Текст книги "Военное искусство и военная культура Евразии"
Автор книги: Сергей Нефедов
Соавторы: Игорь Ковшов,Юрий Зайцев,Георгий Скипский,Станислав Мокроусов,Юрий Костылев,Алексей Коробейников,Андрей Заец,Дмитрий Суворов,Александр Самович,Николай Митюков
Жанры:
Cпецслужбы
,сообщить о нарушении
Текущая страница: 12 (всего у книги 22 страниц)
Н.В.Митюков[196]196
Николай Витальевич Митюков – канд. тех. наук, доц., проректор по научной работе Камского института гуманитарных и инженерных технологий (г. Ижевск).
[Закрыть]
Моделирование процесса мобилизационного развертывания через апериодическое звено первого порядка
В последнее время, особенно после появления нашумевших романов В. Суворова «Ледокол» и «День М», в историографической литературе, возрос интерес к начальному периоду Великой Отечественной войны. Высказывается множество версий о высокой или низкой эффективности мобилизационных мероприятий разных стран, в первую очередь Советского Союза и Германии.
Начальный этап любых военных действий является одним из наиболее специфичных периодов. Принято считать, что он охватывает время со дня официального объявления войны или общей мобилизации до ввода в вооруженную борьбу главных сил[1] и характеризуется особыми чертами, отсутствующими потом. Это – целая система политических, идеологических и экономических мероприятий, связанных с переходом государства от мира к войне: мобилизация, сосредоточение и развертывание войск, военные действия по прикрытию стратегического развертывания, захват выгодных районов для развертывания и проведение разведывательных операций на небольшую глубину. Именно в начальный период, когда державы еще полны сил, как никогда ярко проявляется эффективность подготовительных операций. Еще до начала боевых действий политические и военные руководители ищут «рецепты» для своей победы в будущей кампании, разрабатывают доктрину, стратегические концепции, пишут военные планы и в соответствии с ними проводят подготовку войск. Поэтому начальный период войн характеризуется своего рода «битвой умов» военно-политического руководства, проверкой на практике и выбором наиболее жизнеспособных планов и решений.
«Война, – говорил Наполеон, – искусство простое, все заключается в выполнении». Потому, как бы ни были хороши предвоенные планы, успех или неуспех кампании будет целиком определяться начальным периодом: быстротой и четкостью мобилизационного развертывания.
Классический пример, когда процесс мобилизационного развертывания мог повлиять на результаты кампании – начальный период Первой мировой войны. По германскому плану предполагалось, закончив мобилизацию основных сил на 12 день, начать боевые действия против Франции, основная часть войск которой мобилизуется за 14 дней. В ходе скоротечной кампании было необходимо вывести ее из войны и быстро (по внутренним операционным линиям) перебросить войска на восточный фронт, поскольку Россия мобилизуется за месяц. Таким образом Германия могла бы добиться победы в войне с коалицией.
Однако следует признать, что мобилизационные возможности государства: количество военнообученных резервов и быстрота развертывания напрямую определяют устойчивость к внешней агрессии и потому вполне справедливо составляют государственную тайну. Поэтому задача данного исследования состоит, прежде всего, в обобщении разрозненных сведений и объединение их в рамках одной теории.
С другой стороны, вопрос об оценке численности военных резервов в последнее время приобрел несколько другой ракурс: в связи с окончанием холодной войны, в политических вопросах резко возросло значение локальных войн и конфликтов. Если холодная война характеризовалась в основном как война нервов, то локальные конфликты зачастую перерастают в непосредственные боевые действия противоборствующих сторон. При этом, человеку, прошедшему кампанию наносится непоправимый психологический урон. Так еще десятилетие назад со страниц газет не сходила тема так называемого «афганского синдрома», то уже сейчас появился «чеченский синдром».
Между тем, определить общее количество участников вооруженных конфликтов зачастую не представляется возможным не только из-за наличия на них грифа секретности, но и тем, что у каждой из сторон как правило свой способ подсчета военно-обученных резервов.
Подготовка и накопление мобилизационных людских ресурсов является одной из важнейших проблем государственного и оборонного строительства любого государства. Как показывает опыт прошедших войн, простое увеличение численности мобилизованного населения не всегда приносит желаемые результаты. Так во время ирано-иракской войны 1980-1988 гг. Иран мобилизовал около 10 млн. человек, что составило около 18% всего населения страны. Однако, из-за низкой подготовки призывников иранская армия не смогла добиться каких бы то ни было значительных успехов[2].
Исторический анализ позволяет определить основные факторы, влияющие на эффективность мобилизационных мероприятий[2]:
• военно-политический, определяемый системой межгосударственных отношений, позволяет судить о возможных центрах, в направлении которых следует стягивать войска, а также возможные спокойные участки границ и регионы;
• военно-технический определяется степенью технического оснащения армии (дальностью действия оружия, возможностью управления большими контингентами войск, тыловой системой обеспечения) и фактически определяет не только максимально необходимое количество мобилизованных, но и степень их равномерности распределения по определенной территории (например, ракетные войска стратегического назначения будут увеличены до штатов военного времени вне зависимости от того, где расположены части: на передовой или в стратегическом тылу);
• социально-экономический определяется социально-бытовыми условиями жизни населения и фактически определяют качество призванного контингента (большинство из иранских призывников не только не имели ни малейшего представления о современной боевой технике, но и вообще были неграмотными);
• военно-географический влияет на оперативное оборудование территории (разветвленность дорожной сети, наличие складов, портов и т.д.) и природно-климатические условия региона (сюда же, например, может относиться наличие разрушенных предприятий химической и атомной промышленности);
• демографический определяет возможности населения по обеспечению вооруженных сил полноценными здоровыми гражданами (по статистике примерно 40% населения государства мужчины, но только 20% – призывных возрастов, и именно эта цифра составляет максимально возможный теоретический уровень мобилизации, хотя, во время Второй мировой войны Германия смогла поставить под ружье 24,9%, но это стало возможным за счет тотальной мобилизации, вплоть до несовершеннолетних из «Гитлерюгенда», а также за счет использования в промышленности труда военнопленных).
Если первые четыре фактора довольно легко поддаются анализу и реконструкции, но демографический фактор обычно составляет государственную военную тайну. Дело усложняется тем, что до сих пор не рассекречены все сведения, касающиеся даже Первой мировой войны. Поэтому для выявления каких-либо закономерностей следует воспользоваться материалами косвенного характера. Основополагающими характеристиками, определяющими процесс мобилизации являются три коэффициента:

Высокий показатель К1 характерен в основном для развитых стран со всеобщей воинской повинностью. И наоборот, малый показатель характерен для стран третьего мира с наемной армией. Анализ боевых действий с античности до наших дней позволяет утверждать, что государства, комплектовавшиеся на основе всеобщей воинской повинности (высокий К1) могли вести затяжные войны, требовавшие значительных ресурсов. Государства, армии которых комплектовались на основе наемничества (низкий К1), ограничивались скоротечными вооруженными столкновениями, а при ведении более масштабных и длительных боевых действий их экономика быстро истощалась[2].
Для США и Великобритании, вооруженные силы которых комплектуются на добровольной основе, К1 равен 1,16 и 1,48 соответственно (исключительно за счет налаженной системы подготовки резервистов). Во Франции, где существует всеобщая воинская повинность К1 = 3,3, в Израиле – 2,5, а в Германии, где смешанный способ комплектования К1 = 1,21. Для Италии и Турции, комплектующие свои вооруженные силы по призыву, значения коэффициента 1,81 и 1,89 соответственно. Таким образом, для развитых стран К1 = 1,16...3,30[3].
Значение показателя К2 для развитых и развивающихся стран находится в интервале от 12,1% (Ирак) до 22,8% (Канада). В среднем его значение равно 17%. Наибольшие значения К2 характерен для развитых стран, где высокий уровень жизни и, как следствие, высокая продолжительность жизни, а также имеется развитая и мощная сеть учебных центров по подготовке резервистов (в среднем К2 = 21%) [3].
Коэффициент КЗ можно охарактеризовать как отношение страны ко своей армии и ее напряжение по подготовке военно-обученных резервов в мирное время.
По выражению К. Маркса, создание армии мирного времени ставило цель пропустить через нее как можно больше военнообязанных, чтобы иметь достаточно обученный резерв. С этой точки зрения действительная служба это школа, в которой мужское население обучается владеть оружием и производить те или иные упражнения. [1, Т. 4, С. 509].
А значит чем больше КЗ, тем больше военно-обученных резервов есть у данной страны. Но, с другой стороны, население оторванное от народного хозяйства воинской службой, является для страны обузой, и при слишком большом проценте следует ожидать нежелательные эффекты в экономике. Оптимальное значение КЗ = 1%.
Для примера, перед Первой мировой войной германская армия мирного времени составляла 762 тыс. человек, что при населении Германии в 64,9 млн. дает КЗ = 1,01%, а для Франции на 39,6 млн. – 863 тыс., что составляет КЗ = 1,41% [1, Т. 5, С. 167]. Все исследователи того времени признают, что мобилизационное напряжение Франции было гораздо больше чем в Германии (в данном случае видно, что почти в полтора раза). И, например, уже в ходе войны французское правительство было вынуждено демобилизовать для работы на оборонных предприятиях часть своих солдат.
Для сравнения КЗ в Австрии и Италии составляет примерно 0.7%. Отсюда становится понятно, почему после Галицийской битвы Австрия стала испытывать недостаток в подготовленных солдатах (это очень хорошо описано, например, у Гашека в «Похождениях бравого солдата Швейка»), а после Брусиловского прорыва австрийские части уже не могли воевать без германской поддержки. Аналогичная ситуация и в Италии. Наиболее ярко ее характеризует поговорка времен Первой мировой войны: «Для чего существует австрийская армия? Чтобы ее все били. А для чего существует итальянская? Чтобы и австрийская армия могла кого-нибудь побить». После сражения у Капоретто, когда полегла вся кадровая армия, итальянцы, так и не смогли оправиться от поражения до конца войны. Применительно к России, с осени 1916 г. она должна была начать досрочный призыв 16-17-летних юношей [2].
Для вывода основных закономерностей остановимся на опыте Первой мировой войны. Хотя сведения даже по ней еще окончательно не рассекречены, кое-какие закономерности в результате критического анализа определить можно. Наиболее полную информацию можно найти по численности германской армии, поскольку Германия проиграла войну. А потому наиболее простым способом видится представление любой другой армии под «германские рамки».
Можно сделать предположение, что с увеличением возраста призывной категории убывает процент потенциальных призывников. То есть в армии преобладает молодое население.
Тот факт, что большие возрасты слабо влияют на число потенциальных призывников, объясняется следующими соображениями:
• с увеличением возраста растет число негодных к службе (из-за различных отсрочек, льгот и по состоянию здоровья);
• старые возраста как правило являются наиболее квалифицированными работниками.
Косвенно это утверждение подтверждается тем, что в обеих мировых войнах максимальные потери зарегистрированы именно по возрастам 20-25 лет.
В работе Г.Дж.Крейга [4] приводятся данные по занятости населения по Африке, Латинской Америке, Ближнему Востоку, Азии и развитым странам, наложенные на гистограмму общей численности населения этих стран (источник – Gender and Generation in the World Labor Force. US Department of Commerce; Economics and Statistics Administration, Bureau of the Census).
Кривая носит универсальную закономерность, изображенную на рис. 1.
Кривая начинает возрастать для населения достигшего 10-14 лет и достигает своего максимума в 20-24 года, кроме развитых стран, где максимум наблюдается для возрастной группы 25-29 лет. Далее следует плавный спад и после 65 лет статистические данные отсутствуют.
Вполне очевидно, что количество потенциальных призывников будет пропорционально количеству трудящихся. Как показывают справочные данные, в большинстве стран мира призывной возраст наступает в 20-22 года, когда численность трудящихся достигает своего максимума. Развитые страны в данном случае не в счет, поскольку среди населения у них гораздо больший процент умственного труда, чем в остальных странах, а в 20-24 года происходит завершение обучения специалистов. Из-за того, что призыв происходит именно с возрастов максимальной занятости, кривая потенциальных призывников будет снижаться на всем своем протяжении.

Рис. 1. Численность и возраст трудящихся разных регионов мира
В работе В.Ф. Новицкого [6, С. 46-47] приводятся данные по численному составу военно-обученных резервов германской армии на 1914 год. Эти данные легко подвергаются статистической обработке и аппроксимации.
Общий срок службы в немецкой армии составлял 24,5 года. В том числе:
• действительная служба 2 года (762 тыс. чел.);
• резерв армии мирного времени 4,5 года (1100 тыс. чел.);
• ландвер первого призыва 5 лет (919 тыс. чел.);
• ландвер второго призыва 8 лет (1000 тыс. чел.);
• ландштурм первого и второго призыва (1120 тыс. чел.).
Таким образом, в зависимости от возраста х, процент годных к призыву у можно аппроксимировать зависимостью:
у(%) = - 0,0001976 х3 + 0,019 х2 – 0,617 х + 6,9934.
Суммарная погрешность аппроксимации проанализирована в табл. 1 и, как видно из нее, составляет около 5%. Наибольшее расхождение (23%) наблюдается по ландштурму. Его отчасти можно объяснить тем, что в ландштурм могли призвать человека любой возрастной категории, по каким-то причинам получившего отсрочку ранее и потому не вошедшего в призывную категорию своего возраста.
Таким образом, по крайней мере по Германии, точность аппроксимации удовлетворительна. В этой связи интересно было бы рассмотреть действительную и расчетную численность резервов другого государства, например Франции. Как уже было сказано, мобилизационное напряжение Франции примерно в полтора раза выше, чем у Германии. Следовательно и по основным призывным категориям процент призванных будет выше. Возрастовка французской армии также заимствована из работы Новицкого. Как видно из табл. 2, расхождение и здесь довольно небольшое (не больше 8%).
Таблица 1
Точность аппроксимации по призывным категориям Германии
| Действительно | Расчет | Расхождение | |
| Постоянная армия | 762 | 762 | 0 |
| Резерв пост, армии | 1100 | 1162 | + 5.3 % |
| Ландвер 1 -го призыва | 919 | 973 | + 5.5 % |
| Ландвер 2-го призыва | 1000 | 1078 | + 7.2 % |
| Ландштурм 2-го призыва | ? | 493 | ? |
| Ландштурм 1 -го призыва | ? | 365 | ? |
| Всего ландштурм | 1120 | 858 | – 23 % |
Таблица 2
Точность аппроксимации по призывным категориям Франции
| Действительно | Расчет | Расхождение | |
| Постоянная армия | 762 | 762 | 0 |
| Резерв пост, армии | 1100 | 1162 | + 5.3 % |
| Ландвер 1 -го призыва | 919 | 973 | + 5.5 % |
| Ландвер 2-го призыва | 1000 | 1078 | + 7.2 % |
| Ландштурм 2-го призыва | ? | 493 | ? |
| Ландштурм 1 -го призыва | ? | 365 | ? |
| Всего ландштурм | 1120 | 858 | – 23 % |

Рис. 2. Демографическая структура мужского населения Германии на 1910 год с нанесенным на нее количеством потенциальных призывников
Для объяснения данной закономерности следует взглянуть на демографическую диаграмму Германии того времени, составленной по данным работы Урланиса [6, С. 212], с нанесенной на нее гистограммой потенциальных призывников соответствующих возрастов, определенной по предлагаемой формуле (рис. 2).
На основании вышеизложенного можно сделать следующие выводы:
• для комплектования армии наибольшее значение имеют возрасты от 20 до 30 лет;
• более старые возрасты с характерными зубьями на демографической структуре особого влияния не оказывают.
Таким образом, получается, что возрастовка в армиях разных стран подобна.
Сведения о возрастах различных призывных групп достаточно распространены в литературе и содержатся в ряде справочниках, например в известном словаре Евфрона и Брокгауза. По некоторым европейским странам расчетная численность военно-обученных резервов представлена в табл. 3.
Ввиду того, что для комплектации армии имеют значение лишь молодые возраста, возрастовка армий и следовательно призывных категорий разных стран будет подобна. Отсюда предлагаемая формула будет иметь универсальный характер.
Для иллюстрации возможности предложенной методики автор [7] попытался оценить общее количество военно-обученных резервов вооруженных сил России, прошедших через Чечню. Это, например, необходимо знать при начислении льгот воинам-чеченцам при планировании бюджета. На конец 2000 года это число составляет около полутора миллионов человек, что примерно в два раза выше официально декларированных цифр.
По своей сути задача моделирования процесса мобилизационного развертывания явно имитационная, но со своей спецификой: здесь необходимо определить закон изменения количества развернутых войск по времени. Поэтому систему мобилизационного развертывания можно представить в виде «черного ящика» имеющего один вход и один выход, где на выходе – функция развертывания, а на входе – политические решения.
Любые политические решения достаточно наглядно описываются релейной функцией (рис. 3): до времени tp решение не принято, после – принято.
Применительно к России в 1914 году эта функция является двухступенчатой: 16(29) июля была объявлена мобилизация четырех пограничных с Австрией округов, а 17(30) июля – всеобщая мобилизация.
Таблица 3
Расчетная численность военно-обученных резервов некоторых европейских стран (тыс. чел)


Рис. 3. Функция принятия политического решения

Рис. 4. Функция количества развернутых войск как апериодическое звено второго порядка
Вполне очевидно, что функция мобилизационного развертывания имеет вид, по терминам теории автоматического управления, апериодического звена второго порядка (рис. 4). Обоснование вида этой функции довольно тривиальное.
1. Она имеет начальное значение, ввиду того, что даже в мирное время на границах уже, как правило, развернуты войска (на примере России в 1914 г. это части 3, 4, 14, 19-го и т.д. корпусов: примерно по одному корпусу на армию [8, 9]).
2. На первом этапе после принятия решения о мобилизации функция вогнута из-за того, что система инерциальна (необходимо известить войска о мобилизации, собрать их, если они рассредоточены, погрузить на эшелоны, отправить к месту выгрузки и сосредоточить в местах развертывания).
3. На втором этапе функция выгнута ввиду того, что основная часть резервов уже мобилизована и следует ожидать лишь подхода частей из удаленных районов страны.
Между тем, следует отметить, что классического звена с идеальным запаздыванием в данном случае не будет. Обычно даже в мирное время ряд частей уже полностью укомплектованы и находятся вблизи района развертывания. Например, для России в августе 1914 г., по данным К.А. Залесского [9], в Варшаве находились 3-я гвардейская пехотная и 8-я пехотная дивизии; в Новогеоргиевске – 2-я пехотная дивизия; в Ломже и Ломжинской губернии – 4 и 6-я пехотные дивизии; в Волынской губернии – 11-я пехотная дивизия; в Подольской губернии – 12-я; в Люблине и Люблинской губернии – 17 и 18-я пехотные дивизии и т.д. Поэтому для них необходим лишь приказ, чтобы выдвинуться в район сосредоточения в пешем порядке, доукомплектование по штатам военного времени в них происходило уже практически на границе. Время же прохождения приказа имеет смысл рассматривать лишь до изобретения телеграфа, когда приказ доставлялся на лошадях с максимальной скоростью 50/100 км/сут. Но в то время армия комплектовалась по рекрутской повинности или была наемной, что требовало ее развертывания еще в мирное время. С изобретением телеграфа прохождение сигнала составляет несколько часов, что, по сравнению с несколькими десятками суток времени мобилизации, составляет пренебрежительно малую величину.
Кроме того, следует отметить, что в мирное время в районах сосредоточения дислоцируется небольшое количество войск, зачастую это лишь пограничные кордоны, и, по сравнению с миллионной армией, разворачиваемой в военное время, эти силы близки к нулю.
Апериодическое звено второго порядка описывается уравнением:

Здесь у - количество развернутых войск на текущее время t; ус - общее количество войск, которое будет развернуто; tp -время принятия решения на мобилизацию (в данном случае лучше использовать дату объявления мобилизации); Т1 и Т2 – постоянные времени.
В литературе обычно содержится информация об общем количестве мобилизованных (ус) и времени объявления мобилизации tp. По первой мировой войне эта информация дается, например, в работе Строкова [1].
Для определения постоянных времени требуются как минимум два значения функции y(t). Однако после проведенного информационного поиска было выяснено, что можно определить лишь одно значение y(t). В работе Новицкого [5] приведены данные по количеству развернутых войск к началу активных операций, дата начала которых также известна (табл. 4).
Таблица 4
Данные по мобилизационному развертыванию войск в 1914 г.
| Страна | Армия после мобилизации,тыс.чел. | Развернуто к началу активных операций, тыс. чел. | Объявление мобилизации | Начало активных операций | Время развертывания,сут. |
| Россия | 5 461 | 2 500 | 30(29)июля | 14 авг. | 15 |
| Франция | 3 781 | 2 689 | 1 авг. | 18 авг. | 17 |
| Англия | ~ 1 000 | 567 | 4 авг. | 20 авг. | 16 |
| Бельгия | 175 | 166 | 31 июля | 6 авг. | 7 |
| Сербия | 380 | 247 | 25 июля | 12 авг. | 17 |
| Черногория | 60 | 60 | 5 авг. | 12 авг. | 8 |
| Германия | 3 822 | 2 147 | 1 авг. | 17 авг. | 16 |
| Австрия | 2 300 | 1 421 | 31(25)июля | 20 авг. | 21 |
| Примечание: в скобках указана дата объявления частичной мобилизации. | |||||
Таким образом, следует признать, что аппроксимация мобилизационного развертывания апериодическим звеном второго порядка неопределима. В этом случае напрашивается вполне закономерный вывод: нельзя ли провести аппроксимацию апериодическим звеном первого порядка?
Ответ утвердительный может последовать лишь в том случае, когда активные действия на фронте начинаются после завершения развертывания основной массы войск. По опыту первой мировой войны и локальных войн конца XIX-начала XX вв. это допущение вполне справедливо. Однако по отношению ко Второй мировой войне и последующему периоду данное допущение приведет к большим ошибкам, поскольку стало применяться тайное развертывание в угрожаемый период.
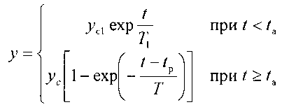
Апериодическое звено первого порядка намного упрощает задачу. Оно описывается уравнением:

Как видно, в уравнении присутствует всего одна константа времени Т, которая однозначно определяется даже по опубликованным в широкой печати данным. В этом случае, однако, появляется проблема учета запаздывания звена. Если предположить, что запаздывание идеальное, то вид функции будет такой, каким он изображен на рис. 5. В данном случае, для полного определения уравнения надо три условия: значение времени запаздывания и опорная точка на кривой развертывания, другими словами – сдвиг графика по оси абсцисс и его кривизна. Время запаздывания практически целиком должно определяться организационными мероприятиями: насколько быстро происходит концентрация войск и т.д., в то время как кривизна графика определяется масштабами страны: чем меньше государство, тем более круто идет кривая.

Рис. 5. Функция количества развернутых войск как апериодическое звено первого порядка
Приведенное высказывание можно проиллюстрировать на примере мобилизационного развертывания России в 1914 г., благо что цифры по ней достаточно широко известны. Для простоты дальнейших выводов предположим, что время принятия решения равно нулю (ступенька на релейной функции рис. 3 приходится на t = 0). Попытаемся определить, чему равно время запаздывания для русской армии. Несколько опорных точек функции приводятся, например, в работе Строкова [1]. На 15-й день мобилизации развернуто 27 полевых дивизий, на 23-й – дополнительно 32,5/35 дивизий; на 29-й – еще 9/11; на 30/60-й – еще 12,5/l7,5 дивизий, и, наконец, после 60-го дня развертывались войска из Сибири. На рис. 6 представлены функции развертывания с разными временами запаздывания. Условие, чтобы к началу активных действий (15-й день мобилизации) было развернуто 27 дивизий, принималось как строгое условие для всего семейства кривых, поскольку применять для аппроксимации эту функцию можно только после дня начала активных действий. Как видно из рисунка, наиболее точно все условия соблюдаются при времени запаздывания 10,5 дней, то есть зависимость получается следующей:

Из приведенного графика довольно просто понять физический смысл времени запаздывания. По работе Керсновского [8] выходит, что 8 суток необходимы для окончания мобилизации пехотных дивизий и начала погрузки. По нормам германской армии [5], для погрузки корпуса на железнодорожный эшелон требуется до 12 ч. еще 4/6 – для выгрузки и примерно столько же для развертывания в месте сосредоточения. Все это дает в сумме еще сутки. Расстояние от мест выгрузки до районов развертывания составляет до 30-60 км, то есть сутки-двое перехода форсированным маршем. Все это в сумме дает 10-11 суток, еще 0,5-1,5 суток необходимо для развертывания частей на местности вблизи государственной границы и подготовительные мероприятия для ее перехода (разведка подступов, сосредоточение на необходимых участках и т.д.). Т.е. на дорогу в железнодорожном эшелоне остается не более суток-двух, а за это время при состоянии железнодорожной техники того времени можно перевезти войска лишь из ближней полосы (100... 3 00 км).

Рис. 6. Вид функции мобилизационного развертывания русской армии при различных временах запаздывания
Отсюда вывод: время запаздывания целиком определяется эффективностью мобилизационных мероприятий.
С другой стороны, можно проанализировать степень кривизны функции мобилизационного развертывания (как было заявлено выше, она практически целиком определяется временем нахождения в дороге, те. размерами государства). А для этого необходимо проанализировать удаленность дивизий от мест их развертывания.

Рис. 7. Удаленность русских дивизий от ТВД и ее аппроксимация
В работе К. А. Залесского [9] приводятся места мирных дислокаций дивизий русской армии. Всего по 59 дивизиям первой линии удаленность от ближайшей линии фронта составляет по железным дорогам от 30 до 2300 км. Данные обрабатывались только для дивизий в европейской части России, поскольку для соединений дислоцированных в Туркестане и в Сибири первостепенное значение имеет не удаленность от театра боевых действий, а загруженность железнодорожных магистралей. Точность в расчетах составляла ± 100... 150 км. С этой дискретностью удаленность дивизий до линии фронта представлена на рис. 7.
После обработки данных по методу наименьших квадратов гистограмма удовлетворительно аппроксимируется зависимостью:

где l – удаленность от театра боевых действий.
Таким образом, для русской армии характерная удаленность от театра боевых действий 900 км, а если вспомнить, что характерное время развертывания составляет 15 суток, то средний темп движения к театру боевых действий получается около 60 км/сут. Физический смысл этой величины понять трудно, но это не средняя скорость движения железнодорожного эшелона, поскольку она сравнительно мала.
Как известно, переходный процесс в экспоненциальных законах заканчивается при тройном характерном времени, следовательно в данном случае максимальная удаленность от ТВД составляет 3 х 900 = 2700 км, то есть примерно расстояние до Урала. По этому значению можно представить погрешность данной методики: исключаются сибирские и забайкальские корпуса, точнее на 59 корпусов первой линии приходится 2 корпуса, дислоцированных в неевропейской части (туркестанские корпуса в данном случае не в счет, поскольку они предназначались для действия на Кавказе против Турции). Кроме того, не учитывается процесс доукомплектования частей по штатам военного времени, который может составить тему отдельного исследования.
Естественно, все эти выводы при условии, что части перебрасываются поездом. Частные случаи – развертывание Турции, где в основном переброска осуществляется гужевым транспортом или пешим порядком и Великобритания, для которой основную массу войск составляют войска заморских колоний, перевозящиеся исключительно по морю.
Таким образом, можно оценить кривые мобилизационного развертывания основных европейских государств в 1914 г. Постоянную времени можно определить как треть максимальной удаленности от театра боевых действий, деленную на 60 км/ сут. А время задержки в этом случае определяется по тривиальной формуле:

где уа – количество мобилизованных ко времени начала активных действий tа. После этого все параметры для определения кривой мобилизационного развертывания определены. Единственное ограничение, она подходит только для времен больших tа Для времен меньших tа можно вывести дополнительную экспоненту, параметры которой определить по двум условиям:
• в момент начала активных действий tа мобилизовано уа человек;
• в точке tа не должно наблюдаться разрывов по первой производной.
И таким образом, кривая мобилизационного развертывания описывается следующей функцией:
Данные для некоторых европейских стран на начало Первой мировой войны сведены в табл. 5, а процесс развертывания представлен на рис. 8.

Из графика развертывания видно, что первым его заканчивает Бельгия, ко 2...3-м суткам практически все ее войска отмобилизованы и сосредоточены. Сербия, Германия и Франция заканчивают приготовления практически одновременно, к 20...25 дню. Медленные темпы развертывания Сербской армии связаны с невыгодным геостратегическим положением: территория страны имеет вытянутую с севера на юг форму и потому ожидание подхода частей от греческой границы затягивают общие приготовления. Тоже можно сказать и о Франции. Иная ситуация в Германии: хотя ее территория и больше сербской и французской, сосредоточение происходит к двум границам: на запад и на восток, а потому его можно провести в более сжатые сроки, чем, например, к одной из них. Кстати, низкие темпы мобилизационного развертывания Австро-Венгрии как раз и объясняются удаленностью территории, например, Штирии или Чехии от ТВД. Если бы в войну против Австрии вступила бы Италия, то развертывание бы закончилось значительно быстрее.
| Таблица 5 | Характеристики кривой мобилизационного развертывания для некоторых европейских государств | ||||||||||||
|---|---|---|---|---|---|---|---|---|---|---|---|---|---|
| Государство | Ус 1, чел. | ТР сут. | Ус, чел. | tр, сут. | Т, сут. | ta, сут. | |||||||
| Россия | 81,83 | 5,25 | 5461 | 10,5 | 14,88 | 15 | |||||||
| Франция | 533,86 | 10,51 | 3781 | 11,7 | 4,27 | 17 | |||||||
| Бельгия | 125,58 | 25,08 | 175 | 3,0 | 1,36 | 7 | |||||||
| Сербия | 2,21 | 3,60 | 380 | 15,0 | 1,94 | 17 | |||||||
| Германия | 10,12 | 2,98 | 3822 | 14,1 | 2,33 | 16 | |||||||
| Австрия | 98,12 | 7,85 | 2300 | 16,3 | 4,86 | 21 | |||||||

Рис. 8. Кривые мобилизационного развертывания для некоторых европейских государств









![Обложка: Честь Воина [CИ]](/files/books/110/no-cover.jpg)