Текст книги "Справочник по морской практике"
Автор книги: авторов Коллектив
Жанры:
Справочники
,сообщить о нарушении
Текущая страница: 14 (всего у книги 21 страниц)
10.2. Переносные грузовые балки, стрелы и краны
Переносная грузовая балка устанавливается на верхней палубе корабля и предназначена для подъема небольших грузов весом 200–250 кг с помощью талей, оснащенных пеньковым тросом или стальным гибким шкентелем и ручной или механической лебедкой. На рис. 10.14 показана переносная грузовая балка с грузовым шкентелем и ручной лебедкой. Балка представляет собой металлическую трубу с конусообразными верхней и нижней частью. Нок балки имеет концевой наголовник для установки шкива грузового шкентеля. На трубу надета рубашка (верхняя опора). Нижняя часть балки заканчивается пяткой. Выше верхней опоры на трубе размещаются ручная червячная лебедка, которая крепится к фундаменту болтами, и направляющий шкив. Балка устанавливается в стандерс, к верхней части которого прикреплена стальная опора с запрессованной в нее бронзовой втулкой (стаканом).

Рис. 10.14. Переносная грузовая балка:
1 – труба, 2 – направляющий шкив; 3 – закладные штыри; 4 – скоба; 5 – оттяжка; 6 – наголовник; 7 – шкив наголовника; 8 – шкентель; 9 – коуш со скобой; 10 – рубашка (верхняя опора); 11 – стакан; 12 – стопор; 13 – стандерс; 14 – палубный стакан; 15 – подпятник; 16 – пятка; 17 – лебедка
Пятка балки входит в подпятник, приклепанный к основанию стандерса. В рабочем положении стандерс крепится к палубным стаканам, которые вварены в настил надстройки.
Подъем и опускание грузов осуществляются с помощью грузового стального шкентеля, ходовой конец которого закреплен на барабане лебедки; коренной конец заканчивается коушем со скобой. Грузовой шкентель от барабана лебедки идет через направляющий шкив на шкив наголовника. Для предотвращения выкладывания грузового шкентеля с направляющего шкива и шкива наголовника устанавливаются закладные штыри.
Для подготовки поворотной переносной балки к работе следует: завести оттяжки к обушкам на ноке балки с помощью соединительных скоб; завести грузовой шкентель через направляющий шкив и шкив наголовника; установить стандерс балки в нужное для работы положение и закрепить рымами к стаканам; установить балку в стандерс; подготовить к действию ручную лебедку.
Для удержания балки в определенном положении надо пользоваться специальными стопорами; для ее разворота – оттяжками. По окончании грузовых операций балку следует закрепить по-походному и убрать оттяжки в такелажную кладовую.
Поворотные шлюпбалки (рис. 2.29), кроме своего прямого назначения, могут использоваться для подъема грузов, по своему весу не превышающих половины веса шлюпки со снабжением и гребцами. Работа на поворотной шлюпбалке аналогична работе на переносной грузовой балке.
Грузовая стрела позволяет перемещать груз как в вертикальной, так и в горизонтальной плоскостях. На кораблях обычно устанавливаются две легковесные стрелы, симметрично расположенные по отношению к диаметральной плоскости корабля. Грузовые стрелы предназначены для подъема (спуска) корабельных плавсредств и производства погрузочно-разгрузочных работ. Важной эксплуатационной характеристикой легковесных стрел является то, что они работают при заданном постоянном вылете. Грузоподъемность стрел колеблется от 1 до 5 тс. Иногда сами стрелы рассчитаны на 5 тс, лебедки для них на 3 тс, при этом рабочий шкентель грузовой стрелы заменяется талями, дающими значительный выигрыш в прилагаемом тяговом усилии.
На вспомогательных и специальных судах могут устанавливаться тяжеловесные стрелы грузоподъемностью 15–25 тс и более. В отличие от легковесных стрел последние при подъеме (опускании) груза могут изменять как вылет стрелы, так и положение относительно диаметральной плоскости судна. Изменение вылета стрелы дает возможность менять ее грузоподъемность.
Грузовая стрела – деревянная или стальная (пустотелая) балка с утолщением посредине, которая своим нижним концом (шпором) крепится шарнирно к мачте, грузовым колонкам, надстройкам или специально отдельно стоящим фундаментам. Верхний конец стрелы (нок) удерживается либо топенантом в определенном положении, необходимом для выполнения грузовых работ, либо топенант-талями, способными изменять вылет стрелы.
Р а с ч е т д л и н ы и с р е д н е г о д и а м е т р а с т р е л ы.
Длина стрелы L в м:

где В – ширина корабля, м;
b – вылет стрелы за борт, м;
а – угол поворота стрелы от диаметральной плоскости корабля, град;
о – угол наклона стрелы к горизонту, град.
Средний диаметр стрелы d в см:
– для деревянной

– для металлической

где P – грузоподъемность стрелы, тс;
L – длина стрелы, м;
б – толщина стенки металлической стрелы, см.
На всех стрелах, устанавливаемых на кораблях, указывается: их предельная грузоподъемность в тоннах (тс), наименьший допустимый угол при работе стрелы и максимально возможная нагрузка на топенант и грузовой шкентель (грузовые тали). Нагрузка на топенант-тали обычно вычисляется при наклонении грузовой стрелы к горизонту: для легких стрел – на 15°; для тяжеловесных – на 25°.
Следует помнить, что если ходовой лопарь грузовых талей пропущен через нок стрелы и проходит параллельно топенант-талям, то нагрузка, испытываемая блоками и скобами топенант-талей, при опускании груза будет больше, чем при подъеме.
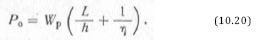
Усилия, действующие на стрелу и ее оснастку при подъеме максимального груза Wm a x (рис. 10.15);

Рис. 10.15. Усилия, действующие на стрелу и ее оснастку
а) усилие на шкентеле перед направляющим блоком, тс

б) усилие на шкентеле за направляющим блоком (ходовой конец, идущий к барабану грузовой лебедки), тс

в) сжимающее осевое усилие в стреле, тс

г) усилие в топенанте, тс

где Wp – расчетная нагрузка, тс;
– отношение длины стрелы к расстоянию в вертикальном направлении между ее шпором и местом крепления топенантного направляющего блока:
N – число шкивов блоков шкентель-талей;
nn и n – коэффициенты полезного действия талей и отводного блока соответственно.

где K1 – коэффициент динамичности приложения нагрузки, который может быть равным 1–1,5 (K1=1 при медленном и плавном трогании груза с места у тяжеловесных стрел);
K2 – коэффициент учета собственного веса стрелы;
K2~1,041/08 (большее значение при длинных стрелах).

Т а б л и ц а 10.5
При применении одиночного грузового блока сжимающее осевое усилие в стреле

Усилие на каждую оттяжку стрелы практически составляет около 0,15–0,20 максимального веса груза, находящегося на гаке.
Л е г к и е г р у з о в ы е с т р е л ы. Наиболее распространенным типом легкой грузовой стрелы на кораблях являются грузовые стрелы грузоподъемностью 3200 кгс при использовании двухшкивных талей и 1500 кгс при использовании грузового шкентеля.
Грузовая стрела (рис. 10.16) сделана из стальной трубы. Нок стрелы оканчивается обоймой (рис. 10.17), состоящей из щек, между которыми установлены на осях два шкива грузовых талей. В выступающую часть щек вставлена ось (рис. 10.16) для крепления топенанта стрелы; к приваренным обушкам на обойме крепятся оттяжки.

Рис. 10.16. Грузовая стрела:
1 – обух; 2 – топенант: 3 – ось; 4 – шкив; 5 – обушок; 6 – шкив грузового шкентеля; 7 – ось шкива; 8 – зажимы для троса; 9 – обойма; 10 – двухшкивные тали; 11 – карман для нижнего блока грузовых талей; 12 – одношкивный блок; 13 – шкентель; 14-гак; 15 – бакштаги (оттяжки); 16 – лебедка; 17 – грузовой барабан лебедки; 18 и 26 – канифас-блоки; 19 – шпор; 20 – вертлюг; 21 – вилка; 22 – штырь; 23 – стрела; 24 – кожух стрелы;. 25 – обойма

Рис. 10.17. Обойма нока стрелы:
1, 4 – обоймы; 2, 6 – шкивы; 3, 5 – оси шкивов
Сбоку стрелы устанавливается обойма со шкивом, через который проходит грузовой шкентель. На осях шкивов нока стрелы и обоймы установлены планки с указанием грузоподъемности и даты испытаний.
Нижний конец стрелы оканчивается вилкой, которая с помощью штыря соединяется с вертлюгом шпора. Шпор с вертлюгом приварен к фундаменту, обеспечивая при этом свободный поворот стрелы. Сверху стрелы имеется кожух из двух приваренных угольников, служащих для укладки шкентеля стрелы в положении по-походному. На концах кожуха, в верхней и нижней его части, приварены зажимы для троса. Для удержания стрелы в постоянном наклонном положении служит топенант – стальной трос диаметром 24 мм, на концах которого заделаны коуши. Один конец топенанта закреплен на ноке стрелы, другой через скобу (рис. 10.18) с помощью болта прикреплен к обуху, заделанному в кронштейне мачты.

Рис. 10.18. Крепление топенанта:
1 – обух; 2 – болт; 3 – скоба; 4 – ось крепления на мачте; 5 – ось крепления у нока стрелы
Подъем и спуск плавсредств и грузов производится с помощью грузовых двухшкивных талей (рис. 10.16). Грузовые тали состоят из двух верхних шкивов, заделанных в ноке стрелы, и нижнего одношкивного блока, имеющего грузовой гак. В верхней части нижнего блока к вертлюгу с помощью скобы крепится коренной конец грузового лопаря – стального троса диаметром 17,5 мм, который проведен через грузовые тали, канифас-блоки, закрепленные на среднем ярусе распорок мачты и настиле носового котельного кожуха, на барабан лебедки. Для разворота стрелы при подъеме грузов установлены бакштаги (оттяжки), верхняя часть которых состоит из стального троса диаметром 9,2 мм; нижняя – из двух блоков с пеньковым лопарем окружностью 65 мм.
Для быстрого подъема грузов, не превышающих 1500 кг, имеется грузовой шкентель из стального троса диаметром 19,5 мм, оканчивающийся грузовым гаком. Коренной конец шкентеля заделан напостоянно на грузовом барабане лебедки; для хранения шкентель наматывается на барабан.
По-походному стрела крепится откидной обоймой, нижний блок грузовых талей укладывается в специальный карман, грузовой лопарь хранится в намотанном виде на барабане лебедки. Для канифас-блоков на мачте предусмотрены обоймы; для бакштагов – специальные корзины.
Л е б е д к а л е г к о й г р у з о в о й с т р е л ы ЛЗ-24 (рис. 10.19) имеет реверсивное устройство и может развивать две скорости. Для описанной выше стрелы скорость подъема легких и неопасных грузов 10,5 м/мин, тяжелых и опасных грузов 2,8 м/мин. Правила эксплуатации грузовой лебедки ЛЗ-24 определяются специальной инструкцией.

Рис. 10.19. Грузовая лебедка ЛЗ-24:
1 – рукоятка переключения муфты редуктора; 2 – рукоятка ручного привода; 3 – рычаг переключения муфт сцепления; 4 – ленточный тормоз грузового барабана; 5 – ленточный тормоз консольного барабана; 6 – консольный барабан; 7 – грузовой барабан
Т я ж е л о в е с н а я г р у з о в а я с т р е л а (рис. 10.20) применяется для погрузки (выгрузки) тяжелых грузов. В отличие от легких грузовых стрел вилка шпора стрелы устанавливается на специальных сварных фундаментах палубы или надстройки в диаметральной плоскости корабля. Тяжеловесная стрела оснащена многошкивными грузовыми и топенаитными талями. Неподвижные блоки этих талей крепятся за обухи на башмаках мачты. Ходовой лопарь шкентель-талей выходит из верхнего или нижнего блока. В последнем случае ходовой лопарь проходит через врезной блок стрелы или канифас-блок, подвешенный близ нока стрелы, и далее через направляющий блок салинга на грузовую лебедку. Тали-оттяжки соединены стальным тросом с мачтой такелажной скобой и обухом. Наличие у оттяжек талей, ходовые лопари которых заведены на барабаны грузовых лебедок, шпилей или брашпилей, обеспечивает плавный разворот стрелы с грузом.

Рис. 10.20. Тяжеловесная грузовая стрела:
1 – салинг; 2 – башмаки; 3, 6, 7 – обухи; 4 – двухшкивные блоки; 5 – топенант-тали; 8 – врезной шкив, 9 – стрела; 10 – грузовые тали; 11 – гордень; 12 – бакштаги (оттяжки)– 13 – вертлюжная подвеска; 14– грузовая скоба; 15 – такелажная скоба; 16 – направляющий блок; 17 – вилка шпора стрелы; 18 – сварной фундамент
При работе тяжеловесной стрелой груз крепится не за гак, а за грузовую скобу ввиду ее большей надежности. Грузовая скоба скреплена с вертлюжной подвеской. Использование тяжеловесной стрелы при погрузочно-разгрузочных работах в отличие от применения легких стрел имеет особенности:
– перед подъемом груза стрелу закрепляют оттяжками, после чего поднимают груз, а затем поворачивают стрелу; перед опусканием груза стрела вновь закрепляется оттяжками;
– закрепление стрелы в неподвижном положении осуществляется и с помощью топенант-талей так, чтобы грузозахватывающее устройство оказалось над грузом или намеченным местом его спуска; угол наклонения стрелы к горизонту для уменьшения нагрузки на топенант должен быть максимальным, но в то же время обеспечивать достаточный вылет стрелы.
Краны. Палубные стреловые поворотные краны устанавливаются на верхней палубе и предназначаются для подъема плавсредств и проведения погрузочно-разгрузочных работ. По своей конструкции корабельные краны бывают стационарные и передвижные. Стационарные краны жестко скреплены с набором корпуса корабля. Передвижные краны монтируются на самоходных или несамоходных тележках, передвигающихся по рельсам. Стреловые поворотные краны бывают с постоянным и переменным вылетом стрелы. Как правило, краны устанавливаются в диаметральной плоскости корабля у мест крепления катеров (шлюпок) или у грузовых трюмов.
На кораблях и вспомогательных судах ВМФ устанавливаются, как правило, электрические краны, управляемые с помощью вертикальных контроллеров, устанавливаемых на палубе или кране; они снабжены устройством для автоматического стопорения в случае прекращения подачи электроэнергии. Краны сочетают механизмы подъема груза, поворота и вылета стрелы. Механизмы подъема груза могут быть одно-, двух– и трехскоростными; механизмы поворота – одно– и двух скоростными.
Большинство стреловых поворотных кранов имеют следующие характеристики:
Максимальный вылет стрел от оси вращения 12–14 м.
Грузоподъемность от 1 до 6 тс.
Скорость подъема груза от 20 до 50 м/мин.
Скорость вращения поворотной части от 1 до 1,8 об/мин.
Наибольший угол крена и дифферента корабля для нормальной работы крана не более 5–6°.
На рис. 10.21 показан электрический стреловой поворотный кран КЭ-26, который имеет следующие данные:

Рис. 10.21. Стреловой поворотный кран КЭ-26:
1 – кронштейн уравнительного устройства; 2 – стрела; 3 – грузовой блок; 4 – ограничитель подъема груза; 5 – гак; 6, 7 – барабаны лебедки; 8 – поворотная платформа; 9 – неподвижная опорная часть крана; 10 – зубчатый венец; 11 – ведущая шестерня; 12 – портал; 13 – тяга; 14 – поворотный рычаг; 15 – шпулька; 16, 19 – шариковые обоймы; 17 – опорное кольцо; 18 – корпус опорной части
Вылет стрелы:
– максимальный – 14 м;
– минимальный – 5 м.
Грузоподъемность при максимальном вылете – 3/5 тс**.
Скорость подъема груза:
– весом 3 т – 50 м/мин;
– весом 5 т – 28 м/мин.
Скорость опускания груза:
– весом 3 г – 10 м/мин;
– весом 5 т – б м/мин.
Скорость вращения крана – 1,5 об/мин.
Максимальная высота подъема груза при вылете стрелы 14–30 м.
Высота гака над палубой при максимальном вылете стрелы – 7,5/5,3**.
Максимальная мощность электродвигателей:
– механизмов подъема – 32 квт;
– механизма изменения вылета стрелы – 16 квт;
– механизма поворота – 22 квт.
Полный вес крана – 15,2/13,5 г**.
Неподвижная опорная часть крана несет на себе поворотную платформу с порталом и состоит из корпуса и массивного опорного кольца. На это кольцо с помощью двух рядов шариков опираются шариковые обоймы поворотной части, скрепленные шпильками. На поворотной платформе смонтированы механизмы подъема груза, изменения вылета стрелы и поворота, а также их электрооборудование, кабина крановщика и др. В центре платформы размещен токоприемник.
Ходовой лопарь грузового шкентеля закреплен на барабане двухскоростной планетарной лебедки, внутри которой размещен планетарный редуктор, соединенный через муфту с электродвигателем. Вращающий момент последнего передается барабану. Рядом с грузовым барабаном на поворотной платформе крана установлен механизм изменения вылета стрелы, состоящий из электродвигателя и планетарной ходовой лебедки. Ходовой конец полиспаста механизма вылета стрелы закреплен на барабане; коренной – на оси ноковых блоков стрелы. Изменение вылета стрелы возможно как с грузом, подвешенным на гаке, так и без него. Стрела без груза может быть опущена в горизонтальное положение для установки ее по-походному на металлическую подставку, закрепленную на палубе. Для обеспечения постоянной высоты груза над палубой в момент изменения наклона стрелы и при неработающем механизме подъема служит тяга, которая соединяет стрелу и поворотный рычаг, жестко скрепленный с качающимся кронштейном грузовых блоков. С изменением наклона стрелы кронштейн блоков поворачивается, что приводит к соответствующему изменению длины свисающего с блока на конце стрелы грузового шкентеля.
Вращение платформы осуществляется электродвигателем через планетарный редуктор и фрикционную муфту, присоединенную к центральной ведущей шестерне, которая обкатывается по неподвижному зубчатому венцу опорной части. Грузовой шкентель имеет ограничитель подъема груза.
Механизмы подъема и поворота крана КЭ-26 имеют электромагнитные двухколодочные стопорные тормоза нормально замкнутого типа. Выключение колодочного тормоза происходит одновременно с включением двигателя приводного устройства; торможение – в момент его остановки.
Отдельные корабельные краны небольшой грузоподъемности могут дополнительно иметь ручные приводы на случай выхода из строя электрического.
Прочность такелажа у стреловых поворотных кранов рассчитывают по формулам для грузовых стрел.
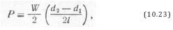
При использовании грузоподъемных устройств груз закрепляют с помощью стропов, закладываемых на гак или скобу. Допустимый вес груза Wm а x в кг на стропах

где Rраз – разрывная крепость стропа, кгс;
М – число ветвей, за которые подвешен груз;
п – коэффициент запаса прочности стропа (для стального троса п > 12; пенькового троса п > 20; сварных цепей п > 6);
а – угол наклона ветви к вертикали, град.
* Формулы (10.15) -(10.18) справедливы, если лопарь выходит из верхнего блока талей. Если же он выходит из нижнего блока, то в знаменателе вместо N должно быть N + 1.
** В числителе указаны цифры при установке крана на специальной пустотелой колонке, возвышающейся над палубой; в знаменателе – при креплении его опорной части непосредственно на палубе.
10.3. Простейшие приспособления для грузоподъемных работ
Домкрат – простейший подъемный механизм малого размера и веса, дающий большой выигрыш в силе. Применяется для подъема грузов большого веса на небольшую высоту. По принципу работы домкраты подразделяются на винтовые, реечные и гидравлические.
В и н т о в ы е д о м к р а т ы (рис. 10.22, а) имеют данные: грузоподъемность 1 -10 тс при высоте подъема 250–400 мм; собственный вес 15–100 кг. Удобны для применения в стесненных условиях. Подвижная каретка домкрата позволяет точно установить его под поднимаемый груз.
Р е е ч н ы е д о м к р а т ы (рис. 10.22, б), имея низко расположенную подъемную лапу, обеспечивают подъем груза весом 1–10 тс на высоту 300–400 мм. Собственный вес домкрата 40–80 кг. Тормозное устройство выполнено в виде храповика с собачками.
Г и д р а в л и ч е с к и е д о м к р а т ы (рис. 10,22,0) широко применяются при выполнении работ, связанных с подъемом очень тяжелых грузов (10–30 г) на небольшую высоту (до 1 м). Возможность применения нескольких домкратов обусловливается тем, что под их поршни под давлением подается вода или масло от одного насоса, что обеспечивает одновременный и одинаковый по высоте ход всех поршней. Стопорятся гидравлические домкраты перекрытием подачи рабочей жидкости.

Рис. 10.22. Домкраты:
а – винтовой; б – реечный; в – гидравлический;1 – головка; 2 – трещотка; 3– ручка; 4 – рейка; 5 – сальник; 6 – поршень; 7 – насос. 8 – кран; 9 – цилиндр; 10 – лапа; 11 – каретка; 12-станина; 13 – гайка; 14 – винт
При использовании домкратов следует всегда помнить, что при их значительной грузоподъемности опорные площади (под головку и фундамент) требуют достаточной прочности и жесткости используемых конструкций.
Рычаг – жесткий, несгибаемый, прямой или ломаный стержень (рис. 10.23), имеющий точку опоры (вращения) О, а также точки A и B, к которым приложены две силы: прилагаемое усилие Р и вес груза W.

Рис. 10.23. Виды прямого и ломаных рычагов
Плечами сил W и Р называется отстояние точек приложения этих сил от точки вращения рычага О, равное во всех случаях длине перпендикуляров, опущенных из точки вращения О на направление сил и Р.
Из курса физики известно, что равновесие рычага будет в том случае, если произведения приложенных к нему сил на свои плечи равны между собой:

М е т а л л и ч е с к и й лом является простейшим рычагом и широко применяется для подъема тяжелых грузов при подкладывании под них тележек или катков, а также для заводки стропов. Если металлический лом на своем носке снабжен роликом, то он позволяет легко передвинуть груз на небольшое расстояние или развернуть его в нужном направлении. Лом дает возможность получить значительный (до 20 раз и более) выигрыш в прилагаемой силе при подъеме и передвижении груза.
Пример. Определить усилие на рукоятку роликового лома длиной 1,5 м (длина носка лома 8 см), чтобы приподнять ящик весом 1,5 т и завести под него стропы. Р е ш е н и е. Чтобы приподнять одну сторону ящика, необходимо приложить силу, вдвое меньшую его веса:

Рычаг дает выигрыш в силе, равный отношению длины лома к длине носка:

Усилие Р, которое необходимо приложить к рукоятке лома:

В а г а – металлический лом значительной длины или деревянное крепкое бревно. Вага имеет высокие точки опоры и позволяет поднимать тяжелые грузы на значительную высоту.
На рис. 10.24 показано применение ваг для создания крена на мелких судах, например, для ремонта подводной части. При подсыпке песка в надстроенный на конце ваги ящик будет создаваться все больший крен судна, т. е. будет иметь место равенство Pl=Wa.

Рис. 10.24. Применение ваги для создания крена на небольших судах:
ВЛ – ватерлиния до накренивания судна; В1 Л1 – ватерлиния после накренивания судна; W – вес судна; С – центр погруженного объема; Р – вес насыпного груза
В ы м б о в к и – длинные горизонтальные рычаги (металлические или дубовые), применяемые для ручного вращения шпиля или ворота при вытаскивании небольших судов на берег. Система рычаг – ворот может использоваться и во многих других подобных работах.
Клин – разновидность наклонной плоскости, на которой удерживается груз (рис. 10.25).

Рис. 10.25. Разложение сил на наклонной плоскости
Из подобия треугольников NOK и ABC следует, что
т. е. при равновесии сила, действующая параллельно основанию наклонной плоскости, во столько раз меньше силы, действующей перпендикулярно к ней, во сколько раз высота наклонной плоскости меньше ее длины. Клин (рис. 10.26) дает значительный выигрыш при действии на него ударной силы (удар тяжелого молота или кувалды). Из параллелограмма сил A B C D следует, что выигрыш в силе, даваемый клином, равен отношению

где N – распирающая сила;
Р – ударная сила молота.

Рис. 10.26. Применение клина:
а – расклинивание груза; б – расклинивание киль-блока
Клин часто применяется для подклинивания тяжелых грузов при заводке под них стропов, для расклинивания (жесткого закрепления) грузов на корабле, киль-блоков при стоянке корабля в доке или при его установке на слипы и эллинги.
Каток нашел широкое применение при выполнении работ, связанных с передвижением различных грузов. Обычно для этого используется три-четыре катка одинакового диаметра. Целесообразнее применять металлические катки, состоящие из труб достаточной жесткости. Каток по возможности следует брать толще, так как сила, требующаяся на перемещение груза, уменьшается пропорционально увеличению диаметра катка.
Если каток (рис. 10.27) за один оборот проходит расстояние, равное длине его окружности, то центр катка передвинется на то же самое расстояние; на это же расстояние ЛВ переместится по катку и груз, а относительно палубы он пройдет расстояние, в два раза большее, чем каток.

Рис. 10.27. Действие катка:
А – конец оборота катка; В – начало оборота катка
Если катки идут параллельно один другому, движение перемещаемого груза происходит прямолинейно и перпендикулярно к каткам. Если в процессе передвижения груз необходимо развернуть, катки ставят под углом, и тогда центр вращения груза будет находиться примерно в точке пересечения линий осей катков.
Ворот является простейшей грузоподъемной машиной. Состоит из вала, на который навивается трос или цепь с помощью одной или нескольких рукояток (вымбовок), и станины. В зависимости от расположения вала ворот может быть горизонтальным (рис. 10.28) и вертикальным (рис. 10.29).

Рис. 10.28. Ручная лебедка (ворот горизонтальный):
1 – подшипник; 2 – рукоятка тормоза; 3 – штанги-болты; 4 – рукоятка; 5 – рама; 6 – вал; 7 – чугунное колесо ленточного тормоза; 8 – ленточный тормоз; 9 – зубчатая передача

Рис. 10.29. Кабестан (ворот вертикальный):
1 – вымбовка; 2 – барабан; 3 – рабочий конец троса; 4 – крепление ворота; 5 – свободный конец троса
По принципу действия ворот – ломаный рычаг, у которого одно плечо равно радиусу окружности, описываемой рукояткой, другое – радиусу вала. Теоретически выигрыш в силе у ворота равен отношению этих радиусов.
Для получения значительного выигрыша в силе при подъеме или подтаскивании груза применяются дифференциальные вороты, у которых одна половина барабана имеет больший диаметр, чем вторая. При подъеме груза трос навивается на часть барабана большего диаметра и сходит с барабана меньшего диаметра. При вращении рукоятки в обратную сторону груз будет опускаться.
Усилие Р в кгс, которое необходимо приложить к рукоятке вопота:

где W – вес поднимаемого груза, кгс;
d1 и d2 – диаметры соответствующих частей барабана (d2>d1), мм;
l-радиус, описываемый рукояткой ворота, мм.
Для самоторможения груза при остановке вращения рукоятки необходимо, чтобы разница в диаметрах барабана была не более 10%, т. е. d1~0.9 d2. Тогда вследствие трения в блоках, подшипниках барабана и навивающихся на барабан тросах ворот остается в любом положении заторможенным.
Пример. Определить тянущую силу вертикального ворота, на пяти вымбовках которого работают 10 человек. Диаметр вала ворота d=400 мм, длина вымбовки (от оси вала до средней точки приложения усилия двух человек) – 3,2 м. Усилие одного человека при длительной работе на вымбовке примерно составляет 10 кгс.
Р е ш е н и е. Выигрыш в силе, даваемый воротом, будет равен отношению длины вымбовки l к радиусу вала ворота

Усилие на вымбовках, создаваемое 10 человеками:

Отсюда усилие на валу ворота составит










