Текст книги "Справочник по морской практике"
Автор книги: авторов Коллектив
Жанры:
Справочники
,сообщить о нарушении
Текущая страница: 13 (всего у книги 21 страниц)

Т а б л и ц а 9.26
М е р ы п р е д у п р е ж д е н и я н е с ч а с т н ых с л у ч а е в. Ответственность за соблюдение требований по технике безопасности возлагается на командиров боевых частей (начальников служб) и помощника командира корабля – по принадлежности. Перед началом окрасочных работ необходимо проверить и убедиться в надежности и исправности плотов, шлюпок, беседок, спасательных жилетов, средств освещения, индивидуальных средств защиты и спецодежды, приточно-вытяжной вентиляции, противопожарных средств и т. п.

Т а б л и ц а 9.27
В ходе окрасочных работ в зависимости от степени вредности лакокрасочных материалов личный состав должен пользоваться соответствующими средствами защиты. На время работы в закрытых и труднодоступных помещениях выставляются наблюдающие для связи, страховки и оказания помощи. Личный состав, работающий в этих помещениях, должен через каждый час работы выходить на 10–15 мин на свежий воздух.
Удалять старые покрытия следует по возможности без пылеобразования, для чего очищаемые поверхности смачиваются водой. Использование паяльных ламп и других горелок для удаления старых покрытий категорически запрещается. В местах работ и хранения лакокрасочных материалов курение, пользование открытым огнем, образование искр от каких бы то ни было источников, а также разбрасывание по кораблю ветоши, смоченной олифой и другими лакокрасочными материалами, не допускается.
На кораблях лакокрасочные материалы должны храниться с этикетками «Огнеопасно», «Взрывоопасно» или «Яд» в специально оборудованных помещениях с хорошей вентиляцией и надежно действующими противопожарными средствами.
Для подкраски в период эксплуатации на корабле разрешается хранить лакокрасочные материалы в количестве не более 5% годовой нормы; ответственность за их хранение возлагается на помощника командира. На подводных лодках и катерах хранение лакокрасочных материалов вообще запрещается.
По окончании окрасочных работ личный состав должен тщательно вымыться под душем с мылом и удалить оставшуюся на коже краску. Одежду и спецодежду тщательно выстирать. В дальнейшем стирать спецодежду несколько раз (не реже одного раза в неделю), так как, пропитанная лакокрасочными материалами, она во время хранения способна самовозгораться.
Раздел четвертый. Погрузочно-разгрузочные работы на корабле
Глава 10. Грузоподъемные устройства корабля
10.1. Гордени и тали
Гордень – простейшая снасть, применяемая на ко– рабле для подъема тяжестей и при управлении парусами (рис. 10.1). Состоит он из троса (шкентеля), продетого в блок, который подвешен в неподвижной точке; выигрыша в силе не дает, но облегчает подъем груза изменением направления тяги. Конец троса горденя, к которому крепится поднимаемый груз, называется коренным концом; конец, к которому прилагается усилие для подъема (опускания) груза, – ходовым концом или лопарем. В зависимости от характера применения и места крепления гордени разделяются на грузовые, нок-гордени, сей-гордени и бегун-гордени.

Рис. 10.1. Блок неподвижный
Г р у з о в о й г о р д е н ь применяется для подъема грузов с помощью грузовой стрелы или крана. Шкентель на своем коренном конце имеет коуш с гаком или другое приспособление для крепления груза.
Н о к – г о р д е н ь служит для подъема небольших грузов с плавсредств, находящихся у борта корабля, и крепится за обух бугеля у нока рея мачты.
С е й – г о р д е н ь предназначается для подъема на мачты и реи беседок с людьми. Он крепится за обух бугеля на топе мачты.
Б е г у н – г о р д е н ь служит для подъема на стеньгу и реи беседок с людьми и материалами. Он крепится за обух бугеля на топе стеньги.
Р а с ч е т ы по и с п о л ь з о в а н и ю г о р д е н я. Перед подъемом грузов, особенно беседок с людьми, необходимо подобрать трос соответствующей прочности и рассчитать напряжение в месте крепления блока.
Шкив неподвижного блока горденя – рычаг второго рода с одинаковыми плечами (радиусами шкива). Усилие, прилагаемое к лопарю горденя при подъеме груза, будет несколько большим, чем вес поднимаемого груза, за счет трения шкива в блоке и преодоления сопротивления на изгиб лопаря при прохождении его через шкив.
Для изменения направления тяги лопарь горденя может проводиться через отводные неподвижные блоки (канифас-блоки), закрепленные на палубе или надстройках корабля. В этом случае величина прилагаемого усилия будет возрастать в зависимости от количества шкивов в отводных блоках. При наличии отводных блоков ходовой конец горденя может быть заведен на лебедку или при работе с ним можно использовать большее количество людей.
Усилие Рг в кгс, которое необходимо приложить к ходовому концу горденя:

где W-вес поднимаемого груза, кг;
N-количество шкивов в блоках, включая и отводные;
nн – коэффициент полезного действия блока*.
При работе со стальным тросом и установкой шкива во втулке скольжения nн~0,96; при установке во втулке качания с шариковыми или роликовыми подшипниками nн~0,98. У звездочек для пластинчатой цепи nн~= 0,95.
Усилие, прилагаемое к лопарю горденя (шкентелю), может быть также определено как произведение веса груза W на коэффициент горденя Кг (табл. 10.1).

Т а б л и ц а 10.1
Тогда усилие Pr в кгс, которое необходимо приложить к ходовому концу горденя:

Напряжение R в кгс, испытываемое ноком рея и блоком в точке его подвески при подъеме груза, находят из равнодействующей приложенных сил согласно законам механики. Для частного случая, когда коренная и ходовая части горденя взаимно параллельны, напряжение

Номинальная нагрузка 5 в кгс на трос и цепь, используемых для оснастки блоков и звездочек:

где Rраз – разрывное усилие троса или цепи, кгс;
п – коэффициент запаса прочности, принимаемый для пеньковых тросов – не менее 8; для стальных тросов – не менее 5 (для шкентелей – не менее 6) и для цепей – не менее 4,5. При подъеме людей во всех случаях n=14.
При недостаточной прочности рея и рей-топенанта крепление горденя или других подъемных устройств к ним запрещается. Следует помнить, что при подъеме людей ходовой лопарь нельзя выбирать с помощью механической тяги; в этом случае необходимо привлекать личный состав, тяговое усилие на одного человека должно быть не более 30 кгс.
Пример. Требуется поднять нок-горденем груз весом 250 кгс. Лопарь горденя проходит через один отводной шкив канифас-блока. Гордень изготовлен из пенькового смоленого троса, ГОСТ 483–55, нормальной прочности.
О п р е д е л и т ь: 1. Напряжение в точке подвеса горденя.
2. Минимальную толщину троса.
3. Количество людей, необходимое для подъема груза.
Р е ш е н и е: 1. Усилие на ходовой лопарь определится из формулы (10.2):

Напряжение в точке подвеса по формуле (10.3):

2. Разрывное усилие троса горденя при запасе прочности п = 8

Для разрывного усилия 2420 кгс по ГОСТ 483–55 находим толщину троса горденя по окружности С = 75 мм.
3. Количество людей при подъеме груза

Если при подъеме или протаскивании груза по палубе один из концов троса горденя закрепить неподвижно, то при выбирании ходового лопаря вместе с грузом будет перемещаться и блок (рис. 10.2). Такое устройство в отличие от горденя дает почти двойной выигрыш в прилагаемом усилии (без учета трения при протаскивании груза).

Рис. 10.2. Блок подвижный
Данное приспособление относится к одношкивным талям (завал-тали у поворотных шлюпбалок и др.). Подвижные блоки применяются в грузоподъемных устройствах для выигрыша в силе. Усилие, прилагаемое к ходовому лопарю одношкивных талей, Рт в кгс:

где W – вес поднимаемого груза, кг;
nН – коэффициент полезного действия блока;
N– количество шкивов в блоках, включая отводные.
Тали (полиспаст) – грузоподъемное устройство, состоящее из двух блоков: подвижного и неподвижного и основанного в их шкивах троса, называемого лопарем (рис. 10.3). Конец лопаря, прикрепленный к блоку, называется коренным концом; конец, идущий на лебедку или обтягиваемый вручную,– ходовым. Ходовой лопарь талей может выходить из подвижного или неподвижного блока. Неподвижный блок талей обычно крепится к нокам шлюпбалок, стрел, кранов, рангоуту, надстройкам и т. п.; подвижный соединен своим гаком, скобой или другим приспособлением с поднимаемым грузом и перемещается вместе с ним.

Рис. 10.3. Тали:
а – ходовой лопарь выходит из подвижного блока; б – ходовой лопарь выходит из неподвижного блока
По числу шкивов в обоих блоках тали разделяются на двух-, трех-, четырех-, шести-, восьми-, десяти– и двенадцатишкивные. В зависимости от назначения тали имеют специальные названия.
Д в у х ш к и в н ы е тали применяются в качестве завал-талей у грузоподъемных стрел и для обтягивания снастей такелажа.
Т р е х ш к и в н ы е тали (хват-тали) состоят из одношкивного и двухшкивного блоков с коренным концом, закрепленным за одношкивный блок. При подъеме груза неподвижным является двухшкивный блок; при протаскивании груза по палубе выгоднее неподвижным иметь одношкивный блок. Применяются при подъеме или протаскивании небольших грузов вручную, а также для подъема и управления парусами на парусных судах, постановки и уборки трапов.
Ч е т ы р е х ш к и в н ы е тали применяются главным образом для подъема небольших корабельных шлюпок и могут быть использованы для подъема и протаскивания груза. Г и н ц ы – небольшие тали с одинаковым числом шкивов в обоих блоках, закрепленных напостоянно; предназначены для обтягивания и крепления снастей такелажа.
Г и н и – тали, имеющие шесть шкивов и более в обоих блоках; предназначены для подъема тяжелых грузов, больших шлюпок, моторных катеров. Р а с ч е т ы по и с п о л ь з о в а н и ю т а л е й. При работе талями вес груза (без учета трения в шкивах блоков и усилия на изгиб лопаря) распределяется равномерно на количество лопарей, идущих от подвижного блока к неподвижному. Так, например, для шестишкивных талей (рис. 10.4) тяговое усилие Р составляет 1/6 веса поднимаемого груза. Теоретически такое же усилие (рис. 10.5) будет и при использовании пяти– шкивных талей при протаскивании груза по палубе (без учета сил трения груза о палубу), если ходовой лопарь выбирать в сторону перемещаемого груза, т. е. в направлении от подвижного блока к неподвижному.

Рис. 10.4. Использование шестишкив– ных талей при подъеме груза

Рис. 10.5. Использование пятишкивных талей при протаскивании груза
Сила тяги Р в кгс при протаскивании груза с учетом сил трения

где f – коэффициент трения скольжения (табл. 10.2);
Q – нормальное давление груза, кгс.

Т а б л и ц а 10.2
В действительности выигрыш в прилагаемом усилии будет меньше, так как часть усилия затрачивается на преодоление трения в шкивах и на сопротивление изгибу лопаря, проходящего через блоки. Для уменьшения величины этих дополнительных усилий необходимо тщательно готовить тали: правильно подбирать толщину и гибкость троса, расхаживать шкивы, смазывать нагели, а также применять блоки с роликовыми и шариковыми подшипниками.
Тали, основанные новым тросом, выбираются труднее, чем тросом, бывшим в работе; мокрый растительный трос выбирается труднее сухого. Промерзшие тали использовать не рекомендуется. Потери на трение в каждом шкиве блока составляют 2–10% веса поднимаемого груза. Так, для талей со стальным лопарем и с блоком на шариковых подшипниках наименьшее значение потерь на трение будет 2–3,5%; для талей с пеньковым лопарем наибольшее значение – 8–10%. С достаточной для практики точностью принято учитывать увеличение натяжения на каждый шкив блока для стальных тросов на 1/10 веса поднимаемого груза; для растительных тросов – на 1/6.
Усилие Рт в кгс, прилагаемое к ходовому лопарю талей, идущему из неподвижного блока, при подъеме груза

а усилие, прилагаемое к ходовому лопарю талей, идущему из подвижного блока:

где N – суммарное количество шкивов в обоих блоках;
К – коэффициент, значение которого для стального троса К~10; для растительного троса К~6;
W – вес поднимаемого груза, кг.
Для более точных расчетов следует пользоваться следующими формулами.
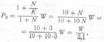
Если ходовой лопарь выходит из подвижного блока:

Если ходовой лопарь выходит из неподвижного блока:

Пример. Спасательная шлюпка весом 1,7 т поднимается шлюпбалкой, вооруженной шестишкивными гинями. Ходовые концы лопарей последовательно проходят отводные шкивы на шлюпбалках и канифас-блоках на палубе. Тяговое усилие на одного человека при подъеме должно быть не более 30 кгс.
О п р е д е л и т ь: 1. Нагрузку на каждый нок шлюпбалки.
2. Толщину лопаря талей бельного пенькового трехпрядного троса нормальной прочности Г О С Т 483–55.
3. Число людей для подъема шлюпки вручную.
Р е ш е н и е: 1. На каждую голову шлюпбалки будет приходиться примерно половина веса шлюпки. Усилие, прилагаемое к ходовому лопарю, выходящему из канифас-блока на палубе, Р = Кг Рт:

Отсюда

Нагрузка на голову шлюпбалки

2. Разрывное усилие троса при запасе прочности n=10:

По ГОСТ 483–55 в графе «Разрывное усилие» подыскиваем разрывную крепость троса, близкую к расчетной, последняя будет 3686 кгс. Этой прочности соответствует толщина троса по окружности С = 90 мм.
3. Число людей для подъема шлюпки вручную

Т а л и за т а л и. В тех случаях, когда величина выигрыша при использовании одних талей недостаточна, можно работать двумя талями – «тали за тали».
При этом выигрыш в прилагаемом усилии от использования обоих талей будет равен произведению выигрышей от каждых талей в отдельности. На рис. 10.6 показана работа двумя талями.

Рис. 10.6. Заводка талей за тали:
а – тали четырехшкивные с ходовым лопарем, проходящим через отводной канифас-блок В; б – трехшкивные контртали
При использовании в обоих талях растительного троса выигрыш четырехшкивных талей

Выигрыш трехшкивных талей

Общий выигрыш в прилагаемом усилии от применения двух талей

О с н о в ы в а н и е т а л е й производится тросом, подобранным по прочности и размерам шкивов блоков.
На рис. 10.7 показана оснастка трех-, четырех– и пяти– шкивных талей. Трос в последовательности, указанной на рисунке цифрами 1, 2, 3, 4, 5, проводят через все шкивы блоков по часовой стрелке или против, а затем крепят его коренной конец. При неодинаковом числе шкивов в блоках коренной конец лопаря крепится к блоку с меньшим количеством шкивов; при одинаковом числе – к блоку, из которого выходит ходовой конец лопаря. Ходовой конец лопаря талей, имеющих пять и шесть шкивов, должен выходить из среднего шкива трехшкивного блока. При работе с основанными талями ходовой лопарь должен идти в плоскости шкива.

Рис. 10.7. Оснастка талей:
а – трехшкивных; б – четырехшкивных; в – пятишкивных
Механические тали. При работе с большими тяжестями, особенно в стесненных условиях, применяются механические тали, подъемная сила которых достигает 10–15 тс и более. Они поднимают груз плавно, без рывков, но с небольшой скоростью (0,15–2,65 м/мин). В настоящее время используются механические тали, имеющие подъемное устройство с ручным и электрическим приводами. Скорость выбирания ходовой цепочки вручную составляет около 30 м/мин.
М е х а н и ч е с к и е т а л и с ч е р в я ч н о й пер е д а ч е й (рис. 10.8) состоят из корпуса с гаком для подвески талей и гаком для крепления груза. Бесконечная такелажная цепочка проходит через кип приводного колеса, на оси которого имеется червяк. Вращение приводного колеса через двухзаходную червячную передачу передается на грузовую звездочку. Торможение талей осуществляется грузоупорным тормозом. При вращении приводного колеса в сторону, соответствующую подъему груза, грузовая звездочка сокращает длину нагруженной части грузовой цепи; при вращении приводного колеса в противоположную сторону длина нагруженной части грузовой цепи увеличивается. Коэффициент полезного действия талей в зависимости от конструкции тормозной части колеблется в пределах 0,35–0,75. Передаточное число привода i = ll/20. Высота подъема груза 3 м (по требованию заказчика может быть до 12 м). Технические характеристики механических талей с червячной передачей ( Г О С Т 1107–62) указаны в табл. 10.3.

Рис. 10.8. Механические тали с червячной передачей:
1 – гак для подвески талей; 2 – червячное колесо– 3 – корпус; 4 – грузовая звездочка; 5 – приводное колесо: 6 – такелажная цепочка; 7 – грузовой гак; 8 – червяк; 9 – грузоупорный тормоз

Т а б л и ц а 10.3
М е х а н и ч е с к и е т а л и с ш е с т е р е н о ч н о й п е р е д а ч е й изготовляются с зубчатым редуктором обыкновенного типа, планетарной передачей и с приводом от качающейся рукоятки. Технические характеристики механических талей с шестереночной передачей приведены в табл. 10.4.

Т а б л и ц а 10.4. П р и м е ч а н и е. У талей типа А груз подвешен на одной ветви цепи, а у талей типов Б и В – соответственно на двух и четырех ветвях.
Т а л и с з у б ч а т ы м р е д у к т о р о м о б ы к н о в е н н о г о т и п а (рис. 10.9) состоят из корпуса с гаком для подвески талей и гаком для крепления груза.

Рис. 10.9. Механические тали с зубчатым редуктором обыкновенного типа:
1 – гак для подвески талей; 2 – шестерни второй ступени передачи; 3 – приводное колесо; 4 – валик; 5 – нарезая втулка; 6 – диск; 7 -храповик; 8– грузовая звездочка; 9, 11 – зубчатые колеса; 10 – шестерня; 12 – грузовой гак; 13 – собачка
дает вращающий момент шестерне, которая приводит во вращение зубчатые колеса и скрепленные с ними шестерни второй ступени передачи; они вращают зубчатое колесо, неподвижно насаженное на ступицу грузовой звездочки. Одновременно приводное колесо, перемещаясь по резьбе втулки, прижимает храповик к диску; сила трения, возникающая между ними, вращает диск вместе с валиком. Собачка, установленная на корпусе талей, свободно идет по храповику. Как только тали будут остановлены, зуб собачки войдет в сцепление с храповиком и самопроизвольного опускания груза не произойдет.
При опускании груза приводное колесо вращается в обратную сторону, ступица колеса несколько отходит от храповика, сила трения уменьшается и диск вместе с валиком плавно поворачиваются в сторону спуска, выводя зуб собачки из сцепления с храповиком. Если скорость вращения валика будет превышать скорость вращения колеса (при быстром опускании груза), произойдет притормаживание груза из-за того, что ступица колеса вновь переместится по втулке и прижмет храповик к диску.
П л а н е т а р н ы е т а л и (рис. 10.10) имеют более значительный вращающий момент на грузовом валу, чем тали с зубчатым редуктором. Солнечное колесо изготовлено как одно целое с приводным валиком. Неподвижный венец с внутренними зубьями, по которым катятся два сателлита, закреплен на корпусе талей, а ступица водила закреплена на ступице грузовой звездочки. Тормозное устройство аналогично тормозному устройству талей с зубчатым редуктором обыкновенного типа. Коэффициент полезного действия талей с шестереночной передачей от 0,75 до 0,90.

Рис. 10.10. Механические тали с планетарной передачей:
1 – ступица водила; 2 – неподвижный венец; 3 – сателлит; 4 – солнечное колесо; 5 – грузовая звездочка; 6 – приводной валик
Л е г к и е п о д в е с н ы е ш е с т е р е н о ч н ые т а л и с п р и в о д о м от к а ч а ю щ е й с я рук о я т к и (рис. 10.11) состоят из приводного вала шестерни, приводной рукоятки с трещоткой, грузового вала с зубчатым колесом и цепной звездочкой. На звездочку надета пластинчатая шарнирная цепь, одна из ветвей которой имеет грузовой гак. Второй гак служит для подвески талей.

Рис. 10.11. Механические шестереночные тали с приводом от качающейся рукоятки:
1 – вал шестерни; 2 – приводная рукоятка; 3 – трещотка; 4 – грузовой вал; 5 – зубчатое колесо; 6 – цепная звездочка
Грузоподъемность талей 1 – 3 тс, перемещение груза по высоте 1,25 м, усилие на рукоятке 26–32 кгс, вес талей 12–25 кг.
Дифференциальные тали (рис. 10.12) являются разновидностью механических талей и применяются при выполнении различных работ. Они состоят из двух блоков: верхнего неподвижного двухшкивного со шкивами, имеющими разные диаметры, но отлитыми как одно целое (обычно соотношение диаметров шкивов 7:8) , и нижнего подвижного одношкивного блока, шкив которого имеет диаметр меньше, чем наименьший верхний блок. Шкивы блоков имеют кипы с гнездами для проводки бесконечной такелажной цепочки. Замкнутая часть такелажной цепочки обычно равна четырем высотам подъема груза.

Рис. 10.12. Дифференциальные тали:
1 – двухшкивный неподвижный блок; 2 – одношкивный подвижный блок; 3 – такелажная цепочка
Теоретический выигрыш в силе дифференциальных талей находится в зависимости от соотношения радиусов шкивов верхнего блока

где Рх – усилие, прилагаемое для подъема груза без учета трения и сопротивления изгибу такелажной цепочки, кгс;
W– вес поднимаемого груза, кг;
R – радиус большего шкива верхнего блока, см;
r – радиус меньшего шкива верхнего блока, см.
При соотношении радиусов шкивов верхнего блока 7:8 теоретический выйгрыш талей будет равен

Практически выигрыш в силе механических талей можно определить как частное от деления расстояния участка цепочки при ее выбирании на расстояние, которое при этом сделает подвижный блок талей.
Пример 1. Для подъема груза весом 12 т используют механические тали. Определить, какое усилие нужно приложить к ходовой цепочке талей, если при выбирании ее на 10 м подвижный блок с подвешенным к нему грузом поднялся на 40 мм. Величина трения в передаточном механизме талей составляет 40% теоретического выигрыша талей.
Р е ш е н и е. Общий теоретический выигрыш в силе талей т определяется как частное от деления Lц – длины выбранного участка такелажной цепочки на l6 – длину, проходимую подвижным блоком с подвешенным грузом:

Для подъема груза весом 12 тс без учета трения в передаточном механизме талей надо приложить к ходовой цепочке усилие

С учетом трения в передаточном механизме талей общее усилие

Пример 2. Для подъема торпеды весом 2 т на высоту 4 м используются дифференциальные тали, у которых скорость выбирания ходовой цепочки 40 м/мин.
О п р е д е л и т ь: 1. Необходимый калибр цепи, изготовленной из звеньев круглого сечения, и длину цепи, обеспечивающей подъем груза на 4 м.
2. Соотношение диаметров шкивов верхнего неподвижного блока.
3. Скорость подъема груза.
Р е ш е н и е: 1. Каждая ветвь такелажной цепи испытывает нагрузку №: 2 = 2000 : 2 = 1000 кгс, поэтому калибр цепи

Длина цепи талей составит 4 * 4 = 16 м.
2. Соотношение диаметров шкивов верхнего неподвижного блока при работе на ходовой цепочке одного человека

3. Скорость подъема груза

Для удобства работы во внутренних помещениях (ремонт в машинных отделениях больших кораблей и т. п.) механические тали могут подвешиваться к легким четырехколесным тележкам, которые способны передвигаться по двутавровым балкам.
М е х а н и ч е с к и е т а л и с э л е к т р и ч е с к и м п р и в о д о м (рис. 10.13) помимо всего прочего включает электродвигатель с механизмом подъема груза, размещенный внутри грузового барабана, который снабжен винтовой канавкой для наматывания грузового троса.

Рис. 10.13. Механические тали с электрическим приводом:
1-ведущая шестерня; 2 – тихоходное колесо; 3 – шлицевая втулка; 4 – коробка; 5 -электродвигатель; 6 – грузовой барабан; 7 – вал электродвигателя– 8 – быстроходный вал; 9 – дисковый тормоз; 10 – колодочный тормоз
Вал электродвигателя с помощью шлицевой муфты соединен с быстроходным валом двухступенчатого зубчатого редуктора. Ведущая шестерня редуктора изготовлена заодно с валом, проходящим свободно через втулку, на которую с помощью шлиц насажена ступица тихоходного колеса. Шлицевая втулка скреплена с грузовым барабаном. В коробке размещается пусковое устройство.
Электротали имеют два тормоза: стопорный нормально замкнутый колодочный и спускной дисковый грузоупорный. Ограничение свободного хода тросовой подвески грузового гака талей достигается работой конечных выключателей. При подъеме груза выключатель срабатывает от воздействия гаковой подвески талей; при спуске – по оборотам барабана от контрольного счетчика. Корпус талей сварной, в верхней его части имеются проушины для подвески талей к тележке.
С включением электродвигателя одновременно происходит растормаживание стопорного тормоза. Вращающий момент электродвигателя через редуктор и шлицевую втулку передается на грузовой барабан. Скорость опускания груза регулируется дисковым тормозом. С включением электродвигателя стопорный тормоз фиксирует грузовой гак в неподвижном положении.
Механические тали с ручным и электрическим приводами, как всякое грузоподъемное устройство, должно проходить периодические освидетельствования и испытания на годность. На талях должна быть обозначена их рабочая нагрузка.
Механические тали должны содержаться в чистоте и постоянной готовности к работе; трущиеся части необходимо систематически смазывать; особо следить за исправностью стопорных и тормозных устройств.
* nн~ с достаточной для практики точностью может быть принят одинаковым для неподвижных и подвижных блоков.









