Текст книги "Сочинения"
Автор книги: Жак Лакан
Жанры:
Психология
,сообщить о нарушении
Текущая страница: 16 (всего у книги 25 страниц)
2. Чтобы "закрепить наши идеи" и страждущие души, я применю указанное отношение к схеме L, уже произведенной и здесь упрощенной:

Эта схема означает, что состояние субъекта S (невроз или психоз) зависит от того, что разворачивается в Другом О. То, что там разворачивается, артикулируется как дискурс (бессознательное – это дискурс Другого), синтаксис которого Фрейд впервые попытался определить для тех кусочков, которые приходят к нам в определенные привилегированные моменты, в снах, при проскальзывании языка или пера, при вспышках остроумия.
Почему субъект должен быть заинтересован в этом дискурсе, если он не участвует в нем? Он действительно участвует, поскольку растянут по четырем углам схемы: S – его невыразимое, глупое существование, O – его объекты, O′ – его эго, то есть то, что отражается от его формы в его объектах, и O – локус, из которого ему может быть представлен вопрос о его существовании.
Ибо истиной опыта для анализа является то, что субъект сталкивается с вопросом своего существования, не в терминах тревоги, которую он вызывает на уровне эго и которая является лишь одним из элементов в серии, а как артикулированный вопрос: "Что я есть?", касающийся его пола и его случайности в бытии, а именно, что, с одной стороны, он мужчина или женщина, а с другой – что он может и не быть, причем эти два понятия сопрягают свою тайну и связывают ее в символах деторождения и смерти. То, что вопрос о его существовании омывает субъекта, поддерживает его, вторгается в него, даже разрывает его на части, проявляется в напряжении, провалах, фантазиях, с которыми сталкивается аналитик; и, следует добавить, с помощью элементов конкретного дискурса, в котором этот вопрос артикулируется в Другом. Именно потому, что эти феномены упорядочены в фигурах этого дискурса, они обладают фиксированностью симптомов, читаемы и могут быть разрешены при расшифровке.
3. Поэтому необходимо настаивать на том, что этот вопрос не представлен в бессознательном как невыразимый, что этот вопрос является вопрошанием (une mise en question), то есть что до всякого анализа он артикулируется в нем в виде дискретных элементов. Это очень важно, поскольку эти элементы – те, которые лингвистический анализ заставляет нас выделять в качестве сигнификаторов, и здесь они предстают в чистом виде в самой маловероятной, но наиболее вероятной точке:
– Наиболее маловероятно, поскольку их цепочка оказывается выжившей в изменчивости по отношению к субъекту, столь же радикальной, как и неразгаданные иероглифы в одиночестве пустыни;
– наиболее вероятным, поскольку только там их функция побуждения означающего к означаемому путем навязывания ему своей структуры может проявиться вполне однозначно.
Ибо, конечно, борозды, открываемые означающим в реальном мире, будут стремиться расширить пробелы, которые реальный мир qua existent (étant) предлагает означающему, настолько, что в нашем понимании вполне может сохраниться двусмысленность в вопросе о том, не следует ли означающее здесь закону означаемого.
Но это не так на уровне постановки вопроса не о месте субъекта в мире, а о его существовании как субъекта, постановки вопроса, который, начиная с него самого, распространяется на его внутримировое отношение к объектам и на существование мира, в той мере, в какой он тоже может быть поставлен под вопрос вне его порядка.
4. В опыте бессознательного Другого, к которому нас ведет Фрейд, крайне важно осознать, что вопрос не находит своих очертаний в протоморфных пролиферациях образа, в вегетативных интумесценциях, в анимических ореолах, излучающихся из пульсации жизни.
В этом заключается вся разница между ориентацией Фрейда и юнгианской школой, которая придерживается подобных форм: Wandlungender libido. Эти формы можно отнести к первому уровню мантики, поскольку они могут быть произведены соответствующими техниками (способствующими созданию воображения: грезы, рисунки и т. д.) в месте, поддающемся отображению: на нашей схеме мы видим его растянутым между o и o′, то есть в пелене нарциссического миража, идеально подходящего для поддержания своими эффектами соблазнения и захвата всего, что в нем отражается.
Если Фрейд и отвергал эту мантику, то только в том месте, где он пренебрегал направляющей функцией означающей артикуляции, которая действует по своему внутреннему закону и из материала, подвергнутого нищете, которая для нее существенна.
Аналогично, именно в той степени, в какой этот стиль артикуляции сохранился, благодаря фрейдовскому слову (verbe), пусть и расчлененному, в сообществе, претендующем на то, чтобы представлять ортодоксальность, между двумя школами сохраняется столь глубокое различие, вплоть до того, что ни одна из них не в состоянии сформулировать его причину. В результате уровень их практики вскоре окажется сведенным к расстоянию между способами сновидения Альп и Атлантики.
Если воспользоваться формулой Шарко, которая так восхитила Фрейда, "это не мешает [Другому] существовать" на его месте O.
Ведь если его отнять, человек не сможет больше оставаться даже в положении Нарцисса. Как по мановению руки, анима возвращается к анимусу, а анимус – к животному, которое между S и o поддерживает со своим Umwelt "внешние отношения", заметно более тесные, чем наши, причем нельзя сказать, что его связь с Другим ничтожна, а только то, что она проявляется иначе, чем в спорадических набросках невроза.
5. L вопрошания субъекта в его существовании имеет комбинаторную структуру, которую не следует путать с ее пространственным аспектом. Как таковой, это сам означающий, который должен быть артикулирован в Другом, особенно в его позиции четвертого термина в топологии.
В качестве поддержки этой структуры мы находим в ней три сигнификатора, в которых Другой может быть идентифицирован в Эдиповом комплексе. Их достаточно, чтобы символизировать значения полового воспроизводства под знаками отношения, "любви" и "деторождения".
Четвертый термин дает субъект в его реальности, закрытый как таковой в системе и вступающий в игру сигнификаторов только в режиме смерти, но становящийся истинным субъектом в той мере, в какой эта игра сигнификаторов заставит его означать
Эта игра означающих не является, в сущности, инертной, поскольку в каждой конкретной части она оживляется всей историей происхождения реальных других, которую обозначение означающих Других включает в современность субъекта. Более того, в той мере, в какой она устанавливается qua rule над каждой частью, эта игра уже структурирует в субъекте три инстанции: эго (идеал), реальность, суперэго, определение которых должно было стать задачей второй фрейдовской топографии.
Более того, субъект вступает в игру в качестве манекена (mort), но играет он в нее как живое существо; именно в своей жизни он должен выбрать масть (couleur), которую он может выставить. Он делает это с помощью набора воображаемых фигур, выбранных из бесчисленных форм анимических отношений, выбор которых предполагает определенный произвол, поскольку, чтобы гомологически соответствовать символическим триадам, они должны быть численно сокращены.
Для этого полярное отношение, посредством которого зеркальный образ (нарциссического отношения) связан как объединитель со всеми воображаемыми элементами того, что называется фрагментированным телом, обеспечивает пару, подготовленную не только естественным соответствием развития и структуры, чтобы служить гомологом для символического отношения Матери и Ребенка. Воображаемая пара зеркальной стадии, через ту контрприроду, которую она проявляет, если это должно быть связано со специфической преждевременностью рождения в человеке, присваивается, чтобы обеспечить воображаемый треугольник основой, которой в некотором смысле может соответствовать символическое отношение (см. схему R).

В сущности, именно благодаря разрыву, открытому этим предварительным воображаемым, в котором разрастаются эффекты стадии зеркала, человеческое животное способно вообразить себя смертным, что не означает, что оно было бы способно на это без симбиоза с символическим, но скорее означает, что без этого разрыва, отчуждающего его от собственного образа, этот симбиоз с символическим, в котором он конституирует себя как подверженного смерти, не мог бы произойти
6. Третий член воображаемой триады, тот, в котором субъект идентифицирует себя, напротив, с собой как живым существом, – это просто фаллический образ, раскрытие которого в этой функции – не самый скандальный аспект фрейдистского открытия.
Давайте сразу же впишем сюда под заголовком концептуальной визуализации этой двойной триады то, что мы впредь будем называть схемой R и что представляет собой линии обусловленности перцепции, другими словами, объекта, в той мере, в какой эти линии обводят поле реальности, а не просто зависят от них.
Таким образом, взяв вершины символического треугольника: I как эго-идеал, M как сигнификатор первичного объекта и F как позиция в O Имени Отца, можно увидеть, как гомологическое закрепление сигнификации субъекта S под сигнификатором фаллоса может повлиять на поддержку поля реальности, ограниченного четырехугольником MieI. Две другие вершины этого четырехугольника, e и i, представляют собой два воображаемых термина нарциссического отношения, эго и образ.
Таким образом, можно расположить от i к M, то есть в o, конечности сегментов Si, So1, So2, Son, SM, в которых размещаются фигуры воображаемого другого в отношениях эротической агрессии, где они реализуются – аналогично, от e к I, то есть в o′, конечности сегментов Se, So′1, So′2, So′n, SI, в которых эго идентифицирует себя, от своего спекулярного Урбильда до отцовской идентификации эго-идеала.
Те из вас, кто посещал мой семинар в 1956-7 годах, знают, как я использовал представленную здесь воображаемую триаду, триаду, в которой ребенок как желаемый объект в действительности представляет собой вершину Я, – чтобы вернуть понятию Объектного Отношения, ныне несколько дискредитированному массой бессмыслицы, которую этот термин использовался в последние годы для подтверждения, тот капитал опыта, который законно принадлежит ему.
По сути, эта схема позволяет нам показать отношения, относящиеся не к доэдиповым стадиям, которые, конечно, не существуют, но которые не могут быть поняты в аналитических терминах (как это достаточно очевидно в нерешительной, но контролируемой работе Мелани Кляйн), а к доэдиповым стадиям в той мере, в какой они упорядочены в ретроакции Эдипова комплекса
Вся проблема извращений состоит в том, чтобы понять, как ребенок в своем отношении к матери – отношении, которое в анализе определяется не его витальной зависимостью от нее, а его зависимостью от ее любви, то есть желанием ее желания, – идентифицирует себя с воображаемым объектом этого желания в той мере, в какой сама мать символизирует его в фаллосе.
Фаллоцентризм, порожденный этой диалектикой, – это все, что нас здесь интересует. Он, конечно, полностью обусловлен вторжением означающего в психику человека и строго не может быть выведен из какой-либо заранее установленной гармонии этой психики с природой, которую она выражает.
Этот воображаемый эффект, который может ощущаться как разлад только с предвзятой точки зрения нормативности, присущей инстинкту, тем не менее определил долгую ссору, которая сейчас утихла, но разрушительные последствия которой все еще сохраняются, относительно первичной или вторичной природы фаллической фазы. Даже не считая чрезвычайной важности вопроса, эта ссора заслуживает нашего интереса из-за диалектических подвигов, на которые она обрекла доктора Эрнеста Джонса, утверждавшего, что он полностью согласен с Фрейдом, в то время как утверждал позицию, диаметрально противоположную ему, а именно ту, которая сделала его, с некоторыми незначительными оговорками, без сомнения, защитником английских феминисток, с их любимым эгалитарным принципом: "каждому свое" – для мальчиков фаллос, для девочек – с... (aux boys le phalle, aux girls le c ... ).
7. Фрейд показал, что эта воображаемая функция фаллоса является стержнем символического процесса, который завершает у обоих полов сомнение в половой принадлежности, вызванное комплексом кастрации.
Нынешнее затушевывание этой функции фаллоса (сведенной к роли партобъекта) в психоаналитическом концерте – просто следствие глубокой мистификации, в которой культура держит его символ, в том смысле, что само язычество производило его только в кульминации своих самых тайных мистерий.
Действительно, в субъективной экономике, управляемой, как мы видим бессознательным, это означающее вызывается только тем, что мы называем метафорой, в частности, отцовской метафорой
И это приводит нас, поскольку именно с миссис Макалпайн мы решили начать этот диалог, к ее потребности обратиться к "гелиолитизму", с помощью которого она утверждает, что видит кодификацию деторождения в доэдиповой культуре, в которой детородная функция отца ускользает.
Все, что можно продвинуть в этом направлении, в какой бы форме это ни происходило, лишь подчеркнет означающую функцию, которая обусловливает отцовство.
Ведь в другом споре, относящемся к тому времени, когда психоаналитики еще сомневались в своей доктрине, доктор Эрнест Джонс, сделав замечание, которое было более уместным, чем его предыдущее, привел не менее неуместный аргумент.
Касаясь, по сути, состояния верований в некоем австралийском племени, он отказывается признать, что какой-либо коллектив мужчин может не признавать тот факт, что, за некоторыми загадочными исключениями, ни одна женщина не рожает ребенка, не пережив коитуса, или даже не знать о промежутке времени между этими двумя событиями. Ибо заслуга, которая, как мне кажется, вполне законно возлагается на человеческие способности наблюдать реальное, заключается именно в том, что не имеет ни малейшего значения в этом вопросе.
Ведь если того требует символический контекст, отцовство все равно будет приписано тому, что женщина встретила духа у какого-то фонтана или скалы, в которой он якобы живет.
Именно это, безусловно, свидетельствует о том, что приписывание деторождения отцу может быть лишь эффектом чистого означающего, признанием не реального отца, а того, что религия научила нас называть Именем Отца.
Конечно, для того, чтобы быть отцом, не нужно знака, так же как и для того, чтобы быть мертвым, но без знака никто никогда ничего не узнал бы ни об одном из этих состояний бытия.
Пользуясь случаем, я хотел бы напомнить тем, кого не удается убедить искать в текстах Фрейда продолжение того просвещения, которое дают им их педагоги, как настойчиво Фрейд подчеркивает близость двух означающих отношений, о которых я только что говорил, всякий раз, когда невротический субъект (особенно навязчивый) проявляет эту близость через соединение тем отца и смерти
Как, в самом деле, Фрейд мог не признать такого родства, когда необходимость его рефлексии заставила его связать появление сигнификата Отца, автора Закона, со смертью, даже с убийством Отца – показывая тем самым, что если это убийство является плодотворным моментом долга, через который субъект связывает себя на всю жизнь с Законом, то символический Отец, в той мере, в какой он обозначает этот Закон, является мертвым Отцом.
IV путь Шребера
1. Теперь мы можем проникнуть в субъективность бреда Шребера.
Значимость фаллоса, как я уже говорил, должна быть вызвана в воображении субъекта отцовской метафорой.
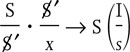
Это имеет точное значение в экономике означающего, формализация которого, которую я могу не более чем обозначить здесь, но которая будет знакома тем из вас, кто будет присутствовать на семинаре, который я провожу в этом году, посвященном формациям бессознательного. А именно: формула метафоры, или знакового замещения:

в которой заглавные буквы Ss являются сигнификатами, x – неизвестным сигнификатом, а s – сигнификатом, индуцированным метафорой, которая состоит в замене в сигнификативной цепочке S на S′. Элизия S′, представленная здесь штрихом через нее, является условием успеха метафоры.
Это в равной степени относится и к метафоре Имени Отца, то есть к метафоре, которая заменяет это Имя на место, впервые символизированное операцией отсутствия матери.

Попробуем теперь представить себе обстоятельство субъективной позиции, в которой на обращение "Имя Отца" отвечает не отсутствие реального отца, ибо это отсутствие более чем совместимо с присутствием означающего, а неадекватность самого означающего.
Такая концепция не должна удивлять. Присутствие означающего в Другом – это, по сути, присутствие, обычно закрытое для субъекта, поскольку оно обычно пребывает в состоянии подавления (verdrängt), и поскольку оттуда оно настаивает на репрезентации себя в означаемом посредством принуждения к повторению (Wiederholungszwang).
Давайте извлечем из нескольких текстов Фрейда термин, который достаточно артикулирован в них, чтобы сделать их неоправданными, если этот термин не обозначает в них функцию бессознательного, отличную от репрессированного. Примем за доказательство суть моего семинара по психозам, а именно, что этот термин обозначает самое необходимое следствие из его мысли о феномене психоза: этот термин – Verwerfung (обращение).
Оно артикулируется в этом регистре как отсутствие того Bejahung, или суждения атрибуции, которое Фрейд выставляет в качестве необходимого прецедента для любого возможного применения Verneinung (отрицания), которое он противопоставляет ему как суждение существования: тогда как вся статья, из которой он вычленяет это Verneinung как элемент аналитического опыта, демонстрирует в нем апологию самого означающего, которое он аннулирует.
Таким образом, именно на знаке лежит первозданный Bejahung, и другие тексты позволяют нам это признать, в частности, письмо 52 из переписки Флисса, в котором он прямо выделяется как термин первоначального восприятия под именем знака, Zeichen.
Verwerfung, таким образом, мы будем считать закрытием означающего. Точке, в которой называется Имя Отца – мы увидим, как – может соответствовать в Другом, таким образом, простое отверстие, которое, в силу неадекватности метафорического эффекта, будет провоцировать соответствующее отверстие в месте фаллической сигнификации.
Это единственная форма, в которой мы можем концептуализировать то, что Шребер показывает нам как результат повреждений, которые он в состоянии раскрыть лишь частично и в которых, по его словам, вместе с именами Флехсига и Шребера существенную роль играет термин "душегубство" (Seelenmord: S. 22-II).
Ясно, что перед нами – расстройство, вызванное самым личным моментом между субъектом и его ощущением себя живым; цензура, изуродовавшая текст до упомянутого Шребером добавления к несколько искаженным объяснениям его метода, заставляет думать, что он связывал с именами живых людей факты, которые не могли быть опубликованы в силу условностей того времени. Более того, следующая глава отсутствует полностью, и Фрейду пришлось довольствоваться проницательностью в отношении аллюзий на"Фауста", "Фрейшютца" и "Манфреда" Байрона, произведения (из которого, как он полагает, было заимствовано имя Аримана, одно из апофатических изображений Бога в бреде Шребера), которое, как ему казалось, черпало в этой ссылке всю ценность своей темы, а именно: герой умирает от проклятия, наложенного на него смертью объекта братского кровосмешения.
Для меня, поскольку я, как и Фрейд, решил довериться тексту, который, за исключением этих нескольких искажений, достойных сожаления, остается документом, чьи гарантии достоверности не имеют себе равных, именно в самой продвинутой форме бреда, выражением которой является эта книга, я попытаюсь показать структуру, которая окажется схожей с самим процессом психоза.
2. Следуя этой линии подхода, я замечу с тем оттенком удивления, с которым Фрейд видит субъективный подтекст признанного бессознательного, что бред развертывает все богатство своего гобелена вокруг силы творения, приписываемой речи, ипостасью которой являются божественные лучи (Gottesstrahlen).
Это начинается как лейтмотив в первой главе, где автор впервые останавливается на том, что акт рождения бытия из ничего оскорбляет разум, идет вразрез с теми доказательствами, которые дает опыт в преобразованиях материи, в которых реальность обретает свою субстанцию.
Он подчеркивает парадокс, который можно обнаружить в его контрасте с самыми привычными представлениями о человеке, за которого он себя выдает, как будто в этом есть какая-то необходимость: гебильдский немец вильгельминского периода, вскормленный на геккелевском метасциентизме, на основе которого он предоставляет список чтений, повод для нас завершить, обратившись к ним, то, что Гаварни называет где-то церебральной идеей человека.
Даже в этом рассматриваемом парадоксе вторжения мысли, для него доселе немыслимой, Шребер видит доказательство того, что должно произойти нечто, исходящее не из его собственного разума: доказательство, против которого, кажется, толькоpetitio principii, изложенное выше в позиции психиатра, дает нам право сопротивляться.
3. Сказав это, давайте проследим последовательность явлений, которую Шребер устанавливает в своей пятнадцатой главе (S. 204-15).
Теперь мы знаем, что сила его руки в вынужденной игре мысли (Denkzwang), в которой его сковывают слова Бога (см. выше, I-5), имеет драматическую ставку, которая заключается в том, что Бог, чьи способности к непониманию появятся позже, считая субъекта уничтоженным, оставит его в беде (liegen lassen), к угрозе которой мы еще вернемся.
Таким образом, усилие репоста, посредством которого субъект приостанавливается, скажем так, в своем бытии как субъект, и в конце концов срывается в момент "ничего не думания" (Nichtsdenken), конечно, кажется наименьшим из того, что можно ожидать от человека в качестве отдыха (говорит Шребер). Именно это, по его словам, и происходит:
(a) То, что он называет чудом воя (Brüllenwunder), – вырывающийся из его груди крик, который удивляет его больше всех ожиданий, будь он один или с другими людьми, которые приходят в ужас от зрелища, которое он им предлагает: его рот внезапно открывается в невыразимой пустоте, бросая сигару, которая застряла там всего мгновение назад;
(b) Призыв о помощи ("Hülfe" rufen), издаваемый "божественными нервами, оторванными от массы", плаксивый тон которого обусловлен большим расстоянием, на которое удаляется Бог;
(два явления, в которых субъективный разрыв достаточно неотличим от его сигнификативного способа, чтобы мы не трудились над этим);
(c) Предстоящий расцвет, то есть в оккультной зоне перцептивного поля, в коридоре, в соседней комнате, или проявления, которые, хотя и не являются экстраординарными, кажутся субъекту предназначенными для него;
(d) Появление на следующем уровне, дальнем, то есть за пределами восприятия органов чувств, в парке, в реальности, чудесных творений, то есть вновь созданных, и миссис Макалпайн делает проницательное замечание, что они всегда принадлежат к летающим видам – птицам или насекомым.
Не появляются ли эти последние метеоры заблуждения как след борозды или как эффект бахромы, показывающий оба раза, в которых означающее, молчавшее в субъекте, проецирует из своей темноты отблеск означающего на поверхность реального, а затем освещает реальное вспышкой, проецируемой из-под его подвала небытия?
Таким образом, на острие галлюцинаторных эффектов эти существа, которые, если бы мы захотели с максимальной строгостью применить критерий явления в реальности, одни только и заслуживали бы названия галлюцинаций, рекомендуют нам пересмотреть в их символической солидарности возникающее здесь трио Создатель, Создание и Сотворенный.
4. Именно с позиции Творца, по сути, мы вернемся к позиции Сотворенного, которое субъективно творит.
Уникальный в своей множественности, множественный в своем единстве (таковы атрибуты, напоминающие Гераклита, которыми Шребер определяет его), этот Бог, сведенный, по сути, к иерархии царств, что само по себе стоило бы исследования, опускает себя до существ, которые присваивают себе несоединимые идентичности.
Имманентный этим существам, захват которых включением в бытие Шребера угрожает его целостности, Бог не лишен интуитивной поддержки гиперпространства, в котором Шребер даже видит значимые передачи, ведущиеся по проводам (Fäden), которые материализуют параболическую траекторию, в соответствии с которой они входят в его череп через затылок (S. 315-P.S. V).
Однако со временем, через свои проявления, Бог впускает в поле неразумных существ, существ, которые не знают, что говорят, существ неразумных, таких как эти зачарованные птицы, эти говорящие птицы, эти небесные дворы (Vorhöfe des Himmels), в которых женоненавистник Фрейд с первого взгляда обнаружил белых гусей, представлявших идеальных девушек его времени, только для того, чтобы увидеть подтверждение своего мнения в именах субъект позже дает им.Скажу лишь, что для меня они гораздо более репрезентативны в силу того удивления, которое вызывают в них сходство вокабул и чисто гомофонные эквиваленты, от которых зависит их использование (Santiago = Carthago, Chinesenthum = Jesum Christum и т. д., S. 210-XV).
Точно так же существо Бога в своей сущности все дальше уходит в пространство, которое его обусловливает, – уход, о котором можно судить по нарастающей медлительности его речи, доходящей даже до заикания (S. 223-XVI). Настолько, что, просто следуя указаниям этого процесса, мы сочли бы этого уникального Другого, в котором артикулируется существование субъекта, подходящим прежде всего для опустошения мест (S. примечание к 196-XIV), в которых развертывается рокот слов, если бы Шребер не позаботился дополнительно сообщить нам, что этот Бог отстранен от любого другого аспекта обмена. Он делает это, одновременно извиняясь за то, что так поступает, но какие бы сожаления он ни испытывал по этому поводу, он должен ясно заявить об этом: Бог не только непроницаем для опыта; он не способен понять живого человека; он постигает его только извне (что, несомненно, является его сущностным способом); вся внутренность для него закрыта. Система записей (Aufschreibesystem), в которой сохраняются поступки и мысли, напоминает, конечно, неуловимым образом, тетрадь, которую держал ангел-хранитель нашего катехизированного детства, но помимо этого отметим отсутствие каких-либо следов звучания чресл или сердец (S. 20-I).
Таким образом, после того как очищение душ (Laüterung) уничтожит в них все следы личной идентичности, все сведется к вечному выживанию этого словоблудия, с помощью которого только Бог должен познать произведения, созданные человеческой изобретательностью (S. 300-P.S. II).
Здесь я не могу не отметить, что внучатый племянник автора "Novae species insectorum" (Иоганн-Кристиан-Даниэль фон Шребер) подчеркивает, что ни одно из чудесных созданий не является новым видом, или добавить, в противовес миссис Макалпайн, которая видит в них голубя, летящего с колен Отца, чтобы принести Деве плодотворную весть о Логосе, что они напоминают мне скорее голубя, которого фокусник вытаскивает из проймы жилета или рукава.
Что, наконец, приведет нас к удивительному выводу: субъект, находящийся в тисках этих тайн, не сомневается в своей способности, пусть и созданной, либо ускользнуть своими словами от ловушек, расставленных тревожным неразумием его Господа, либо сохранить себя перед лицом разрушения, которое, по его мнению, его Господь способен обрушить на него, или кого-либо еще, в силу права, на которое он имеет право во имя порядка мира (Weltordnung), права, которое, при всем том, что оно его, мотивирует этот уникальный пример победы существа, которое в результате ряда расстройств стало объектом " perfidieсвоего создателя. (Слово выпущено, не без оговорок, по-французски: S. 226-XVI.)
Не является ли это непокорное сотворенное существо, которое предотвращает свое падение только благодаря поддержке своего Слова (verbe) и вере в речь, странной приставкой к непрерывному творению Малебранша?
Возможно, нам стоит еще раз взглянуть на авторов, которые пишут сочинение по философии в бакалавриате, среди которых, возможно, мы слишком пренебрежительно относимся к тем, кто находится за пределами линии, ведущей к homo psychologicus, в котором наш период находит мерило, возможно, несколько пешеходного, как вам кажется, гуманизма.
Малебранш или Локк
Plus malin le plus loufoque . . .
Да, но кто из них двоих? Вот в чем загвоздка, дорогой коллега. Ну же, отбросьте эту чопорную манеру. Когда же вы почувствуете себя спокойно, когда окажетесь на своей земле?
5. Давайте теперь попробуем заново установить позицию субъекта, как он конституируется здесь в символическом порядке, на триаде, которая отображает его в нашей схеме R.
Тогда мне кажется, что если созданное I предполагает в нем место в F,
оставленное Законом, место Творца обозначено в нем тем liegen lassen, тем фундаментальным let-lie, в котором отсутствие, позволявшее конструировать себя из первозданной символизации М матери, оказывается лишенным, из лишения Отца.
От одного к другому линия, которая заканчивалась бы Существами речи, занимающими место ребенка, отвергнутого в надеждах субъекта (см. Post-scriptum), была бы, таким образом, задумана как обход ямы, вырытой в поле означающего лишением Имени Отца (см. Schema I, p. 234).
Именно вокруг этой дыры, в которой у субъекта отсутствует опора означающей цепи и которая, заметим, не нуждается в том, чтобы быть невыразимой, чтобы внушать благоговение, происходила вся борьба, в которой субъект реконструировал себя. В этой борьбе он вел себя с честью, и небесные вагины (еще одно значение словаVorhöfe, см. выше), когорта чудесных девушек, осаждавших края отверстия, обеспечивали контрапункт, в возгласах восхищения из глоток своих гарпий: 'VerfluchterKerl! Какой парень! Другими словами: какой баран! Увы! Это была антифраза.
6. Ибо уже тогда, и не так давно, в области воображаемого для него открылся разрыв, который соответствовал в нем дефекту символической метафоры, разрыв, который мог быть разрешен только в осуществлении Entmannung (эмаскуляции).
Сначала вызывая ужас у субъекта, она была принята как разумный компромисс (vernünftig, S. 177-XIII), затем как бесповоротный выбор (S. примечание к p. 179-XIII) и как будущий мотив искупления, представляющий интерес для всего мира.
Хотя мы не можем так легко расстаться с термином Entmannung, он, несомненно, смущает нас меньше, чем Иду Макалпайн в том положении, которое я описал. Несомненно, она думала, что наводит порядок, заменяя слово "unmanning" на "emasculation", которое переводчик III тома Собрания сочинений невинно счел достаточным, и даже пошла на то, чтобы обеспечить изменение перевода в готовившейся тогда авторизованной версии. Возможно, она обнаружила какую-то неуловимую этимологическую подсказку, которая различала эти два термина, несмотря на их идентичное употребление.




























