Текст книги "Кригсмарине. Военно-морской флот Третьего рейха"
Автор книги: Константин Залесский
Жанры:
История
,сообщить о нарушении
Текущая страница: 21 (всего у книги 54 страниц)
ПЕТЕРС (peters) Ганс (23.12.1884, Лютьенбург – 29.11.1947, Гейзенке, Лихтендорф), деятель ВМС, инженер, вице-адмирал (30.9.1936). 1.10.1903 поступил в инженерную службу ВМС. Служил на различных кораблях, с 1913 – на подлодках. Участник 1-й мировой войны, главный инженер подлодки U-24 (6.12.1913—31.7.1916), инженер 2-й подводной флотилии (1.9—30.11.1918). За боевые отличия награжден Железным крестом 1-го и 2-го класса. 18.10.1919 переименован в обер-лейтенанты. С 7.12.1921 инструктор военно-морского училища в Киле-Вике. С 24.9.1925 главный инженер линейного корабля «Эльзас». 1.10.1927 переведен в Морское руководство начальником отдела. С 14.10.1929 главный инженер в командовании флотом Германии. После прихода НСДАП к власти и начала крупномасштабных перемещений в высшем руководстве флота П. 28.9.1933 назначен инженером и начальником штаба военно-инженерного отдела предприятий по производству корабельных машин. 30.9.1936 уволен в отставку.
ПЕТЕРС (peters) Рудольф (9.8.1899, Царренцин, Померания – 14.9.1990, Валлентуна, Швеция), военно-морской деятель, контр-адмирал (1.7.1944). 1.10.1917 поступил добровольцем на флот. Прошел подготовку в военно-морском училище в Мюрвике (1918, завершил курс в 1921). Участник 1-й мировой войны, в марте—сент. 1918 плавал на линейном корабле «Нассау»; фенрих (18.8.1918). 1.12.1918 переведен в резерв, но 9.5.1919 вновь приступил к активной службе. 10.1.1921 произведен в лейтенанты. С 16.10.1922 вахтенный офицер на миноносце Т-149. 1.10.1925 переведен в Морское руководство, а 22.3.1927 возглавил роту училища торпедного дела и связи. С 24.9.1931 торпедный офицер на крейсере «Карлсруэ», с 28.8.1933 инструктор торпедного училища. 7.12.1936 переведен в учебный отдел 3-й дивизии эскадренных миноносцев, а 29.7.1937 назначен командиром эскадренного миноносца «Пауль Якоби». С 4.11.1938 советник инспекции боевой подготовки. 15.8.1940 назначен 1-м офицером Адмирал-штаба в штабе командующего крейсерами, а 27.12.1940 – 1-м офицером линейного корабля «Гнейзенау». 18.4.1942 переведен в распоряжение командующего адмирала военно-морской станции «Остзее» и вскоре переведен в подводный флот. С 23.7.1942 командир 24-й (учебной) флотилии подлодок. Со 2.1. 1943 командующий подводными лодками в Норвегии; одновременно 15.3–4.6.1944 командующий адмирал в Северных водах. 5.6.1944 П. принял командование над 1-й боевой группой ВМС, но уже 21.10.1944 переведен в распоряжение начальника морских вооружений. 6.9.1944 награжден Золотым Германским крестом. Фактически карьера П. закончилась, и до конца войны он самостоятельных постов уже не занимал. 30.4.1945 вышел в отставку.

Рудольф Петерс
ПЕТЕРСЕН (petersen) Рудольф (15.6. 1905, Атцербаллиг, Альсен – 2.1.1983, Фленсбург), военно-морской деятель, командор (23.9.1944). 1.4.1925 поступил на флот матросом. Окончил военно-морское училище в Мюрвике (1928), курсы при торпедном, заградительном и морском артиллерийском училищах (1928). 1.10. 1929 произведен в лейтенанты. С 28.9. 1929 плавал на линейном корабле «Силезия», с 8 марта по 21 дек. 1930 – на крейсере «Карлсруэ». С 26.9.1931 вахтенный офицер на гидрографическом корабле «Метеор», с 1.4.1932 командир гидрографического корабля V. 29.9.1933 П. назначен вахтенным офицером на миноносец «Ягуар», а 26.9.1934 – адъютантом миноносца «Тигр». С 28.9.1935 командир торпедного катера S-9, а с 21.9.1936 – роты корабельной кадрированной дивизии «Остзее». Окончил Военно-морскую академию (1938). С 12.8.1938 командовал 2-й флотилией торпедных катеров. Успешно действовал во время Польской и Французской кампаний. 4.8.1940 награжден Рыцарским крестом Железного креста. С 26.10. 1941 офицер для особых поручений при штабе командующего миноносцами. 27.11. 1941 переведен в распоряжение командующего адмирала военно-морской станции «Остзее». 20.4.1942 назначен фюрером торпедных катеров и занимал этот пост до конца войны. Фактически возглавлял всю деятельность торпедных катеров в 1942—45, когда они добились наиболее значительных успехов. 13.6.1944 получил дубовые листья к Рыцарскому кресту. 22.7. 1945 арестован властями союзников, но в конце года освобожден.

Рудольф Петерсен
«ПИНГВИН» (pinguin), вспомогательный крейсер НsК-33. Спущен на воду 12.11. 1936 на верфи фирмы «Везер АГ» (Бремен). Первоначально – грузовое судно «Канделфельс» (Kandelfels); принадлежал германскому фрахтовому обществу «Ганза» (Бремен). После начала 2-й мировой войны реквизирован ВМФ и переоборудован во вспомогательный крейсер. 6.2. 1940 включен в состав ВМФ. Имел следующие параметры: длина – 155 м, ширина – 18,7 м, осадка – 8,7 м, водоизмещение 7766 т. Движение корабля обеспечивал дизель, который позволял ему развивать скорость до 17 узлов. Вооружение: 6×150-мм орудий SK, 1×75-мм орудие SK, 4×37-мм зенитных орудия, 4×20-мм зенитных пулемета, а также 4 торпедных аппарата калибра 533 мм и 380 мин. Корабль нес 2 самолета Не.114В (а с марта 1941 – 1 самолет Arado 196). Корабль обслуживал экипаж в 401 чел.
15.6.1940 вышел из Готенхафена для ведения торговой войны в Атлантике. После прорыва через Датские проливы 31.7. 1940 потопил свое первое торговое судно – «Доминго де Ларринага». Совершил плавание к Мадагаскару, а затем в Индийский океан. За время рейдерства потопил 28 кораблей общим водоизмещением 136 551 т. 8.5.1941 потоплен в районе Сейшельских островов в Индийском океане британским тяжелым крейсером «Корнуолл», большая часть экипажа погибла, спаслось лишь 60 чел.
Командир: капитан 1-го ранга Эрнст Феликс Крюдер (2.1940—8.5.1941).
ПИНИНГ (piening) Адольф Корнелиус (16.9.1910, Зюдеренде – 15.5.1984. Киль), офицер-подводник, капитан 3-го ранга (1.4. 1943). 9.10.1930 поступил на флот кадетом. 1.10.1934 произведен в лейтенанты. Служил на броненосном крейсере «Дойчланд», миноносцах и торпедных катерах. В окт. 1940 переведен в подводный флот. В июне 1941 совершил боевой поход на подлодке U-48. 23.8.1941 назначен командиром U-155, на которой совершил 8 походов (проведя в море в общей сложности 459 дней). 13.8.1942 награжден Рыцарским крестом Железного креста. 15.11. 1942 потопил британский эскортный крейсер «Авенджер» (водоизмещением 13 875 т). Всего за время военных действий П. потопил 26 кораблей общим водоизмещением 140 449 т и повредил 1 корабль водоизмещением 6736 т. В марте 1944 назначен командиром 7-й флотилии подводных лодок в Сен-Назаре. 30.4.1945 П. вместе с последней оставшейся в его подчинении подлодкой U-255 покинул Францию. В мае 1945 взят в плен и помещен в лагерь для военнопленных. В 1947 освобожден. В 1956 поступил на службу в ВМС ФРГ. В 1969 вышел в отставку в звании капитана 1-го ранга.
ПЛАТ (plath) Иоахим (3.6.1893, Лидерштедт, Саксония – 28.6.1971, Штаде, Нижняя Саксония), военно-морской деятель, контр-адмирал (1.9.1942). 1.4.1913 поступил на флот кадетом. Прошел подготовку на тяжелых крейсерах «Винета» и «Виктория Луиза», а также в военно-морском училище в Мюрвике. Участник 1-й мировой войны, в 1914—17 воевал в составе морского корпуса «Фландрия»; лейтенант (18.9.1915). С 6.4.1917 вахтенный офицер флотилии эскадренных миноносцев «Фландрия», с 4.12.1918 вахтенный офицер и командир миноносца G-92. 22.6. 1919 интернирован, в янв. 1920 освобожден и в апр. вновь принят на службу. С 24.3. 1921 командир артиллерийской учебной лодки «Хай», с 6.1.1923 адъютант и командир роты корабельной артиллерийской школы. С 12.10.1924 вахтенный офицер на линейном корабле «Ганновер», с 1.10. 1925 – «Эльзас». С 30.9.1926 инструктор корабельной артиллерийской школы. С 8.10. 1931 артиллерийский офицер на крейсере «Лейпциг», с 28.9.1933 – советник инспекции военно-морской артиллерии. 21.9. 1936 назначен 1-м офицером броненосца «Дойчланд», а 29.9.1937 1-м офицером Адмирал-штаба в штабе командующего броненосным флотом. 4.4.1939 переведен в ОКМ, где возглавил организационный отдел. С 16.11.1941 командир 1-й охранной дивизии кораблей. 1.3.1943 назначен командующим береговой обороной на Восточной Балтике и комендантом крепости Готенхафен. 30.9.1943 проведена реформа береговой обороны и пост П. ликвидирован, а П. назначен на вновь созданную должность командующего береговой обороной в Центральной Балтике (с оставлением комендантом крепости). 11.12.1944 ведомство П. было преобразовано в штаб командующего адмирала на Восточной Балтике, а сам он назначен адмиралом в штабе группы армий «Х». 4.5. 1945 возглавил 317-ю дивизионную группу. 22.7.1945 арестован союзниками. 2.12.1946 освобожден.

Иоахим Плат
ПОБЕДЫ ГЕРМАНСКОГО ФЛОТА. Ниже приводится список надводных военных кораблей союзников основных классов, потопленных кораблями и подлодками германского ВМФ.
Линкоры:
14.10.1939: «Royal Oak» (Великобритания), торпедирован подлодкой U-47 в Скапа-Флоу;
24.5.1941: «Hood» (Великобритания), потоплен во время боя с «Бисмарком» и «Принцем Евгением»;
25.11.1941: «Barham» (Великобритания), торпедирован подлодкой U-331 близ Соллума (Средиземное море).
Авианосцы:
17.9.1939: «Courageous» (Великобритания), торпедирован подлодкой U-29 в Северной Атлантике;
8.6.1940: «Glorious» (Великобритания), потоплен во время боя с «Шарнхорстом» и «Гнейзенау»;
13.11.1941: «Ark Royal» (Великобритания), торпедирован подлодкой U-81 близ Гибралтара (Средиземное море);
22.12.1941: «Audacity» (Великобритания), торпедирован подлодкой U-751 в Северной Атлантике;
11.8.1942: «Eagle» (Великобритания), торпедирован подлодкой U-73 близ Балерса (Средиземное море);
15.11.1942: «Avenger» (Великобритания), торпедирован подлодкой U-155 в Атлантике;
29.5.1944: «Block Island» (США), торпедирован подлодкой U-549 в Северной Атлантике.
Крейсера:
19.11.1941: «Sydney» (Австралия), потоплен вспомогательным крейсером «Корморан» западнее берегов Австралии в Индийском океане;
24.11.1941: «Dunedin» (Великобритания), торпедирован подлодкой U-124 в Южной Атлантике;
14.12.1941: «Galatea» (Великобритания), торпедирован подлодкой U-557 близ Александрии (Средиземное море);
11.3.1942: «Naiad» (Великобритания), торпедирован U-565 близ Крита (Средиземное море);
2.5.1942: «Edinburgh» (Великобритания), поврежден подлодкой U-456 и потоплен эскадренными миноносцами Z-24 и Z-25 в Баренцевом море;
16.6.1942: «Hermione» (Великобритания), торпедирован подлодкой U-205 близ Крита (Средиземное море);
23.10.1943: «Charybdis» (Великобритания), потоплен миноносцами T-23 и T-27 в Ла-Манше;
18.2.1944: «Penelope» (Великобритания), торпедирован подлодкой U-410 близ Анцио (Средиземное море);
8.7.1944: «Dragon» (Великобритания/ Польша), потоплен мини-подлодкой «Негер» у берегов Нормандии.
Эскадренные миноносцы:
21.1.1940: «Exmouth» (Великобритания), торпедирован подлодкой U-22 в Северном море;
18.4.1940: «Daring» (Великобритания), торпедирован подлодкой U-23 в Северном море;
8.4.1940: «Glowworm» (Великобритания), потоплен броненосцем «Адмирал Хиппер» восточнее Тронхейма;
10.4.1940: «Hardy» (Великобритания), потоплен эскадренными миноносцами в 1-м бою у Нарвика;
10.4.1940: «Hunter» (Великобритания), потоплен эскадренными миноносцами в 1-м бою у Нарвика;
23.5.1940: «Jaguar» (Великобритания), потоплен торпедными катерами S-21 и S-23 в Ла-Манше;
29.5.1940: «Grafton» (Великобритания), торпедирован подлодкой U-62 в Ла-Манше;
29.5.1940: «Wakeful» (Великобритания), потоплен торпедным катером S-30 западнее Дюнкерка в Ла-Манше;
31.5.1940: «Sirocco» (Франция), потоплен торпедными катерами S-23 и S-26 в Ла-Манше;
8.6.1940: «Acasta» (Великобритания), потоплен в бою с «Шарнхорстом» и «Гнейзенау»;
8.6.1940: «Ardent» (Великобритания), потоплен в бою с «Шарнхорстом» и «Гнейзенау»;
5.7.1940: «Whirlwind» (Великобритания), торпедирован подлодкой U-34 южнее берегов Ирландии;
25.2.1941: «Exmoor» (Великобритания), потоплен торпедным катером S-30 в Ла-Манше;
19.8.1941: «Bath» (Новая Зеландия), потоплен подлодкой U-204 в Северной Атлантике;
18.10.1941: «Broadwater» (Великобритания), торпедирован подлодкой U-101 в Северной Атлантике;
18.10.1941: «Reuben James» (США), торпедирован подлодкой U-552 в Северной Атлантике;
23.10.1941: «Cossack» (Великобритания), торпедирован подлодкой U-563 западнее Гибралтара;
19.12.1941: «Stanley» (Великобритания), торпедирован подлодкой U-574 западнее Азорских островов;
17.1.1942: «Gurkha» (Великобритания), торпедирован подлодкой U-133 в Средиземном море;
17.1.1942: «Matabele» (Великобритания), торпедирован подлодкой U-454 в Баренцевом море;
31.1.1942: «Belmont» (Великобритания), торпедирован подлодкой U-82 в Северной Атлантике, юго-восточнее Нова-Скотии;
15.3.1942: «Vortigern» (Великобритания), потоплен торпедным катером S-104 в Ла-Манше;
26.3.1942: «Jaguar» (Великобритания), торпедирован подлодкой U-652 в Средиземном море;
15.6.1942: «Hasty» (Великобритания), потоплен торпедным катером S-55 в Средиземном море;
14.9.1942: «Ottawa» (Канада), торпедирован подлодкой U-91 в Северной Атлантике;
20.9.1942: «Somali» (Великобритания), торпедирован подлодкой U-703 в Северном Ледовитом океане;
26.9.1942: «Veteran» (Великобритания), торпедирован подлодкой U-404 в Северной Атлантике;
10.11.1942: «Martin» (Великобритания), торпедирован подлодкой U-431 в Средиземном море;
13.11.1942: «Isaac Sweers» (Нидерланды), торпедирован подлодкой U-431 у берегов Алжира (Средиземное море);
3.12.1942: «Penylan» (Великобритания), потоплен торпедным катером S-115 в Ла-Манше;
9.12.1942: «Porcupine» (Великобритания), торпедирован подлодкой U-602 северо-восточнее Орана (Средиземное море);
11.12.1942: «Blean» (Великобритания), торпедирован подлодкой U-443 западнее Орана (Средиземное море);
16.12.1942: «Firedrake» (Великобритания), торпедирован подлодкой U-221 в Северной Атлантике;
18.12.1942: «Partridge» (Великобритания), торпедирован подлодкой U-565 западнее Орана (Средиземное море);
31.12.1942: «Achantes» (Великобритания), потоплен броненосцем «Адмирал Хиппер» во время боя в Баренцевом море;
11.3.1943: «Harvester» (Великобритания), торпедирован подлодкой U-432 в Северной Атлантике;
12.3.1943: «Lightning» (Великобритания), потоплен торпедными катерами S-55 и S-158 в Средиземном море;
11.4.1943: «Beverly» (Великобритания), торпедирован подлодкой U-188 в Северной Атлантике;
14.4.1943: «Eskdale» (Великобритания), потоплен торпедными катерами S-65 и S-112 в Ла-Манше;
6.9.1943: «Puckeridge» (Великобритания), торпедирован подлодкой U-617 восточнее Гибралтара (Средиземное море);
10.9.1943: «Rowan» (США), потоплен торпедными катерами в Средиземном море;
20.9.1943: «St. Croix» (Канада), потоплен подлодкой U-305 южнее берегов Исландии в Северной Атлантике;
8.10.1943: «Orkan» (Польша), торпедирован подлодкой U-378 в Северной Атлантике;
9.10.1943: «Buck» (США), торпедирован подлодкой U-616 близ Салерно (Средиземное море);
13.10.1943: «Bristol» (США), торпедирован подлодкой U-371 в Средиземном море;
23.10.1943: «Limbourne» (Великобритания), потоплен торпедным катером T-22 в Ла-Манше;
2.11.1943: «Borie» (США), потоплен подлодкой U-405 в Восточной Атлантике;
24.12.1943: «Hurricane» (Великобритания), потоплен подлодкой U-415 в Северной Атлантике;
24.12.1943: «Leary» (США), торпедирован подлодками U-275 и U-382 в Северной Атлантике;
30.1.1944: «Hardy» (Великобритания), торпедирован подлодкой U-278 в арктических водах;
20.2.1944: «Warwick» (Великобритания), торпедирован подлодкой U-413 в Ла-Манше;
25.2.1944: «Mahratta» (Великобритания), торпедирован подлодкой U-956 в арктических водах;
9.3.1944: «Leopold» (США), торпедирован подлодкой U-255 южнее берегов Исландии в Северной Атлантике;
30.3.1944: «Laforey» (Великобритания), торпедирован подлодкой U-233 в Средиземном море;
29.4.1944: «Athabascan» (Канада), потоплен торпедным катером T-24 в Ла-Манше;
5.5.1944: «Fechteler» (США), потоплен подлодкой U-967 в Средиземном море;
6.6.1944: «Sevenner» (Нидерланды), потоплен миноносцами «Мёве», «Фальке», «Ягуар» и Т-28 в Ла-Манше;
20.7.1944: «Isis» (Великобритания), потоплен мини-подлодкой в Ла-Манше;
2.8.1944: «Fiske» (США), потоплен подлодкой U-804 в Северной Атлантике;
3.8.1944: «Quorn» (Великобритания), потоплен мини-подлодкой в Ла-Манше;
16.1.1945: «Деятельный» (СССР), потоплен подлодкой U-997 в Арктических водах;
23.2.1945: «La Combattante» (Франция), потоплен мини-подлодкой в Северном море;
24.4.1945: «Frederic C. Davis» (США), торпедирован подлодкой U-546 в Северной Атлантике.
ПОБЕДЫ ПОДВОДНОГО ФЛОТА. На протяжении войны германский подводный флот вел операции против торгового флота союзников. Ниже приводится количество и тоннаж судов союзников, потопленных германскими и итальянскими подводными лодками на протяжении 2-й мировой войны.

* Торпедные аппараты / кормовые аппараты
«ПОДВОДНИК», нагрудная пряжка подводника (u-boots-frontspange), нагрудный знак. Учрежден 15.5.1944 приказом К. Дёница и имел только одну степень («в бронзе» – in Bronze), 24.11.1944 введена более высокая степень – «в серебре» (in Silber), т. е. посеребренная. Внешний вид знака разработан берлинским графиком Вильгельмом Эрнстом Пеекхаузом. Был предназначен прежде всего для награждения подводников, отличившихся в операциях в Атлантике. Вручался членам команд подводных лодок, выполнявших специальные задания командования. Правом награждения знаком 2-й степени (за 15 боевых походов) обладал командир флотилии, а знаком 1-й степени (за 25 боевых походов) – командующий подводным флотом. Существуют данные, что в конце войны планировалось учредить пряжку «в золоте» (за 40 боевых походов), но сведений о награждении ею нет. Знак имел цинковый венок из дубовых листьев, от которого вправо и влево шли пучки дубовых листьев; наверху имперский орел. В центре помещалось изображение подводной лодки (Тип VII), а внизу – скрещенные мечи. Обе степени изготовлялись из цинка, а затем соответственно покрывались бронзой или серебром. Знак имел следующие размеры: ширина 76–77 мм, высота 15–16 мм, высота венка 24 мм, вес 19 граммов; крепился на булавке выше Железного креста 1-го класса. Знаки в основном производились на фирме «Шверине» (Берлин), по ряду сведений, в их изготовлении также принимали участие фирмы Рудольфа Карнехта и Фридриха Линдена. Пряжку 2-й степени получило 464 чел., 1-й степени – 196 чел.

Нагрудная пряжка подводника
ПОДВОДНЫЕ ЛОДКИ (u-boot), боевые корабли германского ВМФ, способные погружаться и длительное время действовать в подводном состоянии. Использовались как для борьбы с боевыми кораблями противника, так и для ведения неограниченной подводной войны – действий против торговых кораблей противника.
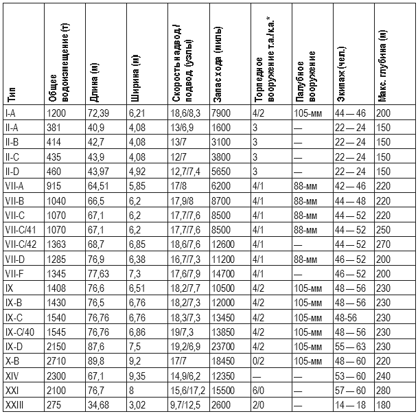
В ВМФ Германии существовали следующие виды П.л.: для действия в прибрежных водах (типы II-A, II-B, II–C, II-D); большого радиуса действия (IX, IX-B, IX–C, IX–C/49, IX-D); атлантические П.л. (VII-A, VII-B, VII–C, VII–C/40, VII–C/42); а также предназначенные для выполнения специальных задач – I-A (первые учебные П.л.), VII-D (минные), VII-F (для доставки торпедного вооружения), U-Flak (зенитные), X-B (минные), XIV (лодки снабжения), XXI и XXIII (электрические П.л.). Общий список П.л. (с указанием дат строительства, боевой истории и списком командиров) см. в Приложении к этой книге.

Подводная лодка
Тактико-технические характеристики подводных лодок ВМФ Германии:
ПОДВОДНЫЙ ФЛОТ, составная часть ВМС, род войск. Объединяет в себе подводные лодки, а также корабли обеспечения, плавучие базы, штабы и т. д. Первоначально руководство ПФ осуществлял Отдел подводного флота Морского руководства (с 1.11.1934 по 17.10.1935 его возглавлял капитан 1-го ранга Карл Бартенбах). 1.10.1935 был введен пост фюрера подводных лодок (Führer der Unterseeboote, FdU), который 25.3.1943 был переименован в командующего подводными лодками (Befehlshaber der Unterseeboote, BdU). Эти посты бессменно всю войну занимал К. Дёниц. В янв. – февр. 1943 при Дёнице действовал особый штаб во главе с капитаном 1-го ранга Карлом Хофманом.
Командование ПФ состояло из 2 основных отделов: Организационного (BdU-Organisationsabteilung; с марта 1942 – 1-й отдел) и Оперативного (BdU-Operationsabteilung; с марта 1942 – 2-й отдел).
Начальник Орготдела с 12.9.1941 стал именоваться 2-м адмиралом подводного флота (2. Admiral der U-Boote), а с марта 1943 командующим адмиралом подводных лодок (Kommandierender Admiral der U-Boote) и фактически стал командующим ПФ. В ведении Орготдела находилось большинство вопросов, касавшихся обеспечения действий ПФ, вооружения, ремонта и т. д. Ниже приводятся структура и руководители подразделений Орготдела.
Начальники Организационного отдела (с 12.9.1941 2-й адмирал подводного флота, с марта 1943 командующий адмирал подводных лодок): генерал-адмирал Ганс Георг фон Фридебург (25.10.1939—1.5. 1945); контр-адмирал Эбергард Годт (30.1. 1943—2.1943; и.о.); капитан 1-го ранга Курт Дорбатц (5.1945).
Начальники штаба: капитан 2-го ранга Бойке (3.1943—5.1943); контр-адмирал Эрнст Кратценберг (5.1943—4.1945); капитан 1-го ранга Курт Добратц (4.1945—5.1945); капитан 3-го ранга (инж.) Энглер (5.1945).
Личное бюро: капитан 3-го ранга Швартинг (8.1940—5.1945).
Центральный отдел:
подотдел Z1: капитан 3-го ранга фон Рейхе (6.1942—5.1945);
подотдел Z2: капитан 3-го ранга Скаке (9.1940—5.1945).
Суд при 2-м адмирале подводных лодок: герихтсрат д-р Брейнин (10.1941—2.1943).
Юрист при командующем адмирале: оберкригсгерихтсрат Хагеман (3.1943—2.1944); флоттенрихтер Франц Иоахим Крюгер (2.1944—1.1945); гешвэдеррихтер д-р Меезе (1.1945—5.1945).
A I (отдел общих вооружений).
A II (торпедное и минно-заградительное вооружение): капитан 3-го ранга Эверт (1.1940—2.1943); капитан 2-го ранга Шух (2.1943—5.1945).
A III (артиллерийское и навигационное оборудование): капитан 3-го ранга Паукштадт (10.1939—10.1941); капитан-лейтенант Корт (10.1941—3.1942); капитан 3-го ранга Цан (4.1942—9.1943); капитан-лейтенант Мёльман (9.1943—11.1944); капитан-лейтенант Люден (11.1944—1.1945).
A IV (средства связи): капитан-лейтенант Грундке (10.1939—7.1943); капитан-лейтенант Вильгельм Грундман (7.1943—5.1945).
Учебный отдел: капитан 3-го ранга Залман (6.1941—5.1945).
Технический отдел: инженер-контр-адмирал Отто Тедсен (10.1939 – 5.1945).
Военно-инженерный отдел: инженер-капитан-лейтенант Хунтемюллер (12.1939—3.1940); инженер-капитан 3-го ранга Винклер (4.1940—11.1943); инженер-капитан 2-го ранга Оттон Тейхман (11.1943—1.1945); инженер-капитан 2-го ранга Энглер (1.1945—5.1945).
Санитарный отдел: штабс-арцт д-р Люббен (10.1939—8.1940); штабс-арцт д-р Кунерт (9.1940—2.1942); флотен-артц д-р Поле (2.1942—5.1945).
Отдел кадров:
подотдел PI (офицеры): капитан 3-го ранга Йепенер-Хальтенхофф (2.1940—5.1945);
подотдел PII (унтер-офицеры и матросы): капитан 3-го ранга Мюллер-Арнеке (1.1940—11.1944); капитан-лейтенант Франкен (11.1944—1.1945); капитан 3-го ранга Мюллер-Арнеке (1.1945—5.1945).
Административный отдел: капитан 2-го ранга д-р Вальтер Буххольц (10.1939—1.1942); капитан 3-го ранга Вуттке (1.1942– 7.1943); капитан 1-го ранга д-р Вальтер Буххольц (7.1943—1.1945); капитан 3-го ранга Мурш (1.1945—5.1945).
Оперативный отдел осуществлял непосредственное планирование и руководство операциями ПФ в Атлантике, Северном море и в Индийском океане (в других регионах существовали особые командования), кроме того, он обеспечивал общее стратегическое планирование подводной войны. В ведении отдела также находились вопросы непосредственного обеспечения подводников продовольствием, обмундированием, снаряжением и т. д. Штаб-квартира Оперотдела размещалась в Свинемюнде (8.1939), Вильгельмсхафене (9.1939—11.1939), Сенгвардене, близ Вильгельмсхафена (11.1939—9.1940, 2.1945—4.1945), Париже (9.1940—10.1940, 3.1942—3.1943), Керневеле, близ Лорена (10.1940—3.1942), Берлине (3.1943—12. 1943), Бернау (12.1943—2.1945), Плёне (4.1945), Фленсбург-Мюрвике (5.1945). Ниже приводятся структура и руководители подразделений Оперативного отдела.
Начальник Оперативного отдела: контр-адмирал Эбергардт Годт (10.1939—5.1945).
1-е офицеры Адмирал-штаба: капитан 3-го ранга Эбергардт Годт (1.1938—10. 1939); капитан 3-го ранга Виктор Ёрн (10. 1939—5.1940, 11.1940—11.1941); капитан 3-го ранга Вернер Хартман (5.1940—10.1940); капитан 2-го ранга Гюнтер Хесслер (11.1941—5.1945).
1-е оперативные офицеры Адмирал-штаба (офицеры Адмирал-штаба по конвоям): капитан-лейтенант Адальберт Шнее (10.1942—7.1944); капитан-лейтенант Генрих Шрётелер (7.1944—12.1944); капитан 3-го ранга Эрнст Хехлер (4.1945—5.1945).
2-е офицеры Адмирал-штаба: капитан-лейтенант Ганс Геррит фон Штокхаузен (10.1938—8.1939); капитан 3-го ранга Ганс Гюнтер Лооф (9.1939—3.1940); капитан-лейтенант Карл Даублески фон Эйхмайн (4.1940—2.1943); капитан-лейтенант Петер Эрих Кремер (2.1943—5.1945); капитан 3-го ранга Альфред Хошатт (5.1943—5.1945).
3-е офицеры Адмирал-штаба: капитан-лейтенант Ганс Кохауш (1.1939—9.1939); капитан-лейтенант Герберт Куппиш (9.1941—6.1942); капитан-лейтенант Вильгельм Мур (6.1942—5.1945).
4-е офицеры Адмирал-штаба (коммуникации и торпедное вооружение): капитан-лейтенант Ганс Геррит фон Штокхаузен (9.1939—11.1939); капитан 3-го ранга Ганс Мекель (11.1939—5.1944); капитан 3-го ранга Герман Раш (6.1944—10.1944); капитан 3-го ранга Вальдемар Мель (10. 1944—5.1945).
5-е офицеры Адмирал-штаба (бухгалтерия): капитан-лейтенант Вернер Винтер (11.1939—5.1941); капитан 3-го ранга д-р Готфрид Тойфер (6.1941—5.1945).
6-е офицеры Адмирал-штаба: капитан-лейтенант Герберт Куппиш (6.1942—12. 1942); капитан 3-го ранга Герберт Шультце (12.1942—3.1944); капитан 3-го ранга Ганс Людвиг Витт (3.1944—10.1944); капитан-лейтенант Курт Нейде (10.1944—5.1945).
Инженерные офицеры: инженер-капитан 2-го ранга Отто Тедсен (1.1936—10. 1939); инженер-капитан-лейтенант Ганс Лоошен (11.1939—10.1940); инженер-капитан 3-го ранга Карл Шеель (10.1940—2.1943); инженер-капитан-лейтенант Герд Зурен (2.1943—6.1944); инженер-капитан-лейтенант Карл Гейнц Вибе (6.1944 – 5.1945)
Для руководства действиями ПФ в наиболее важных регионах создавались особые штабы командующих подводными лодками:
Командующий подводными лодками на Западе (FdU. West). Впервые штаб был сформирован в авг. 1939 в Германии и должен был объединить все подлодки, действующие против Западных держав. На этот пост был назначен капитан-лейтенант Ганс Иббекен (командир флотилии «Зальтцведель»), однако фактически никаких действий этот штаб предпринять не смог, тем более что вскоре Дёниц поручил курировать действия П. Ф. на Западе лично Эрвину Васснеру. В июле 1942 в Париже начал формироваться новый штаб, который в 1943 был переведен в Анжер. В конце 1944 штаб был эвакуирован в Берген (Норвегия).
Командующий: капитан 1-го ранга Ганс Рудольф Рёзинг.
Состав: 1-я, 2-я, 3-я, 6-я, 7-я, 9-я, 10-я и 12-я флотилии подлодок.
Командующий подводными лодками в Норвегии (FdU. Norwegen). Штаб сформирован в Нарвике в янв. 1943 и передан в оперативное подчинение Командования группы ВМС «Север». В окт. 1944 после прибытия в Берген штаба командующего подводными лодками на Западе командование подводными лодками в Норвегии переименовано в командование подводными лодками на Севере (FdU. Nord).
Командующие: капитан 1-го ранга Рудольф Петерс (1.1943—5.1944); капитан 2-го ранга Рейнгард Зурен (5.1944—5.1945).
Состав: 11-я, 13-я и 14-я флотилии подлодок.
Командующий подводными лодками в Италии (FdU. Italien). Штаб сформирован в нояб. 1941 и в оперативном отношении подчинен Командованию ВМС в Италии. В авг. 1943 переименован в штаб командующего подводными лодками на Средиземном море (FdU. Mittelmeer), штаб-квартира переведена из Рима в Тулон (Южная Франция). В сент. 1944 после успешной высадки союзников на Юге Франции штаб был расформирован, а все подлодки, действующие в этом регионе, переданы в подчинение командующего адмирала в Эгейском море.
Командующие: капитан 3-го ранга Виктор Ёрн (11.1941—1.1942); контр-адмирал Лео Крейш (27.1.1942—25.1.1944); капитан 1-го ранга Вернер Хартман (1.1944—9.1944).
Состав: 23-я и 29-я флотилии подлодок.
Начальник Южного пространства (Chef im Südraum), штаб – Пенанг.
Командующий подводными лодками на Востоке (FdU. Ost), штаб – Данциг.
Командующий адмирал на Черном море (Adm.Schwarzes Meer), штаб – Констанца.

Командующий подводными лодками Карл Дёниц
ПОЛЛМАН (pollmann) Отто (3.3.1915, Везермюнде, Нижняя Саксония – 28.2. 1958, Леер, Нижняя Саксония), морской офицер, кавалер одной из высших военных наград, капитан-лейтенант (1.3.1945). После окончания школы поступил на торговый флот. 1.4.1939 записался в ВМФ и в качестве специалиста по радиосвязи и кандидата в офицеры резерва назначен на эскадренный миноносец «Берндт фон Арним». К началу 2-й мировой войны плавал на кораблях 12-й флотилии охотников за подводными лодками. 1.8.1942 произведен в лейтенанты и в начале 1943 назначен командиром охотника за подлодками UJ-2210, действовавшего в Средиземном море. После того как П. потопил 5 подлодок противника, он 19.5.1943 был награжден Рыцарским крестом Железного креста. Когда же его личный счет достиг 10 подлодок, П. 26.1.1944 получил Золотой Германский крест. Еще 4 подлодки принесли ему дубовые листья к Рыцарскому кресту (25.4.1944). Однако вскоре после этого корабль П. был потоплен подлодкой противника, а сам он в конце 1944 был назначен командиром 11-й флотилии охотников за подлодками на Балтике. В самом конце войны П. был назначен командиром роты батальона «Эммерман», который осуществлял охрану правительства К. Дёница во Фленсбурге. В 1955 принят на службу в ВМС ФРГ в чине капитан-лейтенанта.
ПОСКЕ (poske) Ганс Георг Фридрих (23.10.1904 – 1.10.1984, Вахтберг, близ Бонна), офицер-подводник, капитан 1-го ранга (1.10.1943). 1.4.1925 поступил на флот кадетом. 1.10.1927 произведен в лейтенанты. Служил на миноносце «Альбатрос», легких крейсерах «Кёнигсберг» и «Нюрнберг». В окт. 1940 переведен в подводный флот. 30.7.1941 назначен командиром подлодки U-504 (Тип IX–C), на которой совершил 4 похода (проведя в море в общей сложности 264 дня). Во 2-м походе потопил 4 корабля (общим водоизмещением 26 561 т). 6.11.1942 награжден Рыцарским крестом Железного креста. Всего за время военных действий П. потопил 16 кораблей общим водоизмещением 82 135 т. 5.1.1943 назначен командиром 1-й подводной учебной дивизии. В конце войны возглавил специальный штаб по формированию пехотных подразделений из личного состава ВМС. В мае 1945 взят в плен. В апр. 1946 освобожден. В 1951 поступил на службу в ВМС ФРГ. В 1963 вышел в отставку в звании капитана 1-го ранга.
«ПОТСДАМ» (potsdam), вспомогательный авианосец германского флота. Построен как пассажирский лайнер фирмой «Блом унд Фосс» (Гамбург). Спущен на воду 16.1.1935, вступил в строй 28.6. 1936. Получил название по имени германского города Потсдам. Имел следующие параметры: длина – 203 м, ширина – 26 м, максимальная скорость – 21 узел, водоизмещение – 23 500 т. После начала войны принято решение о переоборудовании «П.» во вспомогательный авианосец, для чего на нем было установлено следующее вооружение: 8×105-мм и 10×37-мм зенитных орудий и 2 катапульты для подъема самолетов. «П.» должен был нести 24 самолета. Использовался как учебный авианосец. Оборудование «П.» не было завершено и участия в боевых действиях он не принимал. После свертывания программы развития авианосного флота корабль приказом А. Гитлера от 2.2. 1943 выведен из состава флота.








