Текст книги "Десять великих идей науки. Как устроен наш мир."
Автор книги: Питер Эткинз (Эткинс)
сообщить о нарушении
Текущая страница: 7 (всего у книги 31 страниц)
Раз уж мы заговорили о стрельбе, то еще одним важным следствием понимания структуры ДНК является ее использование в судопроизводстве в форме ДНК-профилирования, или, говоря менее формально ДНК-дактилоскопии. Настоящая дактилоскопия, снятие образцов узора на коже подушечек пальцев, была предложена как способ опознания подозреваемых в 1880 г. Генри Фаулдзом, шотландским врачом, работавшим в Токио. Вскоре после этого она была использована для снятия подозрений с невиновного и для опознания преступника в совершенной там ночной краже со взломом. Через сотню лет, после того как Алек Джеффрис в 1984 г. в университете в Лестере создал ДНК-дактилоскопию, опознание личности продвинулось от кончиков ее пальцев к каждой клетке ее тела. Нам следует усвоить две черты этой техники: одна – умножение микроскопических количеств ДНК, другая – реальная дактилоскопия. ДНК-профилирование является столь важной техникой в судопроизводстве, в установлении родственных связей и в эволюционных исследованиях, что оно претерпело чудовищно бурное развитие за последние двадцать лет, обрастая различными особенностями, для использования в различных обстоятельствах. Дадим краткое описание типичного подхода.
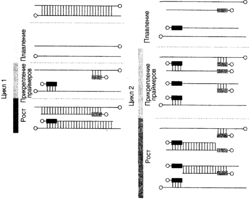
Кэри Муллис (р. 1944), изобретатель полимеразной цепной реакции(ПЦР), говорит, что эта идея пришла ему в голову в 1983 г. во время поездки при лунном свете в горах Калифорнии, где, должно быть, пролегает одна из приятнейших дорог к завоеванию Нобелевской премии. Полимераза, напомним, является ферментом, который помогает копировать нить ДНК, используя ее как шаблон; тот же фермент можно использовать в искусственной среде. Чтобы последнее стало возможным, фермент необходимо обильно снабжать нуклеотидными основаниями и двумя праймерами, представляющими собой короткие последовательности приблизительно из дюжины нуклеотидов; это позволяет реакции продолжаться. Сначала, при нагревании смеси, нити ДНК разделяются (ДНК «плавится»), затем раствор охлаждают, чтобы праймеры могли прикрепиться к соответствующим частям нитей ДНК – молекулы праймеров проталкиваются до тех пор, пока не найдут свое точное дополнение, а затем сцепляются с ним – и действовать как ограничители той части молекулы, которую надо скопировать. В конце температуру снова повышают до значения, при котором полимераза может эффективно функционировать, и на шаблоне растет комплементарная нить. Поскольку фермент должен выдерживать высокие температуры фазы плавления, он экстрагируется из бактерий, таких как Thermus oguaticus, которые живут в горячих источниках. Полный цикл занимает около трех минут. Затем его повторяют снова и снова, от тридцати до сорока раз, постепенно производя десять миллионов копий лоскутков исходной ДНК, лежащих между маркерами праймеров (рис. 2.16). Это означает, что даже из микроскопического образца ДНК нужная область может быть увеличена и сделана пригодной для экспертизы.

Рис. 2.16.Последовательность диаграмм, показывающих, как действует полимеразная цепная реакция (ПЦР). Вверху слева мы видим представление двойной спирали ДНК-мишени. На первом шагу (слева ниже) нити разделяются, и к каждой из них прикрепляются праймеры. Ферменты выращивают комплементарную нить по шаблону, предоставляемому каждой из нитей. Сдвоенные нити плавятся снова, и праймеры прикрепляются к каждой из них. Далее ферменты, как и раньше, строят комплементарные версии нитей, но теперь в смеси появляются копии ДНК, лежащие между двумя праймерами и несущие последовательность, повторяющую мишень, и после ряда повторений они начинают доминировать.
Сама техника профилирования использует полиморфизм наших генов, тот факт, что молекулы ДНК могут существенно различаться у разных индивидов. Например, мусор в интронах нашей ДНК может содержать длинные последовательности бессмысленной ДНК, накопившиеся во время мейоза. Здесь мы сосредоточимся на изменчивом числе тандемных дупликаций(ИЧТД), как, например, переменное число фрагментов …CGATCGATCGATCGAT… в одной и той же области ДНК, накопленных разными индивидами. Поскольку эти тандемные дупликации лежат в интронных областях, они ничего не означают, и индивид, как и любой наблюдатель, совершенно неосведомлен об их существовании, если только это не вариации эксонов, например, ответственных за карий или голубой цвет глаз (последний является результатом отсутствия коричневого пигмента).
Теперь предположим, что мы пользуемся ПЦР, чтобы приумножить ту часть молекулы ДНК, которая у индивидов обладает повышенной полимофностью. Действие ограничительных ферментов, таких как АlиI, которые пропихиваются, пока не найдут последовательность AGCT, защелкнутся на ней, а затем перекусят молекулу, или EcoRI, которые прикрепляются, когда наткнутся на GAATTC и режут в этой точке, будет делить умноженные области ДНК на множество фрагментов разных размеров, зависящих от числа тандемных дупликаций у индивида. Затем образец протаскивается сквозь гель с помощью приложенного электрического тока, этот процесс называют электрофорезом. Поскольку маленькие фрагменты могут проскользнуть через лес перекрестных связей в геле легче, чем большие фрагменты, образец разделяется на ряд полос, которые выглядят немного похожими на торговый штрих-код (рис. 2.17). Картина полос является изображением спектра тандемных дупликаций в образце и, следовательно, характеристикой индивида.

Рис. 2.17.Результаты ДНК-дактилоскопии жертвы, преступника и трех подозреваемых. Профили ясно указывают на подозреваемого 1 как на виновного.
С помощью этого метода или его усовершенствованных вариантов насильники заносятся в книгу, невинность становится очевидной, цари идентифицируются, псевдо-Анастасии разоблачаются, эволюционные связи устанавливаются, разбойников ловят по единому волоску, дети воссоединяются со своими семьями (не в последнюю очередь в Аргентине, где все семьи были брутально перетасованы), а отрекающихся отцов находят, несмотря на их протестующие крики о целомудрии. Не много на свете таких молекулярных достижений – создание пенициллина и противозачаточных пилюль имели подобное же значение, которые оказали такое прямое воздействие на общество.
Одним из наиболее амбициозных проектов двадцатого века было установление всех нуклеотидных последовательностей в геноме человека. Эта задача по существу, конечно, неразрешима, поскольку каждый, кто когда-либо жил (за исключением идентичных близнецов), имеет индивидуальный геном. Однако различия в составе эксонов достаточно невелики, и «типичный геном» является разумным понятием: лишь примерно одно основание на тысячу различно у разных индивидов, так что индивиды отличаются один от другого всего тремя миллионами букв, большая часть которых бессмысленна. Возможно, в один прекрасный день мы сможем выписать свой собственный геном и отнести его своим врачам (а может быть, и в наши страховые компании), а геном ребенка будет определяться при рождении: эта информация будет пригодна для записи на DVD и будет храниться в течение всей жизни.
Масштаб такой задачи можно оценить, если подумать о размере человеческого генома. В вашем геноме около 3 миллиардов нуклеотидных оснований. Книга содержит около миллиона букв, поэтому ваш геном эквивалентен библиотеке из 3000 томов. Допустим, что вы считаете себя по-настоящему искусным химиком, способным определять порядок оснований со скоростью одна штука в час, проводя серию реакций и опознаний их продуктов с помощью стандартных лабораторных техник. Три миллиарда часов составляют 34 000 лет работы. Чтобы достичь цели за десять лет, а не за это смехотворно большое время, вам пришлось бы работать в 3400 раз быстрее, двигаясь по ДНК со скоростью одно основание в секунду, двадцать четыре часа в день, семь дней в неделю. Чтобы быть уверенным в результате, вам придется повторить эту работу несколько раз. Десять повторений могло бы дать последовательность, достойную доверия, если бы вы перебирали основания со скоростью десять штук в секунду.
Как это ни удивительно, цель была успешно достигнута. Подобно двум предыдущим решающим шагам в генетике, первичному квантованию наследственности, проведенному Менделем, и модели ДНК Уотсона-Крика, проект «Генома человека» был переполнен столкновениями приоритетов и прав собственности. Здесь не место приводить подробности о геномных войнах, которые велись главным образом вокруг вопроса о моральности утаивания информации, касающейся генома человека, велись ради самого тонизирующего из эликсиров, личной выгоды. Этот вопрос полностью исчерпали в других публикациях его главные герои, неистовый Крейг Вентер (р. 1946) и гуманный Джон Салстон (р. 1942), не говоря уж о других важных участниках, Фрэнке Коллинзе и Эрике Ландере. Перепалка омрачила момент человеческой истории, которому предназначалось стать вершиной ее достижений; но такова жизнь, и таков, в частности, ее геном. Через несколько лет проявления враждебности будут забыты, как Франко-прусская война, а помнить мы будем лишь само достижение и пути, которые привели к нему.
Решающая процедура состояла в определении каждого нуклеотидного основания в каждой нити ДНК каждой хромосомы. Процедура основывалась на исследованиях Фредерика Сенгера, в ходе которых он после успешной расшифровки белка обратил свое внимание на ДНК и в 1977 г. определил все 5375 оснований вируса fX174. Его процедура состояла в следующем. Сначала Сенгер синтезировал новую нить ДНК, комплементарную к шаблону из одной нити таким способом, что последняя буква несла радиоактивную метку (была молекулой, в которой один атом заменен его радиоактивным изотопом). Чтобы достичь этого, он включил в обычную смесь ферментов и нуклеотидов одну модифицированную версию нуклеотида, называемого дидеоксинуклеотидом. Когда модифицированный нуклеотид вступает в дело, он останавливает копирование и выдает обрезок ДНК, завершающийся помеченным основанием. Затем он повторил процедуру с дидеоксинуклеотидами по отношению к другой тройке букв алфавита. Так как фрагменты обрывались на разных позициях молекулы шаблона, каждый шаг давал молекулы ДНК различной длины. Когда эта смесь протаскивалась сквозь запутанную чащу молекул, создаваемую гелем, молекулы разной длины разделялись и проявлялись на разных участках рентгеновского снимка. Модификация метода, применяемая в программируемых машинах-автоматах, состоит в использовании меток с разными цветами флюоресценции, где A дает красный цвет, C – зеленый и так далее. Элементы этой последовательности можно распознавать электронным способом.
Вторым решающим шагом является постановка этой процедуры на конвейерную основу и получение возможности распознавать тысячи оснований за час. Здесь существуют два основных подхода. Один состоит в работе с последовательностью известных обрезков ДНК. При другом, «пулеметном», подходе ДНК дробят на мириады кусочков, а затем исследуют состав этой смеси. В последнем случае задачей является восстановление последовательности ДНК по ее фрагментам. На этом этапе центральную роль в восстановлении начинают исполнять суперкомпьютеры. Вообще говоря, подход с известными фрагментами является более точным, а пулеметный подход более быстрым. На практике каждый из них поддерживает другой.
Первый эскиз генома человека был обнародован в 2001 г., примерно через пятьдесят лет после определения структуры ДНК и почти через сто лет после обнаружения работы Менделя и возникновения генетики.
Глава третья
Энергия
Универсализация бухгалтерии
Энергия – это вечный восторг.
Уильям Блейк
Великая идея: энергия сохраняется
Ни пульсация биосферы, возникшая из неорганической Земли, ни молекулярная активность, поддерживающая и расширяющая ее сегодня, не могли бы существовать без притока энергии от Солнца. Но что это за вещь, которую мы называем энергией? Это слово может сорваться с губ каждого, а ученый может увидеть в нем то, что связывает Вселенную в постижимую и живую целостность; но что это такое на самом деле?
Поэты, в своей неподражаемой манере, создали концепцию энергии задолго до того, как она попела в поле зрения ученых. Так сэр Филип Сидни, в своей, написанной в 1581 г., Защите поэзиипривлек внимание к «тому, что есть мощь или Energie(как называли ее греки) писателя». Он имел в виду скорее энергичность выражения, чем характеристику движения пули, вылетевшей из мушкета, которая впоследствии убила его. Греки действительно называли это, что переводится буквально как «работа», и мы можем уловить этимологический путь, приведший к понятию литературной энергичности. В наши дни широкая публика приняла такое понимание энергии близко к сердцу и уверила себя, будто точно знает, что это такое, находит это ценным, чувствует существенный вклад этого в современный мир и страшится перспективы утраты этого.
Энергия все еще является объектом литературного дискурса, но она получила новую, богатую и точно очерченную жизнь в науке. Так было не всегда. Научное использование этого термина может быть прослежено вспять до 1807 г., когда Томас Юнг (1773-1829), занимавший должность профессора натурфилософии в такой твердыне науки, какой было Королевское общество Великобритании, а позднее, в замечательно универсальном духе времени, внесший вклад в расшифровку надписи на розеттском камне, конфисковал этот термин для науки, когда написал, что «термин энергия может быть с великим удобством применен для обозначения произведения массы или веса тела на квадрат численного выражения его скорости». Как и многие пионерские сообщения, заявление Юнга о «великом удобстве» оказалось полупропечённым, и нам придется приложить некую работу, чтобы завершить его выпечку. Проделав ее, мы придем к пониманию современной интерпретации энергии и увидим значение и важность ее сохранения.
Чтобы уловить суть природы энергии, нам необходимо понять две очень важные вещи, касающиеся событий и процессов в мире. Одна касается характеристик движения тел в пространстве; другая – природы теплоты. Описание движения в пространстве было в основном завершено к концу семнадцатого столетия. Потребовалось на удивление долгое время, чтобы сразиться с природой тепла и в конце концов одержать победу. Этой цели не удавалось достигнуть до середины девятнадцатого века. Как только движение и тепло были поняты, ученые успешно расправились и с природой событий. Или так они в то время думали.
Греки размышляли о движении тел, хотя и без всякой пользы, и две тысячи лет держали мир в заблуждении: их стиль вопрошания из кресла гораздо лучше подходил для математики и этики, чем для физики. Так, Аристотель (384-322 до н.э.) умозаключил, что стрела удерживается в полете действием воздушных вихрей, создаваемых ею, и поэтому сделал вывод, что в вакууме стрела должна быстро остановиться. Как это часто бывает, наука проясняет вопрос, превращая общепринятое мнение в противоположное, и мы теперь знаем, что верно в точности обратное: сопротивление воздуха замедляет движение стрелы, а не толкает ее вперед. Свидетельств о необходимости поддерживающей силы в те тяжкие времена было множество, ибо рогатому скоту приходилось напрягаться, чтобы удерживать в движении скрипучие деревянные повозки. Абсурдно было бы думать обратное, ведь тогда селянам пришлось бы запрягать рогатый скот позади движущейся телеги, чтобы остановить ее естественное движение. Изобретательный ум Аристотеля увидел в воздухе вихри, толкающие стрелу вперед и тем самым спасающие его теорию.
Аристотель имел и более общие иллюзии относительно причины событий и движения объектов. Как феноменологические рассуждения, его иллюзии были вполне осмысленными, и он заслуживает восхищения за непрестанный поиск объяснений и выпытывание у Природы ответов. Однако, помимо абсолютной ложности, его мнения были лишены того, что мы сегодня называем объяснительной силой, и совершенно не поддавались переложению на язык цифр. Например, он представлял себе ряд концентрических сфер со сферической Землей в центре, окруженной последовательно сферой воды, сферой воздуха и сферой огня, а все это в целом заключено в хрустальные сферы небес. В его модели вещество искало свое природное место, так, первоначально подброшенные кверху земные объекты падали на Землю, а языки пламени рвались наверх, стремясь к своему природному обиталищу. Легко отыскать дыры в этой модели с нашей современной точки зрения, но она владела умами людей на протяжении двух тысячелетий, возможно, потому, что люди находились во власти традиции, требовавшей учиться у авторитетов, не полагаясь на собственные наблюдения, или, может быть, потому, что в упражнениях своей любознательности им недоставало мужества, необходимого для того, чтобы противопоставить наблюдения авторитету.
Главным вкладом Галилея в эту конкретную историю было то, что он сбросил с глаз повязку авторитетных мнений и, с открытыми для наблюдений глазами, продемонстрировал ложность аристотелевой версии событий. Галилей постулировал, что если тело не подвергается действию силы, то оно сохраняет состояние своего движения. Он пришел к этому заключению, наблюдая скатывание шара по наклонной плоскости и последующее вкатывание на противоположную плоскость, и заметив, что, каков бы ни был угол наклона второй плоскости, шар подымается на одну и ту же высоту. Он заключил, что, если бы вторая плоскость была горизонтальной, шар катился бы вечно, поскольку никогда не достиг бы первоначальной высоты. Введение наклонной плоскости было само по себе гениальным приемом, поскольку оно замедлило процесс падения тела до такой степени, что его стало возможно изучать количественно и с большой точностью, и таким образом представление открыло путь наблюдению.
Это заключение Галилея стало поворотным пунктом в науке, поскольку оно подчеркнуло силу абстракции и идеализации, о которых я упомянул в Прологе, причем последняя дала возможность пренебречь побочными факторами, затемняющими суть эксперимента. Конечно, Галилей никогда явноне демонстрировал, что шар будет вечно катиться и катиться, и в любом эксперименте этого рода реальный шар на деле рано или поздно остановится, очевидно и несомненно следуя Аристотелю. Однако Галилей понял, что бывают существенныекомпоненты поведения с одной стороны и побочные влияния с другой. Последние включают трение и сопротивление воздуха: уменьшая их (например, полируя шар и поверхности плоскостей), он мог приблизиться к идеальной ситуации и выявить суть поведения шара. В мире аристотелевского опыта, где рогатый скот тяжко топает по грязи, таща тяжелые повозки, побочные влияния полностью затопили суть поведения повозки.
Факел Галилея перешел к Ньютону. В соответствии со старым календарем Исаак Ньютон [11]11
Вся информация о Ньютоне, какую только можно пожелать, есть на сайте:
http://www.newton.cam.ac.uk/newton.html.
[Закрыть](1642-1727) родился в год смерти Галилея (рис. 3.1), так что романтически настроенные любители признаков реинкарнации могут усмотреть здесь переселение души. В отличие от Галилея, Ньютон по всем описаниям был весьма сварливым и вздорным человеком, но он также был одним из величайших ученых. Почти в одиночку он привел математику на службу физике и таким образом открыл дорогу для современной количественной физической науки. Он сделал больше, он изобрел математику, которая была ему нужна для осуществления его программы, и его Principia [12]12
Более полно, Philosophiae naturalis principia mathematicaили Математические принципы натуральной философии.
[Закрыть], опубликованные в 1687 г., являются памятником мощи человеческого интеллекта, приложенного к решению проблемы рационализации наблюдений.

Рис. 3.1.Ньютон и современная физика родились в этой комнате утром в день Рождества 1642 г. Мебель не является подлинной.
Пять аксиом Эвклида для формулирования геометрии, которую мы исследуем в главе 9, полностью задают структуру пространства, и с их помощью мы узнаем, где мы находимся. Три закона Ньютона полностью задают движение в этом пространстве, и с их помощью мы узнаем, куда мы направляемся. В немного упрощенном виде они выглядят так:
1. Тело продолжает равномерное движение по прямой линии, если оно не подвергается действию силы.
2. Ускорение тела пропорционально приложенной силе.
3. Каждому действию всегда противостоит равное противодействие.
Из этих трех простых утверждений вырастает все здание классической механики, как называется описание движения, основанное на законах Ньютона, а также понимание и предсказание движения частиц, снарядов, планет, а в наши дни также спутников и космических кораблей.
Первый закон Ньютона есть простое повторение формулировки анти-аристотелевского наблюдения Галилея, и иногда его называют законом инерции.
Его второй закон обычно считают самым полезным из трех, поскольку он позволяет нам рассчитать путь частицы через область, где действует сила. Там, где сила толкает сзади, мы ускоряемся в том же направлении; когда она толкает спереди, мы тормозимся. Если сила толкает сбоку, мы поворачиваем в том направлении, куда она вынуждает нас двигаться.
Сам закон записывается в форме:
Сила = масса × ускорение,
где масса (более специальный термин – инерционная масса)является мерой сопротивления частицы действию силы. Для заданной силы ускорение велико, если масса мала, но если масса велика, то ускорение мало. Другими словами, высокая инерционная масса дает низкий уровень отклика, и наоборот. Острый глаз заметит тавтологию в этом законе, поскольку он определяет массу в терминах силы, а силу в терминах массы.
Поскольку ускорение является скоростью, с которой меняется скорость, мы можем, по-видимому, оценить по достоинству то, что внутри второго закона Ньютона зарыта возможность предсказания пути частицы, подвергающейся действию силы, которая может меняться от места к месту и принимать разные значения в разные моменты времени. «Зарыта» – термин, подходящий к этому случаю, поскольку расчет путей может оказаться весьма мудреным упражнением, более похожим на эксгумацию, чем на алгебру. Тем не менее это можно проделать для ряда простых случаев; но даже для сложных полей сил, таких, которые возникают возле двойной звезды, за эту задачу можно браться, используя компьютеры (рис. 3.2). Говоря короче, мы можем интерпретировать второй закон как утверждение, что, если мы знаем, где находится частица, или даже группа частиц, в данное время, мы можем в принципе предсказать, где ее найти и куда она будет двигаться в любое более позднее время. Предсказания таких точных траекторий представляют собой одно из достижений, прославивших классическую механику.

Рис. 3.2.Орбиты космических кораблей, рассчитанные с помощью механики Ньютона. Вычисления являются сложными, поскольку космические корабли подвергаются влиянию планет. Верхняя диаграмма показывает пути Вояджера 1 и Вояджера 2, начавших свои полеты в 1977 г. и функционирующих до сих пор. Вояджер 1, самый удаленный объект во Вселенной, сделанный человеком, покидает Солнечную систему со скоростью 3,6 а.е. в год (1 а.е., одна астрономическая единица представляет собой средний радиус орбиты вращения Земли вокруг Солнца и соответствует примерно 150 миллионам километров), под углом 35 градусов к плоскости планетарных орбит. Вояджер 2 также уходит из Солнечной системы со скоростью около 3,3 а.е. в год, под углом 48 градусов к этой плоскости, но в противоположном направлении. Нижний график показывает приращения скорости космических кораблей, когда они облетали каждую из планет. Эти поддержанные гравитацией приращения гарантируют, что скорость кораблей достаточна, чтобы они могли достичь своих целей, а затем покинуть Солнечную систему.
Третий закон Ньютона более глубок, чем выглядит. На первый взгляд кажется, что из него следует лишь то, что если бита прилагает силу к мячу, то мяч прилагает равную и противоположную силу к бите. Мы, разумеется, можем чувствовать силу, приложенную к мячу, когда мы ударяем по нему битой или пинаем его ногой. Однако подлинная значимость третьего закона состоит в том, что из него следует закон «сохранения». А сохранение это как раз та тема, которой посвящена вся эта глава, так что теперь мы начинаем подбираться к намеченной жертве. Однако сначала нам следует немного распаковать использованные здесь понятия.
Закон сохраненияявляется утверждением, сообщающим о том, что ничто не меняется. Это может показаться самым неинтересным из возможных видов комментирования в науке. В действительности это, как правило, наиболее глубокий и наиболее содержательный тип научных законов, поскольку он дает интуитивное проникновение в симметрию – по существу, в форму – систем и даже в симметрии пространства и времени. Частным законом сохранения, следующим из третьего закона Ньютона, является закон сохранения импульса. В классической механике импульсом тела называется просто произведение его массы на его скорость:
Импульс = масса × скорость.
Из этого определения следует, что быстро летящее пушечное ядро имеет большой импульс, а медленно летящий шарик пинг-понга имеет маленький импульс. Импульс является характеристикой силы удара движущегося тела при его столкновении с объектом, характеристикой той разницы, которую иллюстрирует сравнение ударов пушечного ядра и шарика для настольного тенниса. Закон сохранения импульса утверждает, что полный импульс системы частиц не меняется, если на систему не действует никакая внешняя сила. Поэтому, например, когда соударяются два бильярдных шара, их общий импульс после соударения остается таким же, каким он был до него. Прежде чем мы сможем понять это утверждение, нам придется более полно рассмотреть содержание понятия «импульс».
Импульс есть направленная величина, в том смысле, что две частицы одинаковой массы, движущиеся с одинаковой скоростью, но в разных направлениях, имеют разные импульсы. Два бильярдных шара, катящиеся друг к другу по одной прямой с одинаковой скоростью, имеют равные, но противоположно направленные импульсы, а их общий импульс равен нулю. Когда они сталкиваются «лоб в лоб», они останавливаются, так что импульс каждого мгновенно обращается в нуль, а общий импульс после столкновения снова равен нулю. Мы видим в этом примере, что, хотя импульсы отдельных частиц меняются, общий импульс остается неизменным. Это заключение обобщается на все случаи: какие бы импульсы ни имели индивидуальные частицы первоначально, сумма этих моментов (с учетом различных направлений и величин импульсов) после взаимодействия частиц будет оставаться такой же, какой была прежде (рис. 3.3). Бильярд как таковой является игрой, основанной почти полностью на принципе сохранения импульса: каждое столкновение шаров между собой или шара с бортом подчиняется этому закону и порождает различные траектории движения по столу, зависящие от первоначального угла подхода.

Рис. 3.3.Столкновения и взаимодействия в целом сохраняют импульс в том смысле, что полный импульс после столкновения остается таким же, каким он был в начале. Здесь мы видим столкновение шара с группой шаров. Импульс ударного шара указан с помощью длины и направления стрелки слева. Этот импульс передается шести «красным» шарам, и их индивидуальные импульсы заданы длинами и направлениями стрелок справа. Если вы сложите эти стрелки «головой к хвосту», не меняя их ориентации, вы получите в результате длину и направление начальной стрелки.
Теперь мы можем совершить гигантский, но контролируемый прыжок из бильярдной во Вселенную. Забавно, что, поскольку импульс сохраняется в любом процессе, величина импульса Вселенной тоже должна быть фиксированной. Поэтому, когда вы выезжаете в своем автомобиле, пусть даже вы всего лишь набираете импульс при разгоне или меняете направление вашего импульса, поворачивая за угол, что-то где-то получает импульс так, чтобы общий импульс Вселенной не изменился. Когда вы выезжаете, вы действительно немного толкаете Землю в противоположном направлении: вы ускоряете движение Земли по орбите, если трогаетесь в одном направлении, и замедляете, если отбываете в другом направлении. Однако масса Земли столь велика в сравнении с массой вашего автомобиля, что этот эффект будет совершенно незаметен, как бы много покрышек вы ни спалили. Но он существует.
Я упомянул ранее, что закон сохранения является следствием симметрии, или окном в симметрию, или что-то в этом роде. Что-то в этом роде в данном случае есть само пространство, так как в конечном счете симметрия пространства ответственна за сохранение импульса. Симметрия пространства, форма пространства: что это может означать? В данном примере все это означает, что пространство не состоит из кусков. Если вы двигаетесь сквозь пустое пространство по прямой линии, оно остается в точности тем же самым: повсюду оно гладкое и неизменное. Сохранение импульса это как раз знак того, что пространство не является кусковатым, а третий закон Ньютона это способ высказать то же самое на «высоком уровне».
Существует еще одно следствие третьего закона Ньютона, другой закон сохранения, другое интуитивное проникновение в форму пространства. Мы обсуждали импульс, характеристику частицы, движущейся по прямой линии. Существует еще одно свойство, момент импульсаили момент количества движения, характеристика частицы, движущейся по кругу. Быстро вращающееся тяжелое маховое колесо имеет очень большой момент импульса, а медленно вращающееся колесо велосипеда имеет маленький момент импульса.
Момент импульса может быть передан от одного объекта другому, если первый объект прилагает ко второму вращающий момент, закручивающую силу, и отклик второго тела на этот вращающий момент зависит не только от его массы, но и от того, как эта масса распределена. Например, труднее разогнать колесо, если его масса сосредоточена в ободе, чем если та же масса расположена около оси. Вот почему в маховом колесе сталь сосредоточена около обода (рис. 3.4): такое распределение хорошо гасит изменения угловой скорости, а металл около оси менее эффективен и поэтому является излишним.

Рис. 3.4.Маховое колесо имеет значительную массу, сконцентрированную на большом расстоянии от его оси. Такое колесо требует большого вращающего момента (закручивающей силы), чтобы изменить свой момент импульса. В модели приводимого в движение паром тягового двигателя, показанной на иллюстрации, маховое колесо (верхнее из изображенных колес) помогает сохранять устойчивое движение поршня.
Если внешний вращающий момент к системе не прилагается, то момент импульса сохраняется. Предположим, что два вращающихся бильярдных шара соударяются на полированном столе; тогда момент импульса может быть передан от одного к другому и вращение одного может частично перейти к другому. Тем не менее момент импульса после столкновения остается таким же, каким он был первоначально: момент импульса сохраняется. То же верно и в целом: полный момент импульса семейства взаимодействующих частиц нельзя ни создать, ни уничтожить. Даже если вращающийся бильярдный шар замедляет движение из-за трения, момент импульса не теряется: он переходит к Земле. В результате Земля вращается немного быстрее (если бильярдный шар первоначально крутился в том же направлении, что и Земля) или немного медленнее (если шар вращался в противоположном направлении). Если вы едете в направлении вращения винта по северному полушарию, вы ускоряете вращение Земли, но замедляете его снова, если тормозите или останавливаетесь. Вселенная в целом, очевидно, имеет нулевой момент инерции, поскольку не существует никакого вращения Вселенной как целого. Таким он и будет оставаться всегда, поскольку мы не можем производить момент инерции; мы можем лишь переносить его от одного кусочка Вселенной к другому.









