжается без конца. И эта формула дает способ вычислить число π. Для начала нам надо умножить обе ее части на 4:

Начав с первого члена и прибавляя один за другим остальные, получаем следующую последовательность (записанную в виде десятичных дробей):
4 → 2,667 → 3,467→ 2,895 → 3,340 → …
Сумма подходит к числу πвсе ближе и ближе, а результат скачет все меньше и меньше. Тем не менее этот метод требует более 300 членов, чтобы ответ имел точность в два десятичных знака, так что он практически непригоден для тех, кто желает найти большее число цифр в десятичном разложении числа π.
В конце концов с помощью анализа удалось получить другие бесконечные ряды для π,менее симпатичные на вид, но более эффективные для действий с числами. В 1705 году астроном Абрахам Шарп применил такой ряд для вычисления πс точностью до 72 десятичных знаков, сокрушив продержавшийся столетие рекорд ван Цейлена, составлявший 35 знаков. Да, это было достойным достижением, но в нем было мало пользы. Решительно нет никаких практических причин для того, чтобы знать число πс точностью до 72 знаков, да, впрочем, и до 35 тоже. Инженерам, имеющим дело с прецизионными инструментами, вполне хватает четырех десятичных знаков, а чтобы вычислить длину окружности Земли с точностью до долей сантиметра, достаточно десяти знаков. Если взять 39 десятичных разрядов, то окажется возможным посчитать длину окружности, охватывающей всю известную нам Вселенную, с точностью порядка радиуса атома водорода. Дело, однако, было вовсе не в практической целесообразности – отнюдь не практические соображения двигали учеными эпохи Просвещения, одержимыми вычислением числа π.Цель охоты за цифрами заключалась в самой охоте, это было романтическое приключение. Через год после предпринятых Шарпом усилий Джон Мэчин добился точности в 100 знаков, а в 1717 году француз Тома де Ланьи прибавил к ним еще 27. К началу следующего столетия вперед вырвался Юрий Вега из Словении со своими 140 знаками.
В 1844 году, с головой погрузившись в работу на два месяца, немецкий молниеносный эстрадный вычислитель Захария Дазе отодвинул рекорд вычисления числа πдо отметки 200 десятичных знаков. Дазе использовал ряд, который хотя на вид и сложнее, чем приведенная выше формула для π, но на самом деле гораздо удобнее в употреблении. Во-первых, потому что он сходится к πс неплохой скоростью. Точность в два десятичных знака достигается уже после первых девяти членов. Во-вторых, с дробями 1/ 2, 1/ 5и 1/ 8, которые все время появляются в каждом третьем члене, удобно иметь дело. Если записать 1/ 5как 1/ 10, a 1/ 8– как 1/ 2× 1/ 2× 1/ 2, то все необходимые действия с этими членами можно свести к комбинациям удвоения и взятия половины. Дазе выписал справочную таблицу, к которой обращался в ходе вычислений, начиная с 2, 4, 8, 16, 32 и далее по мере надобности. Поскольку он выполнял вычисления числа πс точностью до 200 знаков, полученное в самом конце удвоение будет иметь 200 цифр в длину. Это происходит после 667 последовательных удвоений.
Дазе использовал такое разложение:
Отсюда π =4(0,825 – 0,0449842 + 0,00632 – …).
Учет одного члена дает 3,3,
учет двух членов – 3,1200
и учет трех – 3,1452.
Дазе недолго почивал на лаврах, поскольку на его рекорд очень скоро нацелились британцы, и по прошествии десяти лет Уильям Резерфорд вычислил πс точностью в 440 знаков. Он побуждал своего протеже Уильяма Шэнкса – математика-любителя, который держал школу с пансионом в графстве Дарэм, – не останавливаться на достигнутом. В 1853 году Шэнкс достиг 607 знаков, а в 1874-м – 707. Его рекорд продержался семьдесят лет, пока Д. Ф. Фергюсон из Королевского морского колледжа в Честере не нашел ошибку в вычислениях Шэнкса. Шэнкс сделал ошибку в 527-м знаке, а потому и все последующие тоже были неправильными. Фергюсон провел последний год Второй мировой войны, вычисляя число πвручную, и к маю 1945 года достиг 530 знаков. К июлю 1946-го он дошел до 620, и более никто никогда не вычислял πс помощью лишь ручки и листа бумаги.
Фергюсон был последним, кто охотился за цифрами вручную, и первым, кто стал делать это, используя технику. Благодаря настольному калькулятору он прибавил почти 200 новых разрядов всего за год, так что в сентябре 1947 года πбыло известно с точностью до 808 десятичных знаков. А затем компьютеры изменили правила игры. Первым компьютером, сразившимся с π, был Электронный числовой интегратор и вычислитель ENIAC, построенный в последние годы Второй мировой войны по заказу армии США в Лаборатории баллистики в Мэриленде. Размером он был с небольшой дом. В сентябре 1949 года ENIAC за 70 часов работы вычислил πс точностью в 2037 знаков, побив предыдущий рекорд более чем на тысячу десятичных разрядов.
* * *
По мере появления новых знаков в числе πстановилось все более ясно, что найденные числа не подчиняются никакому очевидному порядку. Однако только в 1767 году математики смогли доказать, что сумбурная последовательность цифр числа πникогда не повторяется. Это открытие вытекало из рассмотрения вопроса о том, числом какого типаможет быть π.
Числа самого простого типа – натуральные.Это числа для счета, начинающиеся с единицы:
1, 2, 3, 4, 5, 6 …
Натуральные числа, однако, имеют некоторое ограничение, поскольку идут только в одном направлении. Более полезны целые числа, которые состоят из натуральных, нуля и отрицательных натуральных чисел:
… -4, -3, -2, -1, 0, 1, 2, 3, 4 …
Любое положительное или отрицательное целое число от минус бесконечности до плюс бесконечности входит в целые числа. Если бы нашлась гостиница с неограниченным числом этажей, а также с неограниченным числом все более глубоких подземных уровней, то кнопками в лифте там были бы все целые числа.
Числа другого основного типа – это дроби, которые представляют собой числа, записанные в виде a/ b, где аи b– целые, причем bне равно 0. Поскольку дроби эквивалентны отношениям между целыми числами, они также называются рациональными числами [27]27
«Рациональный» от слова ratio – отношение. ( Примеч. перев.)
[Закрыть], и их бесконечно много. На самом деле имеется бесконечно много рациональных чисел уже между 0 и 1. Давайте, например, возьмем дробь, числитель которой равен 1, а знаменатель – натуральное число, больше или равное 2. Это дает множество, составленное из

Можно пойти дальше и доказать, что имеется бесконечно много рациональных чисел между любыми двумя рациональными числами. Пусть си d —любые два рациональных числа, причем сменьше d.Точка на полпути между си dпредставляет собой рациональное число – оно равно (c + d)/2. Назовем эту точку e.Теперь можно найти точку на полпути между cи e. Это ( c+ e)/2 – рациональное число, которое также лежит между си d.Будем продолжать так до бесконечности, каждый раз разбивая расстояние между си dна все меньшие и меньшие части. Не важно, сколь малым было расстояние между си dв самый первый раз – между ними всегда найдется бесконечно много рациональных чисел.
Поскольку между любыми двумя рациональными числами всегда можно найти бесконечно много рациональных чисел, можно было бы подумать, что каждое число – рациональное. Без сомнения, именно на это одно время и надеялся Пифагор. Его метафизика основывалась на вере в то, что мир состоит из чисел и гармонических пропорций между ними. Существование числа, которое нельзя описать как отношение, по крайней мере сильно ослабляло его позиции, если не прямо им противоречило. Но, к несчастью для Пифагора, имеются числа, которые нельзя выразить в виде дроби, и к его немалому конфузу, одно из них дает его собственная теорема. Если взять квадрат со стороной, равной единице, то длина его диагонали равна квадратному корню из двух, а это число нельзя записать в виде дроби. (Доказательство – в приложении 2 на веб-сайте, посвященном этой книге.)
Числа, которые нельзя записать в виде дроби, называются иррациональными. Согласно легенде, их существование впервые доказал ученик Пифагора Гиппас, что, однако, не подарило ему симпатии Пифагорейского братства: его объявили отступником и утопили в море.
Когда рациональное число записано в виде десятичной дроби, оно всегда или содержит конечный набор цифр, как, например, 1/ 2, которая записывается в виде 0,5, или же разложение рано или поздно начинает повторяться, как, например, для числа 1/ 3, которое записывается в виде 0,3333…, где тройки продолжаются без конца. Иногда число «зацикливается» через более чем одну цифру – так обстоит дело с дробью 1/ 19, которая записывается как 0,0526315789473684210…, где 18-значный период 526315789473684210 повторяется до бесконечности. Наоборот – и в этом-то все дело! – когда число иррационально, его десятичное разложение никогда не будет повторять само себя.
В 1767 году швейцарский математик Иоганн Генрих Ламберт доказал, что π– именно такое иррациональное число. Его первоисследователи еще могли надеяться, что вслед за начальным хаосом в 3,14159… сумбур уляжется и наконец-то появится закономерность. Однако открытие Ламберта подтвердило, что это невозможно. Десятичное разложение числа πстремится в бесконечность некоторым предопределенным, но с виду совершенно беспорядочным образом.
* * *
Математики, занимавшиеся иррациональностями, страстно желали навести в них какой-то порядок. В XVIII столетии ученые начали размышлять об иррациональностях специального типа, получивших название трансцендентных чисел.То были числа столь таинственные и неуловимые, что получить их в конечной математике было нельзя. Квадратный корень из двух, например, – иррациональное число, но его можно описать как решение уравнения x 2= 2. Трансцендентное же число – это такое иррациональное, которое нельзя описать никаким уравнением с конечным числом членов. Когда концепция трансцендентных чисел впервые стала обсуждаться, никто не знал даже, существуют ли они вообще.
Оказалось, они действительно существуют, но прошло около ста лет до тех пор, пока были найдены первые их примеры – это сделал французский математик Жозеф Лиувилль. Числа πсреди них не было. Только еще спустя 40 лет Фердинанд фон Линдеманн смог доказать, что число πи в самом деле трансцендентно, то есть существует за пределами царства конечной алгебры.
Открытие Линдеманна было ключевым моментом в теории чисел. Оно также раз и навсегда решило проблему, являвшуюся, пожалуй, самой знаменитой нерешенной задачей в математике: можно ли квадрировать круг или этого сделать нельзя. Но чтобы объяснить, как это следовало из результата Линдеманна, надо ввести уравнение, которое гласит, что площадь круга есть πr 2,где r —радиус. Наглядное доказательство, почему это так, представляет собой тот случай, когда лучшей метафорой для числа πявляется пирог. Представьте себе, что у вас два круглых пирога одного и того же размера, белый и серый, как на рисунке А. Длина окружности каждого пирога – произведение πи диаметра, то есть π,умноженное на удвоенный радиус, или 2 πr.После разрезания на равные сегменты куски можно сложить по-другому, как показано на рисунке В (там взяты четвертинки пирогов) или С (где пироги порезаны на десять кусков каждый). В обоих случаях длина стороны остается равной 2 πr.Если делать куски все меньше и меньше, то получившаяся фигура в конце концов станет прямоугольником, как показано на рисунке D, причем стороны прямоугольника будут равны rи 2 πr. Площадь прямоугольника – а она равна площади двух пирогов – поэтому равна 2 πr 2,так что площадь одного пирога равна πr 2.

Как показать, что площадь круга равна πr 2
Чтобы квадрировать круг, нам надо, используя только циркуль и линейку, построить квадрат, который имеет в точности ту же площадь, что и круг, ограниченный заданной окружностью. Мы теперь знаем, что линия длиной r– это радиус окружности, площадь круга внутри которой равна πr 2,а также что у квадрата с площадью πr 2сторона должна иметь длину r√π(поскольку ( r√π) 2= r 2(√π) 2= r 2π = πr 2). Так что превращение окружности в квадрат можно свести к задаче построения длины rпо заданной длине r. Или, если для удобства взять r равным 1, то к построению отрезка длины, если дан отрезок длины 1.
Используя координатную геометрию, о которой мы будем говорить в следующей главе, можно выразить процесс построения линии алгебраически, в виде конечного уравнения. Можно показать, что коль скоро xесть решение конечного уравнения, то начиная с отрезка длины 1 можно построить отрезок длины x.Но если xне есть решение какого-либо конечного уравнения – другими словами, если xтрансцендентно, – то построить отрезок длины xневозможно. Ну, а тот факт, что πтрансцендентно, означает, что квадратный корень из πтакже трансцендентен (тут вам предстоит поверить мне на слово), и отрезок такой длины построить невозможно. Трансцендентность числа πдоказывает, что круг нельзя квадрировать.
Данное Линдеманном доказательство трансцендентности числа πперечеркнуло мечту бессчетного числа математиков. И тем не менее в 1897 году Законодательным собранием штата Индиана был выпущен знаменитый билль, содержавший доказательство квадратуры круга неким Е. Дж. Гудвином, местным сельским врачом, который преподнес свое доказательство в качестве «дара штату Индиана». Разумеется, этот сельский энтузиаст заблуждался. После доказательства Фердинанда фон Линдеманна, представленного им в 1882 году, математики, говоря о ком-то, что «он занимается квадратурой круга», имеют в виду, что он занимается чушью, в общем, чудак.
* * *
В течение двух столетий – XVIII и XIX – выяснилось, что загадочные свойства числа πпроявляются не только в самой сердцевине античных геометрических задач, но и глубоко укоренены в новых областях знания, не демонстрирующих никакой очевидной связи с окружностями. «Это таинственное 3,141592…, что появляется из каждой двери и из каждого окна и вылезает из каждой каминной трубы», – писал британский математик Огастес Де Морган. Например, время качания маятника зависит от π.Смертность населения в данном регионе есть функция числа π.Если бросать монету 2 nраз, то при очень большом nвероятность получить в точности 50 процентов орлов и 50 процентов решеток есть 1/√ nπ.
Вездесущность числа π,однако, сделала его чем-то большим, чем просто знаменитостью в мире чисел. Оно стало в общем смысле культурной иконой. Поскольку цифры, входящие в число π,никогда не повторяются, оно идеально подходит для тех, кто хочет проявить себя на поприще мастеров запоминания. Если запоминание чисел – ваше призвание, то можете считать, что цифры числа π —предел совершенства. Их запоминание стало увлечением по крайней мере с 1838 года, когда журнал «The Scotsman» сообщил, что 12-летний голландский мальчик продекламировал все 155 цифр π,известных на тот момент, перед аудиторией из ученых и особ королевской крови. Сегодня мировой рекорд принадлежит Акире Харагучи – 60-летнему инженеру на пенсии. Имеется запись его публичного выступления в 2006 году в окрестностях Токио, во время которого он продекламировал 100 000 десятичных знаков числа π.Выступление заняло у него 16 часов и 28 минут, включая пятиминутные перерывы каждые два часа, в которые он съедал несколько рисовых шариков. Он объяснил журналистам, что число πсимволизирует жизнь, поскольку его цифры никогда не повторяются и не следуют никакому порядку. Запоминание цифр числа π,добавил он, – это «религия Вселенной».
Простое заучивание числа πна память может быстро наскучить, но вот заучивание πна память и одновременное жонглирование – уже состязание! Рекорд здесь удерживает швед Матс Бергстен, которому без малого 60 лет и который сумел продекламировать 9778 цифр, жонглируя при этом тремя мячами. Он, правда, сказал мне, что более всего гордится своими успехами в тестировании памяти «Эверест», когда первые 10 000 цифр из разложения числа πразбиваются на 2000 групп по пять начиная с 14 159. Участникам состязания случайным образом зачитываются вслух 50 групп, и они должны сказать по памяти, какие пять чисел идут до и какие пять после прочитанных. Матс Бергстен – один из всего лишь четырех людей в мире, кто может сделать это без ошибок, и показанное им время – 17 минут и 39 секунд – самое быстрое. «Запомнить 10 000 цифр не одно за другим, а в случайном порядке – это куда большая нагрузка для ума», – сказал он мне.
Когда Акира Харагучи декламировал наизусть 100 000 цифр числа π,он использовал мнемонический прием, по которому каждому числу от 0 до 9 приписываются слоги, так что десятичная запись превращается в слова, в свою очередь образующие предложения. Первые пятнадцать цифр звучали так: «жена и дети уехали за границу, а муж не боится». В разных культурах по всему миру школьники используют слова, чтобы запомнить цифры числа π,но, как правило, это делается не с помощью перехода к слогам, а путем придумывания фразы, в которой число букв в каждом слове представляет последовательные цифры в десятичном разложении π.Подобная хорошо известная английская фраза приписывается астрофизику сэру Джеймсу Джинсу: «How I need a drink, alcoholic in nature, after the heavy lectures involving quantum mechanics. All of thy geometry, Herr Planck, is fairly hard». «How» состоит из трех букв, «I» – из одной, «need» – из четырех и т. д. [28]28
Приведем буквальный перевод ввиду того, что фраза относительно осмысленна и касается чтения лекций студентам-физикам: «Как же я хочу выпить чего-нибудь алкогольного после тяжелой лекции, посвященной квантовой механике. Вся твоя геометрия, герр Планк, весьма сложна». Известна и русская фраза, выполняющая аналогичную функцию, хотя и для меньшего числа цифр: «Кто и шутя, и скоро пожелает пи узнать, число уж знает».
[Закрыть].
Среди чисел только πпородило фанов подобного рода. Никто не стремится запомнить квадратный корень из двух, что является в равной степени сложным. πостается также единственным числом, которое вдохновило создание своего собственного поджанра в литературе. Принудительный стиль – это техника, в которой принимается условие, предписывающее литературному произведению следовать определенной схеме или же, наоборот, запрещающее определенные вещи при написании текста. Были написаны целые поэмы – или «пиэмы», – где количество букв в словах определяется цифрами числа π,причем принято, что если в разложении встречается нуль, то это требует слова из десяти букв. Самая впечатляющая пиэма – это «Cadaeic Cadenza», которую написал Майк Кит, и она не отстает от числа πна протяжении 3835 цифр. Начинается она как стилизация под Эдгара Аллана По [29]29
Имеется в виду стихотворение «Ворон» (1845).
[Закрыть]:
One; А роет
A Raven
Midnights so dreary, tired and weary,
Silently pondering volumes extolling all by now obsolete lore.
During my rather long nap – the weirdest tap!
An ominous vibrating sound disturbing
my chamber’s antedoor.
«This», I whispered quietly, «I ignore».
Кит говорит, что написание длинного произведения при наличии сложных условий тренирует как дисциплину, так и творческие возможности. Поскольку цифры в πслучайны, условие, как он выразился, «подобно созданию порядка из хаоса». Когда я спросил его: «Почему пи?» – он ответил, что число πбыло «метафорой для всех вещей бесконечных, или неисповедимых, или непредсказуемых, или полных нескончаемого чуда».
* * *
Число πобрело свое имя только начиная с 1706 года, когда валлиец Уильям Джонс ввел символ πв своей книге, озаглавленной так: «Новое введение в математику для использования некоторыми из друзей, у которых нет ни досуга, ни возможностей, ни, быть может, терпения, дабы вникать в труды столь большого числа различных авторов и переворачивать страницы столь многих нудных томов, что непременно требуется для достижения приемлемого прогресса в математике». Греческая буква, которая скорее всего явилась сокращением слова «периферия» [30]30
περιφέρεια. ( Примеч. перев.)
[Закрыть], прижилась, однако, не мгновенно, и стала стандартным обозначением для числа πлишь спустя 30 лет, когда ее начал использовать Леонард Эйлер.
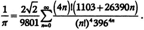
Эйлер был наиболее плодовитым математиком всех времен и народов (он опубликовал 886 книг!), и он же, возможно, внес наибольший вклад в понимание числа π.Именно его улучшенные формулы для πпозволили охотникам за цифрами в XVIII и XIX столетиях докапываться до все более и более далеких десятичных разрядов. В начале XX века индийский математик Сриниваса Рамануджан изобрел много новых бесконечных рядов для числа πв духе рядов Эйлера.
Рамануджан был по сути математиком-самоучкой. Однажды он написал письмо профессору Кембриджского университета Г. X. Харди. Харди, ошеломленный тем, что Рамануджан сам переоткрыл результаты, получение которых заняло столетия, пригласил его в Англию, где они и работали вместе вплоть до смерти Рамануджана, в возрасте 32 лет. В своих работах Рамануджан продемонстрировал потрясающую интуицию в том, что касается свойств чисел, включая и число π,а его самая знаменитая формула такова:

Символ суммы указывает, что надо складывать целый ряд значений, начиная со значения при nравном нулю, далее прибавить значение при nравном единице, и т. д. до бесконечности. Но, даже не вникая в подробности обозначений, можно оценить, сколь эффектно работает подобное равенство. Формула Рамануджана стремится к πс замечательной скоростью. С самого начала, при nравном 0, формула дает значение числа πс точностью до шести десятичных разрядов. При каждом увеличении значения nформула добавляет к πпримерно восемь новых цифр. Это поистине установка для производства числа πв промышленном масштабе.










