Текст книги "Алекс в стране чисел. Необычайное путешествие в волшебный мир математики"
Автор книги: Алекс Беллос
Жанр:
Научпоп
сообщить о нарушении
Текущая страница: 10 (всего у книги 24 страниц)
В духе Рамануджана в 1980-х годах математики Грегори (Григорий) и Дэвид (Давид) Чудновски (урожденные украинцы) сконструировали даже еще более зверскую формулу. Каждый новый член в ней прибавляет примерно 15 цифр:

При своем первом знакомстве с формулой Чудновски я в буквальном смысле стоял на ней. Грегори и Дэвид – братья, и у них общий кабинет в Политехническом университете в Бруклине. В кабинете диван в углу, пара стульев и голубой пол, декорированный десятками формул для числа π.«Мы хотели чем-то украсить пол, а чем еще его можно украсить, как не какой-нибудь штуковиной, имеющей отношение к математике?» – объяснил Грегори.
На самом деле к украшению пола формулами для числа πони пришли со второй попытки. Исходный план состоял в том, чтобы использовать гигантскую репродукцию гравюры «Меланхолия» Альбрехта Дюрера. Математики обожают ее, поскольку она полна лукавых символов со ссылками на числа, геометрию и перспективу.
– Как-то ночью, когда на полу еще ничего не было, мы напечатали «Меланхолию» на двух тысячах листочков и разложили их на полу, – рассказывает Дэвид. – Но попробуй по этому походить – тебя сразу начнет мутить! Дело в том, что угол зрения изменяется слишком резко.
Тогда Дэвид принялся изучать, как устроены полы в соборах и замках Европы; ему хотелось, чтобы пол в офисе был красивым, но не вызывал приступов тошноты у тех, кто по нему ходит.
– И я обнаружил, что все полы по большей части оформлены…
– В простом геометрическом стиле, – перебивает его Грегори.
– Черное и белое, черные и белые квадраты, – продолжает Дэвид.
– Понимаешь, если у тебя на полу действительно сложная картинка, и ты пытаешься по ней ходить, то угол зрения меняется настолько резко, что глаза начинают протестовать, – добавляет Грегори. – Так что единственным способом сделать что-то подобное оказалось…
– Поместить ее на потолок! – восклицает мне в ухо Дэвид, и оба покатываются со смеху.
Когда разговариваешь с братьями Чудновски, кажется, что на тебе стереонаушники, через которые сигналы поступают в разные уши беспорядочно и с перебоями. Они усадили меня на диван, а сами расположились по обеим сторонам. Постоянно перебивая друг друга, подхватывая сказанные другим предложения, они изъяснялись при этом на очень мелодичном английском с большим количеством славянских интонаций. Оба брата родились в Киеве, когда он еще входил в Советскую Украину; в Соединенных Штатах они живут с конца 1970-х годов, братья – граждане этой страны. Вместе они написали так много статей и книг, что хотели бы, чтобы их воспринимали не как двух математиков, а как одного.
И тем не менее, несмотря на все свое генетическое, разговорное и профессиональное единство, братья выглядят очень по-разному. Главная причина этого в том, что Грегори, которому сейчас 56, страдает тяжелой формой миастении, – аутоиммунного заболевания мускулатуры. Он настолько худой и хрупкий, что большую часть своей жизни проводит лежа. Я ни разу не видел, чтобы он вставал с дивана. Однако энергия, которой недостает его телу, в полной мере проявляет себя в неподражаемых выражениях его лица, которое оживает всякий раз, как он заводит речь о математике. У него заостренные черты лица, большие карие глаза, седая борода и клочковатые нечесаные волосы. У Дэвида, который на пять лет его старше, голубые глаза, полноватая фигура и более круглое лицо. Он гладко выбрит, а на его коротко стриженных волосах красуется бейсбольная кепка оливково-зеленого цвета.
Судя по всему, братья Чудновски сделали для популяризации числа πбольше всех других современных математиков. В начале 1990-х годов в квартире Грегори на Манхэттене они собрали суперкомпьютер из заказанных по почте деталей, и этот компьютер, используя их собственную формулу, вычислил число πдо более чем двух миллиардов десятичных разрядов, что стало рекордом для того времени.
Их потрясающему достижению была посвящена статья в «New Yorker», которая даже привела к появлению в 1998 году фильма «Пи». Главный герой картины – математический гений с непокорными волосами, изучающий скрытые закономерности в данных с фондового рынка на собранном у себя дома суперкомпьютере. Мне было любопытно узнать, смотрели ли братья Чудновски этот фильм, собравший немало положительных откликов и ставший образцом для низкобюджетных черно-белых психо-математических триллеров.
– Нет, нет, не видели, – сказал Грегори.
– Насколько я понимаю, те, кто снимает фильмы, как правило, выражают свое собственное внутреннее состояние, – саркастически заметил Дэвид.
Я заметил, что, возможно, им могло польстить оказанное им внимание.
– Вовсе нет, – ухмыльнулся Грегори.
– Вот что я вам скажу, – встрял Дэвид. – Два года назад я вернулся из Франции. За пару дней до моего отъезда я оказался на огромной книжной ярмарке. Я остановился у стенда, на котором была выставлена книга с детективным сюжетом. Написал ее некий инженер. Это была, знаете ли, история про загадочное убийство. Всех убили, начиная с хозяйки гостиницы, и знаете, кто был источником всех этих ужасов – число пи!
Грегори улыбнулся до ушей и пробурчал себе под нос:
– Да уж, я ни за что не буду читать такую книгу, это наверрррняка!
Но Дэвид не останавливался:
– Так вот, я поговорил с этим парнем, автором. Он оказался довольно образованным человеком. – Он остановился, пожал плечами и повысил тон на целую октаву: – Но я же говорил, что не несу за это никакой ответственности!
Дэвид сказал, что сначала несколько обалдел, когда впервые увидел афиши с рекламой той туалетной воды от Givenchy.
– Во всю улицу, от одной стороны до другой, там было это пи, пи, пи. – Он перешел на вопль: – Пи, пи, пи! Несу ли я какую-нибудь ответственность?
Бросив взгляд на меня, Грегори сказал:
– По некоторым причинам широкая публика тащится от этого дела. Правда, они получают в некотором роде неправильное представление. Кстати, немало профессиональных математиков изучают число пи. – И добавил сухо: – Но, как правило, этих людей и знать-то никто не знает!
* * *
Успехи в компьютерных технологиях в 1950-е и 1960-е годы нашли свое отражение в появлении новых десятичных знаков в числе π.К концу 1970-х годов рекорд был побит девять раз и значительно превысил миллион десятичных разрядов. В 1980-х годах, однако, комбинация еще более быстрых компьютеров и совершенно новых алгоритмов открыла новую эру неистовой охоты за цифрами. Ясумаса Канада, молодой специалист по прикладной математике из Токийского университета, первым вырвался вперед в состязании между Японией и Соединенными Штатами, превратившемся в настоящую гонку. В 1981 году с помощью компьютера NEC за 137 часов он вычислил число πс точностью в два миллиона знаков. Через три года он достиг 16 миллионов.
Затем в лидеры пробился Уильям Госпер, математик из Калифорнии, предложив 17,5 миллиона знаков, а потом Дэвид X. Бейли из NASA обошел его, дойдя до 29 миллионов. В 1986 году Ясумаса Канада обогнал их обоих, получив 33 миллиона знаков, а за последующие два года три раза побил свой собственный рекорд, достигнув 201 миллиона на новом компьютере S-820, вычисление на котором заняло всего шесть часов.
В то время как охота за цифрами числа πбыла объектом всеобщего внимания, братья Чудновски, оставаясь в тени, продолжали свою кропотливую работу. Используя новое средство коммуникации, получившее название Интернет, Грегори сумел соединить свой домашний компьютер с двумя суперкомпьютерами компании IBM, расположенными в различных местах в Соединенных Штатах. Братья разработали программу для вычисления числа πна основе новой, изобретенной ими супербыстрой формулы. Доступ к компьютерам был для них открыт, только когда никто больше ими не пользовался, то есть по ночам и по выходным.
– Это было здорово, – с ностальгией вспоминает Грегори. Тогда компьютеры еще не могли хранить числа, которые братья вычисляли. – Пи хранилось на магнитной ленте, – говорит он.
– На мини-ленте. Причем требовалось звонить чуваку и просить его, – добавляет Дэвид.
– И говорить: пленка номер такой-то и такой-то, – продолжает Грегори. – А иногда, если появлялось что-то поважнее, твои пленки вытаскивали в самый разгар вычисления. – Он закатил глаза, как будто собираясь всплеснуть руками.
Несмотря на препятствия, Чудновски не прекращали усилий и вышли за предел миллиарда цифр. Затем Канада снова вырвался вперед – ненадолго, пока Чудновски не вернули себе лидерство, вычислив 1,13 миллиардов. После чего Дэвид и Грегори решили, что если они намерены и дальше всерьез заниматься вычислением π,то им нужна своя собственная вычислительная машина.
Суперкомпьютер Чудновски жил в одной из комнат в квартире Грегори. Вся штука была сделана из процессоров, соединенных кабелями, и стоила, по оценке братьев, около 70 000 долларов. Это было разве что не задаром, если сравнить с миллионами долларов, в которые обошлась бы покупка вычислительной машины сравнимой мощности. Однако эта машина серьезно осложнила их жизнь. Компьютер, который они назвали «m-нуль», должен был все время оставаться включенным, случайное выключение могло бы все испортить, так что в комнате пришлось поставить 25 вентиляторов для охлаждения. Братья следили за тем, чтобы не включать в квартире слишком много света, дабы не перегружать электрическую сеть.
В 1991 году домашний питомец Дэвида и Грегори вычислил πс точностью более двух миллиардов знаков. Затем они переключились на другие задачи.
К 1995 году Канада снова оказался впереди, и в 2002 году он достиг 1,2 триллиона цифр; этот рекорд продержался лишь до 2008 года, когда его соотечественники из Университета Цукуба получили 2,6 триллиона знаков. В декабре 2009 года француз Фабрис Белляр объявил о новом рекорде, поставленном с использованием формулы Чудновски: почти 2,7 триллиона знаков. Вычисление на его настольном PC заняло 131 день.
Если записать триллион цифр мелким шрифтом, то они покроют расстояние от Земли до Солнца. Если писать по 5000 цифр на каждой странице (для чего потребуется очень мелкий шрифт) и сложить их стопкой друг на друга, то число πдостигнет небес, поднявшись в высоту на 10 километров. В чем же смысл вычисления числа πс таким абсурдно большим числом знаков? Одна причина – очень человеческая: рекорды существуют для того, чтобы их побивать.
Но есть и другая, более важная причина. Нахождение новых цифр в числе π– идеальный тест для проверки того, насколько эффективно считает компьютер. «Уточнение известного значения числа πсамо по себе не является для меня каким-то специальным пристрастием или хобби, – заметил Канада. – Но меня всерьез интересует, как увеличить скорость вычислений». Вычисление числа πстало важным элементом при проверке качества суперкомпьютеров, потому что это «очень процессороемкая работа, которая требует большого объема основной памяти, оперирует с огромными числами, но при этом легко проверить ответ. Можно использовать и другие математические константы, например, квадратный корень из двух, число e [31]31
Математическая константа e– иррациональное число, начинающееся как 2,718281828, которое Грегори Чудновски называет «дважды Толстым», поскольку этот великий русский писатель родился в 1828 году.
[Закрыть], или число гамма – но πиз них самое эффективное».
В истории жизни числа πнаблюдается занятная цикличность. Это простейшее и наиболее древнее отношение (длины окружности к диаметру) в математике было изобретено заново в качестве важнейшего инструмента, используемого на самом переднем крае компьютерных технологий.
На самом деле интерес братьев Чудновски к числу πбыл связан главным образом с их желанием строить суперкомпьютеры – страстью, которая с тех пор и не думала угасать. В настоящее время братья работают над чипом, который, по их утверждению, станет самым быстрым в мире, он будет иметь всего 2,7 сантиметра в ширину, и при этом в него войдут целых 160 000 меньших по размеру чипов и 1,75 километра проводов.
* * *
В написанном Карлом Саганом бестселлере «Контакт» инопланетянин предупреждает женщину на Земле, что после определенного количества цифр случайность в числе πисчезнет и там появится сообщение, записанное нулями и единицами. Это послание появится после десятичного разряда с номером 10 20– что представляет собой единицу с двадцатью нулями. Поскольку к настоящему моменту мы добрались «только» то 2,7 триллиона разрядов (число 27 с и нулями), то надо еще немного постараться, чтобы проверить, действительно ли там есть что-то в этом роде. На самом деле придется продвинуться даже еще чуть дальше, потому что послание, по-видимому, записано в 11-ричной системе.
Мысль о том, что в числе πесть закономерность, способна любому вскружить голову. Математики стали выискивать какие-либо указания на порядок в десятичных разложениях числа π,как только они появились. Иррациональность πозначает, что цифры следуют друг за другом без какого-либо повторяющегося порядка, но это не исключает возможности появления упорядоченных кусков – таких, как послание, записанное нулями и единицами. До сих пор, однако, никто не нашел ничего важного. Хотя, надо сказать, у πесть свои причуды. Первый 0 появляется только на 32-м месте, что намного позже, чем можно было бы ожидать, коль скоро цифры распределены случайно. Первый раз, когда какая-либо цифра повторяется шесть раз подряд, наступает на 762-м десятичном знаке (и это 999 999). Вероятность столь раннего повторения шести девяток – если их появление случайно – меньше 0,1 процента. Эта последовательность известна как точка Фейнмана – выдающийся физик Ричард Фейнман однажды заметил, что хотел бы запомнить число πименно до этого места и закончить словами «девять, девять, девять, девять, девять, девять и так далее». Следующий раз, когда последовательно выпадают шесть одинаковых цифр, случается на 193 034-м месте, и цифры эти – снова девятки. Не послание ли это извне, и если да – то о чем оно?
Число считается нормальным, если каждая из его цифр от 0 до 9 появляется в его десятичном разложении с равной частотой. Нормально ли π? Канада изучил первые 200 миллиардов цифр числа πи нашел, что цифры появляются со следующими частотами:
| 0 | 20 000 030 841 |
| 1 | 19 999 914 711 |
| 2 | 20 000 136 978 |
| 3 | 20 000 069 393 |
| 4 | 19 999 921 691 |
| 5 | 19 999 917 053 |
| 6 | 19 999 881 515 |
| 7 | 19 999 967 594 |
| 8 | 20 000 291 044 |
| 9 | 19 999 869 180 |
Только цифра 8 кажется несколько избыточной, однако отличие статистически несущественно. Казалось бы, число πнормально, но никто не смог этого доказать. И никто не смог доказать, что такое доказательство невозможно. Поэтому есть шанс, что π ненормально. Быть может, вслед за 10 20знаками и правда идут только 0 и 1?
Другой, но связанный с предыдущим вопрос – это вопрос о положении чисел. Распределены ли они случайно? Стэн Вейгин проанализировал первые 10 миллионов цифр числа πна «покерный тест»: возьмем пять последовательных цифр и рассмотрим их, как если бы это были карты, сданные вам при игре в покер.
| Расклад | Реальная частота события | Ожидаемая частота события |
| Все цифры различны | 604 976 | 604 800 |
| Одна пара, три различны | 1 007 151 | 1 008 000 |
| Две пары | 216 520 | 216 000 |
| Три одинаковые | 144 375 | 144 000 |
| Фулл хаус | 17 891 | 18 000 |
| Четыре одинаковые | 8887 | 9000 |
| Пять одинаковых | 200 | 200 |
В правом столбце показано, сколько раз можно было бы ожидать появления того или иного расклада, если число πнормально и если на каждой десятичной позиции с равным шансом могла бы стоять любая цифра. Результаты оказываются вполне в границах ожидаемого. Видно, что каждый расклад чисел появляется с правильной частотой, как было бы, если бы числа на каждой десятичной позиции генерировались случайным образом.
Имеются веб-сайты, на которых можно узнать, когда в числе πвпервые появляется дата вашего рождения. Первое появление последовательности 0123456789 происходит на 17 387 594 880-м месте – что было установлено только после того, как Канада добрался туда в 1997 году.
Я спросил у Грегори, полагал ли он когда-либо, что в числе πможет найтись какой-то порядок.
– Нет там никакого порядка, – бросил он довольно презрительно. – А если бы он там и был, то это было бы ненормально и неправильно. Так что нет смысла тратить на это время.
Вместо того чтобы искать закономерности в числе π, некоторые воспринимают его случайную природу как колоссальное выражение математической красоты. Число π– предопределенное, но при этом оно, по-видимому, необычайно хорошо имитирует случайность.
– Это очень хорошее случайное число, – соглашается Грегори.
Вскоре после того знаменательного вычисления числа πбратьям Чудновски позвонили из правительства Соединенных Штатов. Дэвид изобразил визгливый голос на другом конце провода: «Не будете ли вы столь любезны прислать нам пи?»
Случайные числа нужны в промышленности и торговле. Пусть, например, некой компании, занимающейся исследованием рынка, требуется сделать опрос среди представительной выборки тысячи людей из населения в миллион. Компания использует генератор случайных чисел, чтобы создать группу выборки. Чем лучше этот генератор производит случайные числа, тем более представительной будет выборка – и тем более точным будет опрос. Подобным же образом последовательности случайных чисел требуются для симуляции непредсказуемых сценариев при тестировании компьютерных моделей. Чем более случайны числа, тем более надежны результаты теста. На самом деле возможны серьезные ошибки, если применяемые для проверки случайные числа недостаточно случайны.
– Ты хорош лишь настолько, насколько хороши твои случайные числа, – замечает Дэвид.
– Ты используешь жуткие случайные числа, но в конце концов все равно оказываешься в жуткой ситуации, – заключает Грегори.
Среди всех множеств доступных случайных чисел десятичное разложение числа π– наилучшее.
Здесь, однако, таится некий философский парадокс. Пи, со всей самоочевидностью, не случайно. Его цифры могут вести себя как будто они случайны, но на самом деле они предопределены. Например, если бы цифры в числе πбыли случайны, то шанс, что первая цифра после десятичной запятой будет равна 1, был бы равен всего 10 процентам. Однако же мы с абсолютной определенностью знаем, что там стоит 1. πпроявляет случайность не случайно – что само по себе и захватывающе, и фатально.
π– это математический концепт, который изучался тысячи лет, и тем не менее хранит в себе множество тайн. В течение почти полутора столетий, прошедших после доказательства его трансцендентности, большого прогресса в понимании природы πне наблюдалось.
– По сути дела большая часть того, что там творится, нам неизвестна, – говорит Грегори.
Я спросил, можно ли ожидать какого-либо прогресса в отношении нашего понимания того, что же такое число π.
– А то как же! – восклицает Грегори. – Прогресс неостановим. Математика движется вперед.
– Это будет что-то совершенно фантастическое, но это будет здорово, – подытоживает Дэвид.
Глава 5
x-фактор
Автор объясняет, почему числа – это хорошо, но буквы – лучше. Он наносит визит в английскую деревню, где встречает человека, собирающего логарифмические линейки, и выслушивает трагическую историю об их вымирании.
Математики питают определенную склонность к волшебным фокусам. Подобные фокусы бывают забавными, а нередко скрывают за собой интересную теорию. Вот классический фокус, одновременно представляющий собой отличный способ оценить силу и достоинства алгебры. Начнем с того, что выберем любое трехзначное число, в котором первая и последняя цифры отличаются по крайней мере на два – например, 753. Теперь запишем эти же цифры в противоположном порядке: получим 357. Вычтем меньшее число из большего: 753 – 357 = 396. И наконец, сложим полученное число с тем, что получается из него перестановкой цифр в обратном порядке: 396 + 693. Сумма, которая при этом получается, равна 1089.
Попробуем еще: раз с другим числом, например 421:
421 – 124 = 297,
297 + 792 = 1089.
Мы получили тот же самый ответ. На самом деле не имеет значения, с какого трехзначного числа мы начинаем – в конце концов всегда получится 1089. Как по волшебству, из ниоткуда возникает число 1089, подобно скале в зыбучих песках случайно выбранных чисел. Хотя устойчивое появление одного и того же результата для любого исходного числа при применении к нему всего лишь нескольких простых операций и может показаться несколько озадачивающим, тому имеется объяснение, и мы очень скоро до него доберемся. Тайна возникающего вновь и вновь числа 1089 раскрывается практически немедленно после того, как задача переписывается, но не с помощью цифр, а с помощью букв.
* * *
Хотя использование чисел просто для развлечения всегда сопутствовало математическим изысканиям, начало развития собственно математики было обусловлено необходимостью решения задач практического характера. Папирус Ринда, относящийся примерно к 1600 году до н. э. (хранится в Британском музее, а назван в честь владельца – английского египтолога А. Г. Ринда), представляет собой наиболее полный из дошедших до нас математических документов Древнего Египта. В нем содержатся 84 задачи из таких областей, как землемерие, бухгалтерский учет и разделение определенного числа хлебов на заданное число людей.
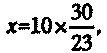
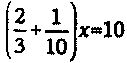
Египтяне формулировали свои задачи весьма изысканно. К примеру, задача № 30 из папируса Ринда звучит так: «Когда писец спрашивает вас, чему равна куча, если известно, что 2/ 3+ 1/ 10от нее составит десять, пусть он услышил правильный ответ». Здесь «куча» – египетский термин для неизвестной величины, которую в наши дни обозначают буквой x, представляющей собой фундаментальный и неотъемлемый символ современной алгебры. Сейчас бы мы задали Задачу № 30 так: чему равно значение x, если 2/ 3+ 1/ 10при умножении на xдает 10? Или еще короче:
Найти x, если ( 2/ 3+ 1/ 10) x= 10.
Поскольку у египтян не было привычных нам математических обозначений, таких как скобки, знак равенства или иксы, они искали ответ на заданный выше вопрос методом проб и ошибок, делая оценки для «кучи». Такой метод называется правилом ложного положения, он весьма похож на игру в гольф. Когда вы уже вышли на поле, становится легче понять, как же отправить мяч в лунку. Аналогичным образом, коль скоро у вас есть какой-то ответ, пусть и неправильный, вы можете сообразить, как приблизиться к правильному. Современный метод решения, наоборот, состоит в том, чтобы сложить дроби, стоящие при переменной x, при этом уравнение

можно записать в виде

или же

что далее сводится к

откуда, наконец,

Обозначения, использующие буквы, делают жизнь куда проще.
* * *
Египетский иероглиф для сложения представлял собой пару ног, шагающих справа налево:
(«складывающие» ноги шагают в ту сторону, в которую читается текст). Вычитание представлялось парой ног, шагающих слева направо:
. По мере того как обозначения для чисел эволюционировали от палочки с насечками до современных обозначений числительных, менялись и символы арифметических операций.
У египтян, однако, не было символа для неизвестной величины; не было его и у Пифагора с Евклидом. Для них математика была по природе геометрической, связанной с тем, что можно построить. А неизвестная величина требовала следующего уровня абстракции. Диофант, живший в Александрии в III веке, первым из греческих математиков стал использовать символ для неизвестной величины. Для этой цели он выбрал греческую букву сигма – ς. Для обозначения квадрата неизвестного числа он писал Δ γ, а для куба – K γ. Хотя его обозначения и были крупным достижением для того времени, поскольку позволяли сформулировать задачу более четко, они все же оставались довольно путаными, потому что – в отличие от системы, использующей x, х 2и х 3,– не было очевидной визуальной связи между величиной ς и ее степенями Δ γи K γ. Впрочем, несмотря на недостатки своих обозначений, Диофант вошел в историю математики как отец алгебры.
* * *
«Алгебра» – общий термин для математики уравнений, когда числа и операции записываются в виде символов. Само слово «алгебра» имеет занятную историю. В средневековой Испании над дверьми парикмахерских красовались вывески «Algebrista у Sangrador», то есть «Костоправ и Кровопускатель» – два вида деятельности, которые составляли неотъемлемую часть услуг цирюльника. По этой же причине шест, указывавший на характер заведения, выкрашен в красные и белые полосы – красный символизирует кровь, а белый – повязки.
Корень в слове «algebrista» взят из арабского «al-jabr» [32]32
Не будем забывать, что значительная часть Испании в течение столетий находилась под арабским владычеством. ( Примеч. перев.)
[Закрыть], что, помимо указания на примитивные хирургические приемы, означало также восстановление или воссоединение. Абу Джафар Мухаммад ибн Муса Аль-Хорезми, багдадский математик, живший в IX веке, написал вводный математический курс, озаглавленный «Книга восстановления и редукции» (буквально «сокращение и сравнение» – «Хисаб аль-джабр у аль-мукабаля»). В своем труде он объяснил два метода решения арифметических задач. Аль-Хорезми писал весьма цветисто, витиевато, по-восточному, но мы для лучшего понимания будем использовать современные обозначения и терминологию.
Рассмотрим уравнение А= В – С.
Аль-Хорезми описывает «al-jabr», или восстановление, как процесс, посредством которого данное уравнение принимает вид А+ С= В.Другими словами, отрицательный член можно превратить в положительный, если перенести его на другую сторону от знака равенства.
Рассмотрим теперь уравнение А= В+ С. Редукция – процесс, который превращает это уравнение в А– С= В.
Благодаря современным обозначениям мы ясно видим, что и восстановление, и редукция – примеры общего правила, согласно которому все,что вы делаете с одной частью уравнения, надо делать и с другой его частью. В первом уравнении мы прибавили Ск обеим частям. Во втором уравнении мы вычли Сиз обеих частей. Поскольку по определению выражения по обе стороны от знака равенства равны друг другу, они должны оставаться равными и когда какое-то слагаемое одновременно прибавляется или вычитается с обеих сторон. Если мы умножим одну из частей уравнения на некоторое число, то и другую часть должны будем умножить на то же самое число, и все это применимо также к делению и другим операциям.
Аль-Хорезми был не первым, кто использовал восстановление и редукцию – эти операции можно найти еще у Диофанта. Когда книгу Аль-Хорезми перевели на латынь, фигурирующий в заглавии «aljabr» превратился в «алгебру». Книга Аль-Хорезми по алгебре, наряду с еще одной его книгой, посвященной индийской десятичной системе счисления, распространилась в Европе столь широко, что само имя его обессмертилось в качестве научного термина: аль-Хорезми стал Алхоарисми, Алгорисми и в конце концов алгоритмом.
* * *
С XV по XVII век математические предложения двигались по дороге от словесных выражений к символьным.Мало-помалу слова заменялись буквами. Диофант, может, и заложил основы буквенных обозначений, введя символ для неизвестной величины, но первым, кто широко популяризировал этот метод, был француз Франсуа Виет, живший в XVI столетии. Виет предложил использовать заглавные гласные буквы А, E, I, О, Uи Yдля неизвестных величин, а согласные В, С, Dи т. д. – для известных.
Через несколько десятилетий после смерти Виета Рене Декарт опубликовал свое «Рассуждение о методе». В этом труде он применил математическую логику к человеческому мышлению. Для начала он подверг сомнению все свои убеждения, а после того, как все было отброшено, у него осталась лишь уверенность в том, что он существует. Тот аргумент, что нельзя подвергать сомнению собственное существование, коль скоро мыслительный процесс требует существования того, кто мыслит, нашел краткое выражение в знаменитой фразе из «Рассуждения» – «Я мыслю – следовательно, я существую». Это, наверное, наиболее известная в мире цитата, а сама книга считается краеугольным камнем западной философии. Декарт, однако, замысливал свой труд как введение к трем приложениям, составленным из других его научных работ. Одно из них – «La Geometrie» – в равной мере стало вехой в истории математики.
В своей «La Geometrie» Декарт вводит символы, ставшие затем стандартными алгебраическими обозначениями. Это первая книга, которая выглядит как современная публикация по математике, со всеми ее а, bи с, а также иксами, игреками и зетами. Именно Декарт решил использовать малые буквы из начала алфавита для известных величин, а малые буквы из конца алфавита – для неизвестных. Однако когда книгу набирали в типографии, наборщику в какой-то момент стало не хватать букв. Он поинтересовался у автора, насколько важно, какую именно букву нужно использовать – x, уили z.Декарт ответил, что это все равно, и наборщик использовал в основном букву x,потому что во французских словах эта буква используется реже, чем уили z.В результате xпрочно поселился в математике – и даже на более широком культурном пространстве – в качестве обозначения, символа неизвестной величины. Именно поэтому материалы о паранормальных явлениях попадают в « X-файлы» [33]33
Телесериал «X-files» в русском переводе получил название «Секретные материалы». ( Примеч. перев.)
[Закрыть], а Вильгельм Рентген предложил назвать обнаруженные им таинственные лучи X-лучами [34]34
X-rays – общепринятое английское название рентгеновских лучей. ( Примеч. перев.)
[Закрыть]Если бы не сиюминутные обстоятельства, касающиеся типографского набора текста, то словом для пробивающегося «звездного» таланта мог бы стать « Y-фактор», а афроамериканский политический лидер приобрел известность под именем Malcolm Z [35]35
Малколм Икс (1935–1965) – американский борец за права темнокожих. Малколм Литл сменил фамилию на букву «Икс», символизирующую потерю знания о собственном происхождении. ( Примеч. перев.)
[Закрыть].
То, что Лука Пачоли в 1494 году выразил бы как
4 Census p 3 de 5 rebus ae 0,
а Виет в 1591 году записал бы как
4 in A quad – 5 in A piano + 3 aequatur 0,
Декарт в 1637 году застолбил в виде
4 x 2-5 x +3 = 0.
* * *
Замена слов буквами и символами представляла собой нечто большее, чем просто удобное сокращение записи. Начало символу x положило сокращение для «неизвестной величины», но коль скоро такое обозначение возникло, оно превратилось в мощное средство, способствующее мышлению. Просто слово или сокращение нельзя подвергнуть математическим операциям так, как это делается с символом, подобным x.Появление числа сделало возможным счет; но буквенные символы вывели математику в новую область, простирающуюся далеко за пределы языка.
Пока задачи формулировались риторически, как это было в Египте, математики применяли изобретательные, но довольно бессистемные методы для их решения. Древние решатели задач были подобны участникам экспедиции, застрявшим в тумане и вынужденным полагаться лишь на несколько ухищрений, помогающих продвигаться вперед. Когда же задачи стали формулировать, используя символы, туман этот рассеялся, и перед математиками предстал мир с исключительно ясными очертаниями. Диво алгебры состоит в том, что порой одна лишь запись задачи в символическом виде уже почти дает ее решение.
Вернемся к тому фокусу, о котором я рассказал в начале главы. Я попросил вас назвать трехзначное число, в котором первая и последняя цифры различались бы по крайней мере на два. А далее требовалось получить второе число, переставив цифры в исходном числе в обратом порядке.








