Текст книги "История климата с 1000 года"
Автор книги: Эмманюэль Ле Руа Ладюри
Жанры:
Природа и животные
,сообщить о нарушении
Текущая страница: 17 (всего у книги 19 страниц)
После первой волны больших обобщений (Россби, Виллетт, Педелаборд), созданных главным образом с помощью обычных методов подсчета, в последние годы начался великий век электронно-вычислительных машин. Благодаря машинам стало возможным объединение мировых данных о циркуляции воздушных масс на недостижимом до сих пор уровне. Б. Л. Дзердзеевский из Академии наук в Москве – один из ведущих ученых этой новой климатологии, созданной благодаря компьютерам. Будет неплохо вкратце ознакомиться с его теориями. Даже по мнению самого автора, они не являются окончательными. Но они могут временно служить в качестве вех. Они, подобно квалифицированному лектору, осветят историку путь.
Дзердзеевский [103, стр. 189] ставит перед собой задачу объяснить в терминах динамической климатологии флуктуации климата, подобные тем, которые уже известны нам по первой половине XX в. По мнению советского автора, все представляет собой флуктуацию. И соответственно все подтверждает это: метеорологические изменения ото дня ко дню образуют флуктуации по отношению к сезонным и годовым изменениям. Последние также являются флуктуациями относительно процессов большей длительности. А эти процессы – по сравнению с процессами очень большой длительности... и так далее, до наибольшего уровня, соответствующего ледниковым и межледниковым эпохам.
Как при этих условиях типизировать флуктуации в атмосфере Земли, этот первоисточник флуктуаций климата? Для умеренных широт характерна циркуляция воздушных масс двух основных типов: зональная и меридиональная.
Зональная циркуляция – циклоны и антициклоны перемешаются по траекториям, направленным с запада на восток, с тенденцией к кольцеобразному движению вокруг земного шара.
Меридиональная циркуляция – траектории циклонов и антициклонов ориентированы перпендикулярно траекториям возмущений при зональной циркуляции, преобладают оси движения, направленные с севера на юг.
Эта упрощенная схема пригодна, разумеется, лишь для тех районов земного шара, о которых есть давняя и непрерывная информация: это «внетропические» зоны (арктические и умеренные) северного полушария.
Основным материалом для этих исследований послужили синоптические карты атмосферы, разрабатываемые на протяжении более чем шестидесяти лет метеорологическими службами. Дзердзеевский и его сотрудники сопоставили и обработали свыше двадцати тысяч карт такого рода за первые пятьдесят шесть лет XX в.[218]218
В настоящее время эта работа продолжена и материал обработан по 1969 г. включительно. Основные результаты изложены в работе Б. Л. Дзердзеевского «Циркуляция атмосферы» (Циркуляционные механизмы в атмосфере северного полушария в XX столетни). Материалы метеорологических исследований. Междуведомственный геофизический комитет при Президиуме АН СССР. М., ч. 1, 1968; ч. 2, 1970. – Прим, перев.
[Закрыть]
Наши авторы предложили исключительно тонкую проблематику. По данным статистики повторяемостей они определили шесть типов преобладающей циркуляции [104, стр. 291; 238б, II, стр. 841]:
1) северная меридиональная циркуляция,
2) нарушение зональности,
3) зональная западная циркуляция,
4) зональная восточная циркуляция,
5) южная меридиональная циркуляция,
6) отсутствие циркуляции (стационарное положение).[219]219
Под «отсутствием циркуляции» надо понимать не отсутствие циркуляции как таковой, а лишь отсутствие перемещающихся барических образований над данной частью земного шара за рассматриваемый отрезок времени. – Прим. перев.
[Закрыть]
Продолжительность этих шести сменяющих друг друга типов циркуляции была определена для каждого из секторов (атлантический, европейский, сибирский, дальневосточный, тихоокеанский, американский), на которые делится северное полушарие.
Рассмотрим основные и несколько неожиданные выводы из этих исследований, полученные в 1961 г. С 1898 по 1948 г. меридиональная циркуляция была развита относительно слабо [103, стр. 191]. Зато зональная циркуляция была значительно более интенсивной.
Эта интенсификация совпала с усилением солнечной деятельности, которая характеризуется суммарной площадью пятен на поверхности светила. С 1900 по 1954 г. обе кривые (солнечных пятен и западной циркуляции) медленно и синхронно поднимаются, если их сгладить для выявления векового тренда. Действительно ли здесь имеет место корреляция? Или же просто совпадение? Во всяком случае, если бы эти соотношения были подтверждены, старая добрая проблема солнечных пятен и их влияния на нашу планету получила бы новое решение.
Пойдем, однако, дальше, к главному. Уже говорилось о современном климатическом тренде – тенденции к потеплению. Параллельно в последнем полустолетии отмечается интенсификация зональности. Было бы заманчиво сопоставить эти два явления и объяснить первое вторым.
К этому вопросу Дзердзеевский не подошел упрощенно. Его дедукции всегда очень тонкие, со временем они даже становятся еще более тонкими и нюансированными, как можно видеть, если сравнить его доклад на конференции в Нью-Йорке (1961 г.) и статью, которую он передал для Конгресса в Риме (1962 г.) [103—104]. Попытаемся разобраться в этом вопросе при помощи двух указанных публикаций.
Если полагаться на эти публикации, то следует, что в целом, разумеется, именно усилившаяся зональность обусловила климатический процесс большой длительности. И эта общая для всего мира корреляция подтверждается региональными монографическими исследованиями: так, по Бёдо (Норвегия), с 1900 по 1940 г. средняя температура июля повысилась на 2°С, а меридиональная составляющая циркуляции воздушных масс заметно уменьшилась [103, стр. 195]. А для января, опять же по Бёдо, корреляция оказывается еще более выраженной: температура понижается с усилением меридиональной циркуляции (с 1900—1909 по 1910—1919гг.) и, наоборот (с 1910—1919 по 1930—1939гг.).
Однако факты не всегда столь просты, и Пьер Педелаборд в своей великолепной разработке подчеркивал сложность подхода к комплексу проблем «циркуляции». По сравнению с глобальной схемой (зональность—потепление) местные оттенки часто оказываются более сильными и результаты сопоставления (при переходе от одного района к другому, от сезона к сезону) могут меняться даже до прямо противоположных. «Очевидно, что усиление или ослабление зональной циркуляции не вызывает потепления или идентичных изменений температуры и осадков на западных и восточных побережьях материков и что эффект меридиональной циркуляции будет различным для Атлантики, Сибири и других районов» [103, стр. 194; 293].[220]220
Следует также иметь в виду, что различные авторы при типизации и классификации циркуляционных процессов вкладывают различный смысл в определение типа процессов. Процессы, отнесенные одними авторами к зональным, другие авторы относят к меридиональным (в зависимости, например, от того, на какие широты обращается основное внимание при классификации)
[Закрыть]
Возьмем, например, вторжения арктического воздуха в американский сектор (северная меридиональная циркуляция). В январе они сопровождаются понижением температуры в Нью-Йорке и повышением ее в Портленде. Зато в июле в обоих этих городах последствия будут как раз противоположными.
Отсюда видно, какую пользу приносит изучение динамической климатологии. Она позволяет выйти за рамки чересчур общих и неопределенных понятий, таких как «потепление», «похолодание». Она открывает доступ к тонким и сложным и тем не менее цельным концепциям, в которых рассматривается единое поле общей циркуляции. Наконец, исследования в области динамической климатологии ставят проблему связей солнце—циркуляция-климат—погода на несколько менее гипотетическую основу, чем это имело место ранее. Постулат единообразия должен быть полностью справедлив и в этой области: то, что в отношении солнца, циркуляции и климата справедливо для XX столетия, должно быть с соответствующими изменениями (mutatis mutandis) справедливо и для XII или XVII в.
Итак, конкретный вклад историка климата без особого труда увязывается с вкладами других специалистов, ибо между ними осуществляется постоянный плодотворный обмен. Метеорологическая историография создает ряд рабочих гипотез для понимания прошлого, используя достижения современной динамической климатологии. И наоборот, последняя может объединить и дать разумное научное толкование рядам эмпирических данных, полученных историками. Эта правдоподобность дополняется правдивостью фактов, содержащихся в хронологических рядах. Эти два направления исследований (история климата и динамическая климатология) дополняют и подкрепляют друг друга. Они стремятся к общей цели всех наук: они свидетельствуют об универсальности познания.
ПРИЛОЖЕНИЯ
1. СОВРЕМЕННОЕ ОТСТУПАНИЕ АЛЬПИЙСКИХ ЛЕДНИКОВ
Относительно этого «повсеместного» явления, практически продолжавшегося с 1860 по 1955 г., см. (начиная с 1920 г.) главным образом статистические данные, собранные в следующих работах: [266б—е]; [377, стр. 197—199] и особенно [378, стр. 203—207]; [142, стр. 9—26]; [371, стр. 75—85]; [372, стр. 230]; [374]; [89, стр. 421—422]; [257, стр. 22]; [262, стр. 52—56]; [263а, б, в], по J. Glac., т. 1, 1947—1951, стр. 139, 153, 145, 156 и [263г, стр. 110]; а также хроника в J. Glac., т. 1, 1947—1951, стр. 507, 558 и 563 и [263г, стр. 290, 440—441 и 607]; [382]; [343]; см. также общий обзор в [357] и [359] и [238б, особенно стр. 719—721].
2. НЕЗНАЧИТЕЛЬНЫЕ НАСТУПАНИЯ ЛЕДНИКОВ в последние годы (с 1950 или 1960 г.)
О ледниках на Ян-Майене начиная с 1954 г. см.: [211] и [201, стр. 439—447]. О ледниках в Скалистых горах: см. [171, стр. 666—668]; [320, стр. 193], [24, стр. 708]; [180, стр. 47—60]. О Шпицбергене см.: [205]; [383]. О леднике Боссон см.: [238б, стр. 720] (график взят из [42]).
3. О НЕКОТОРЫХ УНИВЕРСАЛЬНЫХ И «КВАЗИМИРОВЫХ» АСПЕКТАХ КЛИМАТИЧЕСКОГО ОПТИМУМА
Общие соображения о различных континентах см.: [65, стр. 1484—1485]; [85, стр. 182—184]; Северная Евразия: [133, стр 40—53]. Америка: [56, стр. 735] (Массачусетский торфяник); [83, особенно стр. 204] (сопоставление Мэн—Ньюфаундленд—Ирландия); [82, стр. 41] (Юго-Запад Соединенных Штатов), [177], и особенно [178, стр. 637—640] (Аляска); [401, стр. 1640] (Мичиган); Колумбия см.: [127, стр. 458] (рис. 1 и легенда к нему). Новая Зеландия: [84, стр. 324]. О температурах океанов и морей в период оптимума см.: [108, стр. 538—579]; [109, стр, 264—276] и [110, стр. 530] (график). О более подробной хронологии см. [238б, стр. 858].
4. ЗИМЫ В XVI СТОЛЕТИИ В АНТВЕРПЕНЕ, ПО ВАН ДЕР BE [370]

А – число зим (в десятилетии), для которых отсутствует документация о термическом режиме;
Б – число суровых зим в десятилетии;
В – число зим, которые упоминаются как зимы с обычными или суровыми морозами;
Г – то же, но упоминаются зимы лишь с обычными морозами;
Д – то же, но упоминаются зимы лишь с суровыми морозами;
Е – число зим, упоминающихся как зимы с «большим количеством снега»;
Ж – число зим, относительно которых есть сведения только о «снеге», без каких-либо качественных определений;
3 – число «теплых» зим;
И – число «очень теплых» зим;
К – число «теплых и очень теплых» зим.
(Само собой разумеется, что, скажем, зима 1500 г. включает декабрь 1499 г., январь и февраль 1500 г. и т. д. События, имевшие место в ноябре, марте и т. д., не учитываются).
Рассмотрев эту таблицу, можно отметить следующее:
1. После 1550 г. информация о термическом режиме скорее уменьшается, чем увеличивается (чего можно было бы ожидать). За 1500—1549 гг. ничего не известно о термических условиях 18 зим, а за 1550—1599 гг. – об условиях 23 зим. Таким образом, за первую половину века есть данные о 32 зимах, а за вторую половину – о 27.
2. Число суровых зим (графа Б) увеличивается с 4 (из 32) в первую половину века до 5 (из 27) – во вторую.
3. Число «морозов» (графа В) изменяется соответственно от 11 (из 32) до 17 (из 27), то есть для обычных зим – от 4 (из 32) до 9 (из 27), а для суровых морозов – от 7 (из 32) до 8 (из 27).
4. Указание «большое количество снега» (графа Е) значительно чаще встречается (от 2 из 32 до 8 из 27) после 1550 г., а более точно – после 1560 г. Напротив, указание просто «снег» встречается реже.
5. С другой стороны, после 1550 г. обнаруживается уменьшение числа «теплых и очень теплых» зим (графа К) от 9 (из 32) до 6 (из 27); и особенно «очень теплых» – от 4 (из 32) до 0 (из 27).
5. ФЕНОЛОГИЧЕСКИЕ РЯДЫ: ДАТЫ СБОРА ВИНОГРАДА
Это приложение содержит:
1) даты сбора винограда на юге Франции;[221]221
Напомним, что даты сбора винограда на севере можно найти в [11] и в [100].
[Закрыть]
2) различные средние (для юга, для центра – севера н национальные) даты сбора винограда в XVI в. (1490—1610 гг.);
3) фенологическую таблицу (по десятилетиям) для XVI в.
1) Даты сбора винограда на юге Франции
а) Прежде всего я приведу названия местностей и номер каждой из них. Данные о местностях №1—75 взяты из фондов Шобо в Авиньоне, из замечательного досье «Виноградники и сбор винограда». Данные о местностях №76—110, расположенных в современном департаменте Эро, за исключением некоторых, взяты из рядов ВВ, дополнительно из СС, FF и НН общинных архивов. 1 – Апт; 2 – Обиньян; 3 – Авиньон; 4 – Бом; 5 – Бедаррид; 6 – Бедуан; 7 – Боллеи; 8 – Бюиссон; 9 – Кабриер; 10 – Кадерусс; 11 – Камо; 12 – Каромб; 13 – Карпентра; 14 – Комон-сюр-Дюранс; 15 – Кавэльон; 16 – Шатонеф-дю-Пап; 17 – Куртезон; 18 – Ле Кресте; 19 – Гадань; 20 – Жигонда; 21—Энтрегю-сюр-ла-Сорг; 22 – Л’Иль; 23 – Жонкьер; 24 – Жука; 25 – Лориоль; 26 – Малосен; 27 – Мальмор; 28 – Мазан; 29 – Мондрагон; 30 – Монтё; 31 – Мормуарон; 32 – Мориа; 33 – Оранж; 34 – Кальсерни; 35 – Перн; 36 – Монастырь августинцев в Перне; 37 – Пиоленк; 38 – Пюимера; 39 – Робьон; 40 – Сэньон; 41 – Сент-Сесиль; 42 – Сен-Дидье; 43 – Сен-Ромен-ан-Вьеннуа; 44 – Сен-Сатурнин-д'Авиньон; 45 – Саррьян; 46 – Соль; 47 – Соман; 48 – Сериньян; 49 – Сорг; 50 – Ле Тор; 51 – Вэзон; 52 – Вальреа; 53 – Веден; 54 – Вильдье; 55 – Виль-сюр-Оз; 56 – Виоле; 57 – Визан; 58 – Владение под опекой Дуслин де Саз; 59 – Мускат епископа; 60 – Корделье д’Авиньон; 61 – Бенедиктен де Сент-Катерин д’Авиньон; 62 – Кордилье д’Авиньон (другой виноградник); 63 – Морьер (на территории Авиньона) (Авиньон, общинный архив, ряд FF); 64 – остальная территория Авиньона (там же); 65 – Авиньон (ряд НН); 66 – день, когда уборка винограда должна была производиться в районе Авиньона (там же, ряд СС); 67 – Авиньон, частные постановления об уборке; 68 – Шартрез де Бонпа а Комон; 69 – Кавельон, различные участки территории, кроме Верга; 70 – Пертюи; 71 – Мускат дю Тор; 72 – Оппед; 73 – Лаваль; 74 – Авиньон (счетная книга одного хозяина в Морьере); 75 – то же в Корамбо; 76 – Валенс (Дром); 77 – Корд (Тарн); 78 – Сен-Жан-дю-Брюль (Авейрон); 79 – Кастр (Тарн); 80 – Сэке (Тарн); 81 – Гэйак (Тарн); 82 – Монпейру; 83 – Гап (Высокие Альпы); 84 – Жиньяк; 85 – Фабрегю; 86 – Фронтиньян; 87 – Марсиляргю; 88 – Монпелье; 89 – Люнель; 90 – Безье; 91 – Аньян; 92 – Лансаргю; 93 – Моджио; 94 – поместье Мерик, около Монпелье; 95 – Лодев; 96 – Шюсклан (Тар); 97 – Нарбонн (Од); 98 – Приказания судебного ведомства Comtat venaissin; 99 – Лодэн (Тар); 100 – Вильфранш-де-Руэргю; 101 – Сессенон-сюр-Орб; 102 – Бордо (Юра); 103 – Жиронда (аббатство Бонлье, архив департамента Жиронда, Н 1136); 104 – Сен-Круа де Бордо (там же, ряд Н); 105 – Сен-Серен де Бордо (там же, ряд G); 106 – Виноградник архиепископа в Бордо; 107—досье сенешаля Бордо, касающееся установления даты сбора винограда капитулом Сен-Сёрен (архив департамента Жиронда, G 1078); 108 – Вальядолид (по Беннассару); 109 – Монпезаан-Кверси, эффективная дата сбора винограда (источники: архив департамента Тарн и Гаронна от G 846 до 848 и III Е, 680 и сл.: [219, стр. 219]; 110 – Пишон-Лонгвиль, Жиронда (этот последний ряд взят в [11]).
б) Таблицы дат сбора винограда в отдельные годы в различных местностях (графа обозначена номером, соответствующим определенной местности). В таблице приведены даты сбора винограда в соответствующей местности, отсчитанные от 1 сентября (цифра 28 соответствует 28 сентября, 34 – 4 октября; 0 – 31 августа; -1 – соответствует 30 августа и т. д.). Даты до 1583 г. (год введения в Лангедоке нового календаря) выправлены автором в соответствии с грегорианским календарем.
Примечание. Цифра 71 в графе 26 за 1602 сомнительна и не учтена в средних, которые приводятся в разделе 2 настоящего приложения, оп – очень поздняя дата, п – поздняя.
2) Фенологические средние XVI столетия
В графе А указаны годы. В графе Б приведены сводные средние [I] (в днях), подсчитанные автором по местным отклонениям от вековых локальных средних дат сбора винограда (1490—1609), для шести локальных станций (центр—север): Дижон, Сален, Бурж, Лозанна, Обонн, Лаво. Местные данные заимствованы в [11].
В графе В даны сводные средние, рассчитанные так же, как средние в графе Б, для юга (по данным настоящего приложения, раздел 1).
В графе Г приведены средние из показаний в графах Б и В (средняя «национальная»).
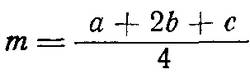
В графе Д указаны средние скользящие с периодом три года, вычисленные по данным графы Г, то есть берутся данные за три последовательные года (a, b и с), содержащиеся в графе Г. Скользящая средняя т, соответствующая году с данными b, определяется по формуле:
















Для последующего периода (1610—1791 гг.) см. таблицу «Даты сбора винограда, 1599—1791 гг.» (идентичную по построению предшествующей таблице) в моей книге «Крестьяне Лангедока», т. II, прил. 1, стр. 749 [231] (и методологию, там же, т. I, стр. 18 и сл., особенно стр. 22—23).
3) Фенологическая таблица (по десятилетиям) для XVI столетия
Пояснения к таблице:
N – число лет (за десятилетие) с ранними датами сбора винограда (более ранними, чем в среднем за век, это годы, которые отмечены знаком «—» в графе Д предыдущей таблицы.
J – число дней опережения средней даты – сумма всех отрицательных отклонений (в днях опережения), которые характеризуют вышеупомянутые годы с ранними датами. Например, если взять десять лет, 1501—1510 гг. (графа Д таблицы раздела 2), то J будет равно (−6) + (−4) + (−5,2) + (−3,2) + (−1,8) + (−0,5) + (−1) + (−0,2) = −21,9.
NJ соответствует N×J.
То же относится к годам с поздними датами сбора винограда (положительные отклонения в графе Д таблицы раздела 2), для которых были проведены те же операции с N' и J' и их произведением N'J'.
Наибольший интерес представляет изменение величины произведения N1 (см. комментарии к гл. V и рис. 29).

* Для 1492—1500 гг. «десятилетняя» норма рассчитана исходя лишь из данных за девять лет и в графах и N'J' она приведена к «десятилетней» (путем деления на 9 и умножения на 10).
** Десятилетняя норма рассчитана по данным за 8 лет и приведена к десятилетней в графах NJ и N'J'.
6. СРЕДНЯЯ ТЕМПЕРАТУРА В АННЕСИ (в градусах Цельсия)
Источник: [266д, стр. 104] (расчеты выполнены автором на основе десятилетних средних, приведенных у Мужена).

7. ПОЯСНИТЕЛЬНЫЕ ЗАМЕЧАНИЯ К ДИАГРАММАМ, ПОЛУЧЕННЫМ В АСПЕНЕ[222]222
Содержащаяся в этих пояснениях библиография обязана своим появлением главным образом работе [389] (для каждой диаграммы сначала указана фамилия автора, а затем использованные им источники данных).
[Закрыть]
XI в.
XI-1: Херлихи; Monumenta Germaniae historica, см. [175].
XI-2: Хеллейнер; [391]; [80]; [369]; [47].
XI-3: Менли; [20]; [47]; [369]; [339]; [340].
XI-4: Лэмб (см. XI-6).
XI-5: Лэмб; [55].
Х1-6: Лэмб; [174]; [105]; [26]; [369]; [55].
XI-7: Менли (см. XI-3).
XI-8: Гиддингс; источник и принципы построения индексов, см.: [149, стр. 26—32]; [150, стр. 105—110] и [151].
XI-9: Херлихи (см. XI-1).
XI-10: Хеллейнер (см. XI-2).
Х1-11: Менли (см. XI-3).
XI-12: Лэмб; [391].
XI-13: Лэмб (см. XI-15).
XI-14: Лэмб; [55].
XI-15: Лэмб; [174]; [55]; [369]; [26]; [47] и [275].
XI-16: Лэмб; [362]. Для периода с 822 по 1321 г. нашей эры (IX—XIII вв. – период, заключающий XI в.) среднее из низких уровней составляет 11,64 м, а средний уровень для высокой воды равен 17,59 м.
XI-17: Лэмб (см. XI-16).
XI-18: неопубликованный ряд, любезно предоставленный Фритсом.
Индекс 100 – средний годовой прирост деревьев по данным за последнее тысячелетие.
XI-19: Ле Руа Ладюри; о леднике Алеч см. [282] и Radiocarbon Supplement, American Journal of Science, т. 1, стр. 138; ископаемый лес на леднике Гриндельвальд описан в [163] и датировки приведены в Radiocarbon Supplement, т. 3, стр. 44.
Х1-20: Херлихи (см. XI-1).
Х1-21: Хеллейнер; [80]; [369]; [47].
XI-22: Менли (см. XI-3).
XVI в.
XVI-1; Ле Руа Ладюри; [105].
XVI-2; Хеллейнер; [369].
XVI-3; Менли; по [20]; [369]; [273] и различные архивные источники.
XVI-4; Ле Руа Ладюри; архивы департамента Эро и фонды Шобо в музее Кальве в Авиньоне и т. Д. (см. Приложение 5).
XVI-5; Хеллейнер; [391].
XVI-6; Лэмб; [26]. Даты отсчитываются от 1 января рассматриваемого года. Ордината, равная 87 (18 марта), соответствует средней дате открытия порта за период с 1900 по 1949 г. [26].
XVI-7: Аракава; [15аг]. Точка 0 соответствует средней дате полного замерзания озера в XVI столетии (8 января по грегорианскому календарю). Линия, разделяющая черные и белые прямоугольники, соответствует средней дате замерзания (11 января), определенной для периода 1720—1953 гг.
XVI-8; Лэмб (см. XI-6); а также [273] и [365].
XVI-9: Хиральт; Исторические муниципальные архивы Барселоны (Arxiu Historic Municipal), серия ,,Ordinacions“ и „Dietari de l’Antic conseil Barceloni“ (не опубликовано).
XVI-10: Ле Руа Ладюри; [63].
XVI-11: Лэмб; [168].
XVI-12: Ле Руа Ладюри; сведения об урожаях, имеющиеся в капитуле Нарбонна, Безье, Агд (архивы департаментов Од и Эро, серия G и дела нотариусов из Агда).
XVI-13; Хиральт (см. XVI-9).
XVI-14: Ле Руа Ладюри и Хеллейнер; [63]; [369].
XVI-15: Аракава [156, стр. 147 150]; [15д, стр. 559—600].
Точка 0 соответствует средней для XVI в. дате зацветания по грегорианскому календарю (17 апреля). Линия, разделяющая черные и белые прямоугольники, соответствует средней дате зацветэния, определенной для «полного» ряда «вишневых празднеств», распространяющегося на период с IX по XIX столетие. Эта средняя дата – 15 апреля (см. [15а]).
XVI-16: Ле Руа Ладюри (см. Приложение 5).
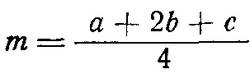
XVI-16 бис: Ле Руа Ладюри (см. XVI-16). Пусть b – отклонение (в днях) для данного года, а —отклонение для предыдущего года и с – отклонение для последующего года. Скользящая средняя т для года, соответствующего b, рассчитывается по формуле

XVI-17: Менли (см. XVI-3).
XVI-18: Сирен (см. кривые и комментарии к ним в [342]. Точка 0 (относительно которой отсчитываются положительные или отрицательные ежегодные отклонения от средней) характеризует средний годовой прирост деревьев, определенный по данным за период с 1181 по 1960 г.
XVI-19: Гиддингс (см. XI-8).
XVI-20: Хиральт (см. XVI-9).
XVI-21; Ле Руа Ладюри (см. XVI-10).
XVI-22; Хеллейнер; [369].
XVI-23: Лэмб (см. XVI-1D-
XVI-24: Лэмб (см. XVI-8).
XVI-25: Хиральт (см. XVI-9).
XVI-26: Ле Руа Ладюри (см. XVI-10).
XVI-27: Хеллейнер (см. XVI-22).
XVI-28: Фрите (см. XI-18).
XVI-29; Ле Руа Ладюри [63] (годы без наводнений учтены).
XVI-30: Хиральт (см. XVI-9).
XVI-31: Хиральт [153], см. также [152].
XVI-32; Хеллейнер; для Австрии – [300], Германии – [107], Англии – [29] и [317], Бельгии – [369], Франции – [23], для Польши – по работам Рутковского, для Испании – [169].
XVI-33: Менли (см. XVI-3).
XVI-34 (ледники): Ле Руа Ладюри; см. главу IV. Полученные в Аспене диаграммы были разработаны Хидетоси, Аракавой, Гарольдом Фритсом. Джеймсом Гиддингсом, Эмили Хиральт Равентос, Карлом Хеллейиером, Девидом Херлихи, Лэмбом, Эмманюэлем Ле Руа Ладюри, Гордоном Менли, Густавом Сиреном.
Первоначально диаграммы были систематизированы исторической секцией конференции в Аспене, председателем которой был Уотсон.
Окончательный монтаж диаграмм осуществлен Жаком Бертеном и Жаинин Рекура.
8. ДЕНДРОХРОНОЛОГИЯ[223]223
Некоторые приложения, содержащие сведения очень частного характера, выпущены при переводе. – Прим. ред.
[Закрыть]
По американской дендроклиматологии имеется две серии работ: старые публикации ([96], [14], [13], [156]) и публикации последних двадцати лет, полностью обновляющие эту тему. Именно эти публикации легли в основу нашей работы: вся серия публикуемого университетом в Аризоне Tree-ring Bulletin и [333], [334], а также [148], [399, гл. 1], [215], [101], [102] и совсем недавние фундаментальные работы [135], [136].









