Текст книги "Под знаком кванта"
Автор книги: Леонид Пономарев
Жанр:
Физика
сообщить о нарушении
Текущая страница: 5 (всего у книги 31 страниц)
Независимо от гипотез о строении атома ученые рано поняли, что знания о нем можно получить, изучая его линейчатый спектр (так музыкант по тону струны определяет ее длину, а по аккорду узнает инструмент). В физике всякое изучение в конечном итоге сводится к измерению. Поэтому прежде всего необходимо было научиться измерять длины волн как можно точнее, то есть еще пристальнее, чем Фраунгофер, исследовать структуру линейчатого спектра.
Первый спектроскоп Кирхгофа был довольно примитивным: две половинки зрительной трубы, коробка из-под сигар и призма, сделанная, правда, самим Фраунгофером. Впоследствии этот спектроскоп был значительно улучшен, но все-таки со временем он должен был уступить место более совершенным приборам с дифракционной решеткой, которые особенно искусно научился делать Генри Роуланд (1848– 1901)—представитель тогда еще молодой американской науки. С помощью этого прибора в течение нескольких десятилетий трудами Карла Рунге (1856—1927), Генриха Кайзера (1853—1940) и особенно лаборатории Фридриха Пашена (1865—1940) в Тюбингене были точно измерены длины волн десятков тысяч спектральных линий различных элементов и аккуратно записаны в длинные таблицы. (К 1913 г. общее число работ по спектральному анализу перевалило за 50 тысяч.) В частности, оказалось, что знаменитая желтая линия D в спектре натрия состоит из двух очень близко расположенных линий: D =5895,9236 А и />2 = 5889,9504 А. (1 А = 0,1 нм = 10“8 см – один ангстрем равен примерно диаметру атома.)
Но высшая задача любой науки не в том, чтобы накоплять факты, а в том, чтобы установить связи между явлениями и найти их общую причину. Всем было ясно, что в этих длинных таблицах заключена обширная информация о структуре атома. Но как ее оттуда извлечь? (Вероятно, такие же чувства испытывали египтологи до Шампольона, глядя на иероглифы.)
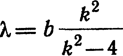
Первый шаг всегда труден и незаметен. Поэтому об Иоганне Якобе Бальмере (1825—1898), который впервые обнаружил какую-то систему в этом хаосе чисел, мы знаем очень мало. Известно, что родился он 1 мая 1825 г. в маленьком городке Лаузене Базельского кантона, там же окончил среднюю школу, а затем изучал математику в университетах Карлсруэ, Берлина и Базеля. В 1869 г. он стал доктором философии и приват-доцентом Базельского университета, но вскоре оставил профессорское кресло и предпочел преподавать физику в женской гимназии. Бальмеру было уже 60 лет, когда он вдруг заметил, что четыре спектральные линии в видимой части спектра водорода расположены не беспорядочно, а образуют серию, которую можно описать единой формулой

где % – длина волны спектральной линии, в ангстремах, k = 3, 4, 5, 6 – целые числа, а постоянная Ь = 3645,6 А.
Это простое соотношение заслуживает пристального внимания. Дело в том, что оно точное, в чем каждый желающий может легко убедиться сам. Взгляните на таблицу, которую Бальмер составил в 1885 г.:
| Линия | 1, А (измерено Ангстремом) | 1, А (вычислено Бальмером) | k |
| С | 6562,10 | 6562,08 | 3 |
| F | 4860,74 | 4860,8 | 4 |
| G | 4340,1 | 4340,0 | 5 |
| Н | 4101,2 | 4101,3 | 6 |
В первом столбце приведены названия спектральных линий, данные им Фраунгофером, во втором – длины волн этих линий, которые незадолго перед этим тщательно измерил шведский физик Ионас Андерс Ангстрем (1814—1874). (Единица длины ангстрем названа в его честь.) В третьем столбце представлены длины волн, вычисленные по формуле Бальмера при целых числах k, приведенных в четвертом столбце. Совпадение измеренных и вычисленных значений X поразительное. Такие совпадения не могут быть случайными, и потому открытие Бальмера не затерялось в архивах, а привело к целой серии новых исследований.
Иногда Бальмера изображают чудаковатым школьным учителем, который от нечего делать делил и умножал различные числа, пока случайно не набрел на простые связи между ними. Это неверно. Он был глубоко образованным человеком, писал статьи по разным вопросам проективной геометрии и постоянно возвращался к самым сложным проблемам теории познания. Например, в 1868 г. он опубликовал работу, в которой пытался выяснить соотношение между научными исследованиями и системами мировой философии. Сам он с юношеских лет находился под влиянием пифагорейцев с их учением о гармонии и мистической роли целых чисел в природе. Как и древние, Бальмер был убежден, что тайну единства всех наблюдаемых явлений следует искать в различных комбинациях целых чисел. Поэтому, когда его внимание привлек набор четко ограниченных спектральных линий, он подошел к этому явлению природы с уже готовой меркой. Его ожидания оправдались: оказалось, что длины волн спектральных линий связаны между собой простыми рациональными соотношениями.
С открытия Бальмера начинается целая эпоха в науке об атоме. По существу, вся теория атома начинается с его формулы. Тогда этого еще не знали, но, вероятно, почувствовали. Уже в 1886 г. Рунге заметил, что формула Бальмера становится прозрачнее, если ее записать не для длины волны X, а для частоты у —с/к (здесь с – 3- 1О10 см/с – скорость света в вакууме):

А в 1890 г. шведский физик Иоганн Роберт Ридберг (1854– 1919) предложил записывать формулу в том виде, который она сохранила до сих пор:
Здесь п и k — целые числа, а постоянная R— 109 677,58 см-1 называется с тех пор постоянной Ридберга для атома водорода. Полагая в этой формуле п = 2, можно вычислить всю серию Бальмера, измеренную впоследствии вплоть до k «50.
Тогда же возникла мысль записывать частоту в виде разности двух величин – термов Тп и Tk
Пока что в такой записи не видно глубокого смысла, да и особых преимуществ тоже. Однако в 1908 г. молодой, рано умерший швейцарский ученый Вальтер Ритц (1878—1909) объяснил преимущества такой формы записи. Продолжая работы Ридберга, он сформулировал так называемый комбинационный принцип: частоту произвольной линии в спектре

любого атома можно представить как разность двух термов Тп и Tk'
Vnk=Tn – Tk
даже в том случае, когда отдельный терм Тп уже нельзя записать в таком простом виде, как для атома водорода.
На первый взгляд в этом нет никакого выигрыша: просто от набора частот мы перешли к набору термов. Однако это не так: попытайтесь прочесть книгу, в которой отсутствуют промежутки между словами, и вы сразу почувствуете разницу. Особенно если эта книга на неизвестном языке. Кроме того, чисел стало значительно меньше: чтобы определить частоты 50 линий водорода, которые были известны в начале века, достаточно знать десяток термов.
Неожиданно в хаосе чисел обнаружилась система. Беспорядочный набор линий распался на серии. В непонятной книге чисел стали различать отдельные слова. В простейшем случае – атома водорода – удалось разглядеть даже буквы, из которых они составлены. Однако смысл слов и происхождение букв по-прежнему оставались неизвестными: иероглифы спектральных линий еще не заговорили, хотя и не казались теперь столь загадочными. Стремление осмыслить структуру спектра и в самом деле напоминало попытки почти вслепую расшифровать незнакомый текст. Утомительная работа длилась больше четверти века, и отсутствие общей идеи отталкивало от нее глубокие умы. Необходимо было найти ключ к шифру.
Это сделал Нильс Бор в 1913 г.
ФОТОНЫИзлучение возникает в результате процессов, происходящих в атоме, однако за его пределами существует независимо. Иногда оно состоит из волн одинаковой длины – такое излучение называют монохроматическим. Линейчатый спектр атома состоит из набора монохроматических волн, и наборы эти различны для разных атомов.
До сих пор нас большей частью интересовала только одна характеристика волн – их частота. Однако излучение – сложное явление, и его свойства нельзя свести только к частоте. Солнечный луч прозрачен, но вполне материален, он даже имеет массу: каждую секунду на квадратный метр освещенной поверхности Земли падает 7,3-10-12 г света.
Действие излучения легче всего сопоставлять с морскими волнами, набегающими на берег: после работ Христиана Гюйгенса (1629—1695) и Огюстена Жана Френеля (1788—1827) такая аналогия стала бесспорной. Каждый год приносил этому новые доказательства в явлениях интерференции и дифракции света. В 1873 г. Джемс Клерк Максвелл (1831 – 1879) теоретически предсказал, что свет, падая на поверхность тел, должен оказывать на них давление (также в полном согласии с нашей аналогией). Световое давление – очень тонкий эффект, но Петр Николаевич Лебедев (1866– 1912) в 1899 г. все-таки обнаружил его экспериментально. Казалось, теперь волновая природа света доказана настолько надежно, что всякие дальнейшие опыты для ее проверки не имеют смысла. «Со времен Юнга и Френеля мы знаем, что свет – это волновое движение... Сомневаться в этих фактах больше невозможно; опровергать эти взгляды непостижимо для физика. С точки зрения рода человеческого волновая теория является очевидностью»,– писал в 1889 г. Генрих Рудольф Герц (1857—1894), трудами которого была экспериментально доказана волновая природа электромагнитного излучения и тем самым – справедливость уравнений Максвелла.
К счастью, опыты в физике ставят не только для проверки теорий. В 1887 г., за два года до того, как Генрих Герц написал приведенные строки, он сам же обнаружил явление, которое можно объяснить только корпускулярной природой излучения. Суть этого явления, которое впоследствии назовут фотоэффектом, пересказать довольно просто.
Если свет ртутной лампы (теперь мы такие лампы называем кварцевыми) направить на металл натрий, то с его поверхности полетят электроны. В конце века большая часть физиков уже ясно сознавала, что атом сложен, и потому само по себе это явление особенно никого не удивило. Довольно быстро все согласились с тем, что электроны в опыте Герца вылетают из атомов натрия под действием излучения кварцевой лампы. Странно и непонятно было другое – законы этого явления. Установлены они были Александром Григорьевичем Столетовым (1839—1896) и Филиппом Ленардом (1862—1947) на рубеже XX века. Эти ученые измеряли число выбитых электронов и их энергию в зависимости от интенсивности и частоты падающего излучения.
Мы уже знаем, что лучи, возникающие внутри атомов, различаются между собой не только длиной волны к (или, что то же, частотой у = с/к), но также интенсивностью. Это ясно видно на спектрограммах: некоторые линии там значительно ярче других, например в желтом дублете натрия линия D
Но энергия электронов оставалась прежней, менялось лишь их число. Такова первая несообразность, которая ожидала ученых в конце опытов. Зато энергия электронов зависела от частоты падающего излучения, и притом сильно. Кварцевая лампа излучает фиолетовые и ультрафиолетовые лучи. Оказалось, что если вместо них на поверхность натрия направить пучок красных лучей, то электроны не вылетят вообще, как бы много ламп мы ни взяли.
«Если излучение – волновой процесс (а это строго доказано), такого не может быть»,– утверждали одни.
«Но ведь это происходит!» – возражали другие.
Если бы несколько прибрежных утесов неожиданно обрушились на ваших глазах, почти наверное вы бы стали искать внешние причины такой катастрофы. Конечно, волны моря постепенно размывают берег, и время от времени утесы рушатся, но все знают, как редко это бывает. Однако если, обернувшись к морю, вы обнаружите там военный корабль, который ведет по берегу пальбу из орудий главного калибра, то вы сразу догадаетесь, что причина внезапных разрушений – не волны, а снаряды, хотя их энергия и меньше, чем

общая энергия морских волн. Но энергия волн равномерно распределена по всему побережью, и нужны века, чтобы мы увидели результаты их ежедневной работы. По сравнению с этой работой энергия снаряда ничтожна, зато она сосредоточена в малом объеме и выделяется мгновенно. Еели к тому же снаряд достаточно велик, он разрушит утес. Последнее важно: действительно, все свойства снаряда, кроме размеров, присущи и пуле, однако сокрушить скалу ей не под силу.
Примерно так рассуждал Эйнштейн, когда предложил свое объяснение явления фотоэффекта. Он знал об открытии и сомнениях Планка, но для Эйнштейна с его непредвзятой манерой мышления гипотеза о квантах света не казалась столь ужасной, как самому Планку. Поэтому он был первый, кто не только поверил в нее, но и применил для объяснения новых опытов. Эйнштейн утверждал: свет не только испускается квантами, как того требовала гипотеза Планка, но и распространяется так же – квантами. (Кстати, сам термин «квант» принадлежит ему же: Планк говорил об «элементах энергии»). Поэтому свет, падающий на поверхность металла, подобен не морским волнам, а артиллерийским снарядам. Причем каждый такой снаряд-квант (в 1926 г. Дж. Льюис назовет их фотонами) может выбить из атома только один электрон.
Согласно Планку, энергия кванта равна hv. По мысли Эйнштейна, какая-то часть ее (назовем ее Р) расходуется на то, чтобы вырвать электрон из атома, а остальная часть – на то, чтобы разогнать его до скорости у, то есть сообщить ему кинетическую энергию T = mv2/2. Оба эти утверждения можно коротко записать в виде простого уравнения
, п 1 ту2
ftv=p+—
Стоит принять эту гипотезу – и явление фотоэффекта проясняется. Действительно, пока снаряды малы (красный свет), они не могут выбить электрон из атома (ftv
Р). Но по-прежнему энергия каждого «снаряда-кванта» будет зависеть только от их величины (то есть от их частоты v), а не от их числа.
Шестнадцать лет спустя классическую простоту уравнения Эйнштейна Шведская академия наук отметит Нобелевской премией. Но в 1905 г., когда уравнение было написано впервые, на него ополчились все, даже Планк. Он высоко ценил Эйнштейна, искренне хотел ему помочь и потому, убеждая прусское министерство просвещения пригласить его на работу в Берлин, просил «не слишком сильно ставить ему в упрек» гипотезу относительно явлений фотоэффекта.
Планка можно понять: совсем недавно вопреки общепринятым традициям (и даже своему желанию) он ввел в физику квант действия h. Лишь постепенно пришло к нему осознание неизбежности этого шага. Даже в 1909 г. он признавался Эйнштейну: «Я еще плохо верю в реальность световых квант». Однако дело было сделано: «...Планк посадил в ухо физикам блоху»,– говорил Эйнштейн двадцать лет спустя, и она не давала им покоя, хотя они и пытались ее не замечать. Во всяком случае, Планк постарался ввести квант действия так, чтобы не пострадала волновая оптика – здание чрезвычайной красоты, созданное в течение двух столетий. Поэтому, согласно Планку, свет только испускается квантами, но распространяется по-прежнему, как волна: лишь в этом случае удавалось сохранить все результаты волновой оптики.
А Эйнштейн поступал так, как будто до него вообще не существовало физики, или по крайней мере как человек, ничего не знающий об истинной природе света. Здесь сказалась замечательная особенность Эйнштейна: в совершенстве владея логикой, он больше доверял интуиции и фактам, причем случайных фактов в физике для него не существовало. Поэтому в явлениях фотоэффекта он видел не досадное исключение из правил волновой оптики, а сигнал природы о существовании еще неизвестных, но глубоких законов. Так уж случилось, что исторически сначала были изучены волновые свойства света. Только в явлениях фотоэффекта физики впервые столкнулись с его корпускулярными свойствами. У большинства из них инерция мышления была настолько велика, что они отказались этому верить. «Не может быть!» – повторяли они подобно фермеру, впервые в жизни увидевшему жирафа.
Эйнштейн, конечно, знал историю оптики не хуже других. Но его независимый ум равнодушно относился к ее солидному авторитету. Все прежние заслуги оптики для него не имели значения, если они не могли объяснить единственный, но бесспорный опыт. Он глубоко, религиозно, верил в единство природы, и один такой опыт значил для него не меньше, чем вся история оптики. А его честность не позволила ему пройти мимо неугодного факта.
В науке по-настоящему опасны только неверные опыты: опытам принято верить. Но любую гипотезу – какой бы привлекательной она ни была – всегда тщательно проверяют. Даже если она окажется ложной, опыты, которые ее опровергли, часто приводят к результатам более ценным, чем сама гипотеза. Проверили и гипотезу Эйнштейна – она оказалась истинной.
В 1911 г. Милликен, экспериментально проверяя уравнение Эйнштейна, определил из него значение постоянной Планка h. Она совпала с тем значением, которое* получил Планк из теории теплового излучения. А вскоре поставили опыт, идея которого в точности аналогична картине разрушения утесов на берегу моря. И снова оказался прав Эйнштейн, а не признанный авторитет волновой оптики.
Конечно, Эйнштейн не отрицал, что волновая оптика все-таки существует. И не оспаривал опытов, доказавших волновую природу света. Просто он довел возникшее противоречие до логического конца и предоставил разрешать его следующему поколению физиков. В 1909 г., выступая в Зальцбурге на собрании Общества немецких естествоиспытателей, он высказывал надежду, что «следующая фаза развития теоретической физики даст нам теорию света, которая будет в каком-то смысле слиянием волновой теории с теорией истечения». Двадцать лет спустя его предвидение сбылось.
Несмотря на единодушные протесты современников, мысль о квантах света не погибла и вскоре дала могучие всходы. Это произошло в 1913 г., когда в лабораторию Резерфорда в Манчестере пришел застенчивый и неторопливый датчанин Нильс Бор.
ПОБЕДА АТОМИСТИКИ20 мая 1904 г. в Манчестере, где провел лучшие годы своей ученой деятельности Джон Дальтон, с торжественностью, к которой обязывают традиции англичан и значительность события, был отмечен столетний юбилей атомной теории материи.
Победа ее пришла не сразу: даже после работ Дальтона многие долгое время смотрели на атомистику просто как на «любопытную гипотезу, допустимую с точки зрения нашей познавательной способности». Единодушие, с которым философы прошлого века отрицали существование атомов, пошатнуло и у физиков веру в их реальность. Например, Артур Шопенгауэр (1788—1860) отзывался об атомах не иначе, как о «выдумке невежественных аптекарей», а философ и физик Эрнст Мах (1838—1916) называл всех атомистов «общиной верующих» и каждого, кто пытался обратить его в эту веру, прерывал вопросом: «А вы хотя бы один из них видели?» Только в 1910 г., увидав однажды сцинтилляции а-частиц на экране спинтарископа, он сдержанно и с достоинством признал: «Теперь я верю в существование атомов». Маха можно понять: человеку трудно вообразить себе нечто, далее принципиально неделимое. И все же в начале века идея атома победила окончательно: разум человека вновь оказался способным понять даже то, чего он не в состоянии представить. И случилось это гораздо раньше, чем через 300 лет, как предсказывал Людвиг Больцман (1844—1906), трагически погибший в своем одиночестве, так и не дождавшись понимания современников.
Но победа эта все-таки немного запоздала: после работ Томсона и Резерфорда понятие «атом» потеряло свой прежний смысл. Стало ясно, что атом – это не самая простая частица вещества, хотя его и нельзя расщепить средствами химии. «К сожалению, законы природы становятся вполне понятными только тогда, когда они уже неверны»,– говорил Эйнштейн. Это це означает, конечно, что однажды открытые законы вдруг теряют все свое значение. В истории атома – независимо от дальнейших успехов науки – доказательство его реальности (даже в старом смысле атоцод – «нераз-резаемый») навсегда останется одной из самых важных ее побед.
Окончательное утверждение атомистики также связано с именем Эйнштейна: в том же 1905 г. независимо от польского физика Мариана Смолуховского (1872—1917) он дал математическое описание броуновского движения. Эту теорию подтвердил экспериментально Жан Перрен, который в 1909 г. по совету Ланжевена предпринял систематические и тщательные исследования броуновского движения. И до Перрена многие физики были убеждены, что истинная причина этих движений – толчки молекул жидкости, которые сами невидимы даже в лучший микроскоп. Но удивительные по изяществу опыты Перрена не просто доказали справедливость этих утверждений – из них следовало нечто большее: непонятное движение частиц в жидкости есть точная модель истинного движения невидимых молекул, увеличенная в несколько тысяч раз. Поэтому, изучая броуновское движение частиц, мы тем самым получаем наглядную картину движений невидимых молекул. (Точно так же, как знание свойств радиоволн дает нам представление о волнах света и даже о рентгеновских лучах.) После этих работ гипотезу об атомах признали все, даже ее знаменитый противник Вильгельм Оствальд (1853—1932). А в 1909 г. тот же Резерфорд, который доказал сложную структуру атома, вместе с Ройдсом дал и наиболее убедительное доказательство атомистической структуры вещества. Вот как это произошло.
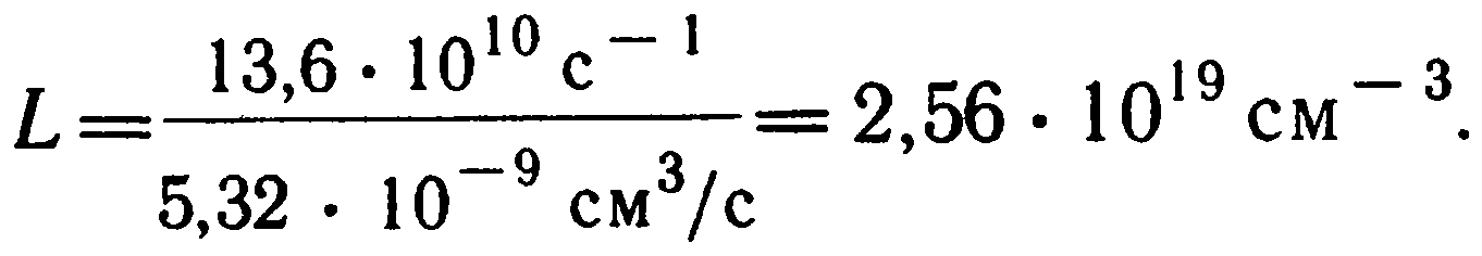
Уже давно было замечено, что в минералах, содержащих радиоактивные вещества – торий, уран, радий,– скапливается гелий. Измерили даже, что из 1 г радия в состоянии радиоактивного равновесия выделяется 0,46 мм3 гелия в день, то есть 5,32 -10“9 см3/с. После установления природы а-частиц ничего чудесного в этом факте не было. Но Резерфорд и Ройдс на этом не остановились: они сосчитали число а-частиц, которое вылетает в секунду из 1 г радия. Оно оказалось большим, но вполне определенным: 13,6– 1О10 с-1. Все эти а-частицы, вылетевшие за секунду, захватив по два электрона, превращаются в атомы гелия и занимают объем 5,32-10“9 см3. Следовательно, число атомов в 1 см3

Но ведь это и есть та самая постоянная Лошмидта, которую он вычислил на основании молекулярно-кинетической гипотезы! Действительно, один моль гелия (как и любого одноатомного газа при 0 °C и атмосферном давлении) занимает объем 22,4 л и содержит 6,02 • 1023 атомов, то есть
6,02-Ю23моль
см
–з
22,4 • 103 см3/моль
Совпадение убедительное.
К 1912 г. насчитывалось уже более десяти способов определения постоянной Авогадро и от ее значения зависело объяснение многочисленных и на первый взгляд не связанных между собой явлений, таких, как броуновское движение и голубой цвет неба, вязкость газов и спектр абсолютно черного тела, радиоактивность и законы электролиза. Число Na оказалось очень большим, и, чтобы продемонстрировать его огромность, лорд Кельвин предлагал провести мысленный эксперимент: стакан воды с каким-то образом помеченными атомами вылить в океан и, хорошо перемешав его, вновь зачерпнуть воды из океана на другом краю Земли – в стакане окажется 200 меченых молекул воды (в действительности еще больше: около тысячи). Как и количество людей на Земле, число Авогадро не может быть дробным. Более того, это число мы знаем сейчас значительно точнее, чем численность жителей Земли: МА = 6,022136 • 1023.
«Если бы в результате какой-то мировой катастрофы все накопленные научные знания вдруг оказались бы уничтоженными и к грядущим поколениям живых существ перешла бы только одна фраза, то какое утверждение, составленное из наименьшего количества слов, принесло бы наибольшую информацию? Я считаю, что это – атомная гипотеза (можете называть ее не гипотезой, а фактом – это ничего не меняет): все тела состоят из атомов – маленьких телец, которые находятся в беспрерывном движении, притягиваются на небольшом расстоянии, но отталкиваются, если одно из них плотнее прижать к другому.
В одной этой фразе содержится невероятное количество информации о мире, стоит лишь приложить к ней немного воображения и чуть соображения».
Эти слова принадлежат Ричарду Фейнману, нашему современнику, лауреату Нобелевской премии 1965 г. И хотя они почти дословно повторяют Демокрита, понятия и образы, которые мы с этими словами связываем теперь, совсем другие: за 25 столетий об атоме узнали много нового. Это было непросто – просты только результаты науки.

ВОКРУГ КВАНТА









![Обложка: Честь Воина [CИ]](/files/books/110/no-cover.jpg)