Текст книги "Насмешливое вожделение"
Автор книги: Драго Янчар
Жанр:
Современная проза
сообщить о нарушении
Текущая страница: 17 (всего у книги 17 страниц)
Глава тридцать четвертая
УДАР ТИШИНЫ
Автобус припустил вверх по извилистой дороге, между тесно расположившимися холмами. Из-под колес на дребезжащие стекла оседали капли грязи, поэтому утренний пейзаж, проносившийся мимо, был размытым и мутным. В начале ноября выпал небольшой снег, но быстро растаял. Ненадолго выглянуло солнце, высветившее кучи мокрых венков, увядшие цветы и смятые, забрызганные грязью траурные ленты, потом снова потемнело. Все время казалось, что с неба вот-вот начнет что-то падать, но это просто пришло обычное время пасмурных дней. Только теперь он понял, как хорошо они, эти дни, ему знакомы, дни, когда облака застыли над городом, когда в окнах домов уже в полдень зажигают свет. Через несколько дней после похорон он сидел в материнской квартире, на кухне, за столом, под низко висящей лампой с фарфоровым абажуром, и перебирал ее бумаги. Кипа его открыток была перетянута резинкой, а сверху еще перевязана белой тесемкой. В ящике он обнаружил оправу для очков без стекол. Оправа для толстых линз, для сильных диоптрий. Очки бессмысленно уставились на него своими дырами. Где-то он уже видел эти очки без стекол, где-то видел.
Он ходил по улицам, на тротуарах которых снежная жижа оставила пятнистые следы. В старом доме, куда он приходил каждый день и который так хорошо знал, в коридорах и на лестницах, как в это время каждый год, на стенах проступали пятна сырости. Он лежал у Анны, смотрел по утрам в потолок, пока она, погромыхивая, варила себе кофе перед уходом на работу, а потом слушал ее шаги, которые различал среди других под окном на тротуаре, стук автомобильной дверцы, рокот двигателя.
Он снова здесь, почти год спустя. И опять этот размытый пейзаж за окнами дребезжащего автобуса. Автобусная остановка, куда он отправился утром, сразу после того, как Анна уехала, была черным-черна, толпа рабочих шевелилась в полумраке под тусклыми фонарями. Лица у них были сонные, руки зябли, некоторые пристроились у киосков, откуда шел теплый воздух, и прикладывались к утренней выпивке. Потом мимо окон побежали фасады зданий, городские улицы с темными фасадами домов по обеим сторонам. Домов с пустыми окнами, только рамы одни остались. Домов со столетней памятью и гнетущей сыростью, просачивающейся сквозь стены. Изнутри, из теплых жилищ, наружу, в сумрачное ноябрьское утро просачивалась сырость самоубийства, трупная сырость, которая липла к окнам автобуса и нависала над безмолвными головами редких утренних пассажиров. Дорога пошла вниз, в овраг, и они поехали по узкому ущелью. Теперь мимо проносились склоны, покрытые черным кустарником и мхом.
Он не знал точно, куда едет. В деревню, откуда были родственники, пришедшие на похороны. Туда, где темные крестьянские лица, которые, как ему казалось, он все давно знает. Утром перед зеркалом он узнавал их черты на своем лице. Черты тех, чьи лица, когда его в детстве к ним привозили, были еще свежими и гладкими. Теперь у мужчин лица были кое-как выбриты, у женщин обветрились и покраснели, и у тех, и у других резко прочерчены морщины по обеим сторонам носа, темные круги под глазами. Один в один его лицо, многократно помноженное. Он ехал туда, где когда-то лежал на траве и слушал, как бьет колокол церкви Святого Антония. Тогда он думал о далеких мирах, куда долетает этот звон, тех, что за горами, за морями, тех, что надежно запрятаны в книги. Попробовал мысленно представить себе телеграфные столбы, шум трактора в ближайшем дворе, и тут в голову пришло, что здесь все так с незапамятных времен, с незапамятных времен одно и то же, все застыло.
Между тем дорога миновала ущелье и шла теперь вдоль пруда, который здесь называли озером. Он вышел из автобуса и стал ждать рассвета. Маленькая девочка толкала в гору свой велосипед, на нем позвякивали молочные бидоны. Темный купол неба покоился над водой, издали его освещал косой солнечный луч, пробивавшийся из расщелины между небом и землей. С поля раздавались крики ворон, из расселины ударила хрустальная тишина. Потом почти час он шел прямо на этот свет, лившийся из вселенской расселины. Пустился в странствие, спускался в низины и всякий раз, когда опять поднимался на холм, свет перед ним все еще сиял. Как будто солнце отказывалось всходить или уже давно взошло и теперь светило из какого-то неизвестного места, прямо в этот просвет между небом и землей.
Потом он увидел знакомую колокольню, ему показалось, что она совсем рядом, и теперь он знал, куда идет. Он шел по раскисшему проселку и остановился у какого-то дома. Собрался было войти. В окнах дома дяди Йожефа все еще горел свет. Он услышал голоса, которые раздавались с заднего двора. Входить не стал, зашагал дальше, и когда дорога пошла на взгорок, с этой возвышенности увидел людей в синих рабочих халатах и белых фартуках. Над котлами поднимался пар, женщины в резиновых сапогах по грязному двору приносили и уносили посудины. Мужчины нарезали еще теплое мясо только что убитых животных. Он услышал крики и смех, подумал, что кто-то его заметил, но обращались не к нему. Спустился по краю леса, через кукурузную стерню. У деревянного распятия, у бледного лица на его верху он шагнул в лесной сумрак. Через несколько шагов нашел место, которое искал. Между деревьями были небольшие бугорки, он их определенно узнал. В детстве он часто лежал здесь, смотрел сквозь деревья на небо, на странствующие облака и слушал отдаленные голоса лета. Мечтал о странах, которые где-то там, далеко. Бугорки были рядом с опушкой, возле стены деревьев, сквозь которые пробивались слабые лучи солнечного света, просвечивали зелень и желтизна окрестностей. Это были иллирийские курганы, могилы каких-то древних и неизвестных людей. Местные жители несколько раз их раскапывали, уверенные, что найдут там монеты и украшения. Ничего, кроме нескольких костей, не откопали. Впрочем, вода и время устранили учиненный разгром, и курганы под грудами перегнивающей листвы снова обрели округлые очертания.
Он присел на мокрые листья, спиной прислонился к дереву. Он добрался сюда, на могилы, которые знал с самого детства. Повсюду был тлен, знакомые трухлявые стволы и листья, запах гнили, мокрых лесных тропинок в чаще, перепрелой кукурузной стерни, запах червоточин и плесени. Этот запах стоял над всей округой, он был в хлевах и крестьянских постелях, запах, который люди приносили с собой в трактиры и в автобусы, запах, который обитал на городских улицах и мирно реял над окрестностями. Воздух, пропитанный земными испарениями, был густ, там, за его спиной, он покрывал берега озера и, скользя по его прозрачной поверхности, поднимался по конусу света под небесный свод.
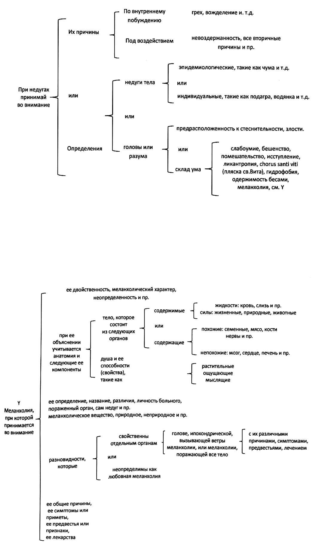
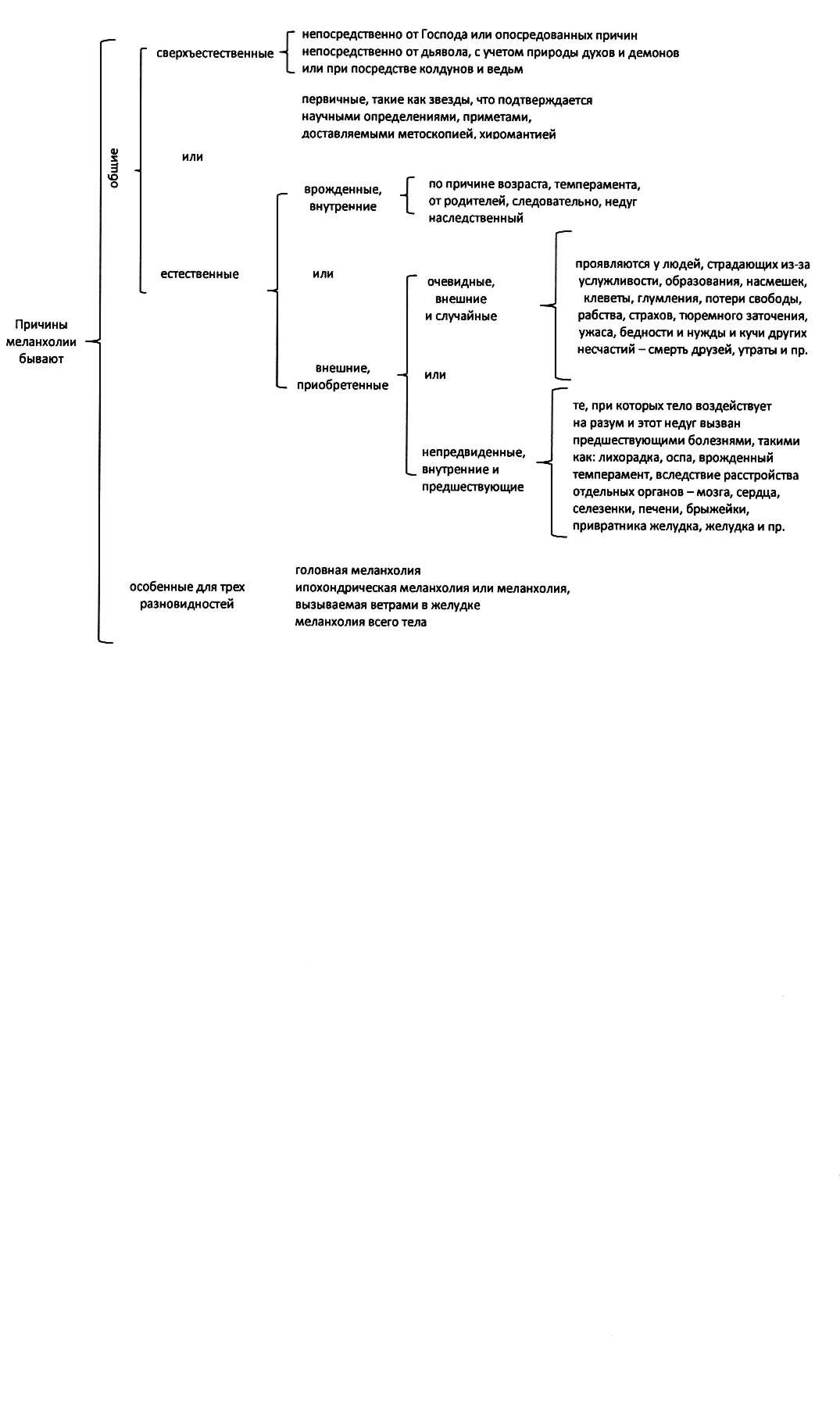
Он лег на мокрую землю, теперь сквозь деревья навстречу ему струился свет, идущий из той яркой расселины между небом и землей. Между топорщившимися ветками и черной листвой открылись широкие, до самого горизонта, просторы. Оттуда, с самого края земли, струился сквозь расселину сияющий сноп света. По нему наверх отбывали жизни и в самом святейшем месте встречались с бесами меланхолии, стремительно падавшими вниз.
Кто-то засмеялся, ему показалось, что совсем рядом. Потом он заметил, что смех исходит оттуда, из места низвержения, где кто-то лелеет злобные мысли и скрипит зубами: тот, кто высоко, очень высоко, смеется над ним. Владычествующий там насмехается над всеми, и над ним тоже, над тем, как он распластался на влажной земле, на лесной опушке.
С колокольни Святого Антония ударил колокол, ударил вместе с тишиной, теперь он отчетливо его слышал, теперь он знал, что звук на мгновение задержится над его головой, а потом исчезнет в той яркой расселине на горизонте. И теперь он знал о себе, что и его эхо и образ, как тот звук, тоже отправятся за тем неумолимым смехом.
Бим-бам. Ха-ха.



































