Текст книги "Интернет-журнал "Домашняя лаборатория", 2007 №1"
Автор книги: Журнал «Домашняя лаборатория»
Жанры:
Хобби и ремесла
,сообщить о нарушении
Текущая страница: 38 (всего у книги 39 страниц)
Разрешение этого «парадокса» на следующей странице.
Возникновение данного «парадокса» заключается в неправильном понимании того, что именно должно быть неразличимо при λ1 ~= λ2. На деле физическое требование неразличимости ситуаций λ1 ~= λ2 и λ1 = λ2 заключается в том, что при δ —> w0 переходить друг в друга должны не общие решения (2) и (5) уравнения (1), а решения физической задачи, каковой является задача Коши о колебаниях осциллятора с данными начальными условиями х0 и х∙0. А последнее свойство как раз имеет место. Убедимся в этом.
При δ = w0 решение задачи Коши имеет вид:
(6)
При δ —> w0 общее решение должно переходить именно в него.
В общем случае δ /= w0 решение задачи Коши имеет вид:
(7)
При δ —> w0 частота осцилляций р —> 0, дробь > sin pt/p – > t, cos pt —> 1, и решение (7) переходит в (6). Видно, что хотя формально осцилляции (т. е. члены с синусом и косинусом) в решении (7) сохраняются всегда, но частота их (именно, р) становится столь малой, что на не слишком больших временах (много меньших, чем период колебаний τ = 2π/p >>1) они незаметны. Т. е. отличие δ от w0о можно заметить лишь через очень большое время, и тем большее, чем меньше эта разность, что физически разумно.
Задача: "Возле жесткой стенки (но достаточно далеко) на горизонтальном полу лежит шар массы M, на перпендикуляре между этим шаром и стенкой лежит шар массы m (m < M). Большой шар начинает двигаться точно к стенке с какой-то скоростью. Малый шар начинает биться между стенкой и большим шаром (все соударения абсолютно жесткие и лобовые). Доказать что при M/m > оо, N/√(M/m) = —> π где N – число соударений малого шара с большим и стенкой."
Утверждается что при:
M/m = 1, N = 3 (всем ежам ясно);
M/m = 100, N = 31;
M/m = 10000, N = 314;
M/m = 1000000, N = 3141,
ну и т. д.
Решение.
Рассмотрим процесс упругого соударения двух шаров. Введем некоторые обозначения. Скорость большего шара обозначим через V1 малого – через v2. Эти скорости – алгебраические величины, т. е. они могут быть любого знака, смотря по тому, в какую сторону движется шар. Так, в начальный момент времени (до соударений) V1(0) < 0, v2(0) = 0. Отношение масс шаров M/m обозначим через x.
Известно, что в системе центра масс (Ц.М.) системы двух шаров столкновение заключается в том, что шары меняют свои скорости на противоположные. Поэтому обозначая скорости шаров в системе Ц.М. до столкновения через, соответственно, V~1- и v~2-, после столкновения – соответственно, V~1+ и v~2+, а скорость самого Ц.М. – через vc, получаем:
Т.е., подставляя (1) в (2), для скоростей шаров после соударения получаем:
После столкновения шаров легкий шар (второй) еще сталкивается со стенкой. При этом скорость тяжелого шара не меняется, а скорость легкого меняется на противоположную: v2+ |-> v2+. Таким образом, если до k-го столкновения шары имели скорости, соответственно, V1(k) и, v2(k), то перед следующим, (л + 1) – м столкновением скорости их будут:
Перепишем эти соотношения в терминах параметра х = M/m:
Станем теперь в каждый момент времени характеризовать состояние системы вектором
Получаем дин. систему:
с начальным состоянием
Значит, вообще
Обозначим матрицу через Т и займемся ее спектральным анализом.
Собственные числа Т находятся из секулярного уравнения
Корни его суть λ± = х – 1 ± 2i√x, а собственные векторы, им отвечающие – суть векторы
Поэтому матрица Т диагонализуется в базисе {e->±}, т. е.
Значит, эволюция нашей системы описывается соотношением:
Перемножая матрицы, получим:
Рассмотрим первую компоненту этого вектора, т. е. скорость тяжелого шара на n-м шаге:
Т.к. λ_ = λ-+, то и λn_= а значит,
Далее, имеем: λn+ = (х – 1 + 2i√x)n = (х + 1)neinφ, где φ = arctg (2√x/(x-1)). Поэтому
V1(n) = V1cos (n∙arctg (2√x/(x-1))).
Теперь мы в состоянии решить поставленную изначально физическую задачу. В самом деле, нам необходимо определить асимптотику числа соударений N легкого шара о тяжелый и стенку при условии х —> оо. Чем определяется это число N для любого конечного значения параметра х? Взаимодействие шаров можно представлять себе следующим образом: в начальный момент времени тяжелый шар движется к стенке со скоростью V1. При этом он сначала замедляется по мере того, как легкий шар отбирает у него энергию, затем тяжелый шар останавливается, и наконец, процесс идет в обратном направлении, т. е. легкий шар начинает отдавать обратно запасенную энергию, разгоняя таким образом тяжелый шар до его начальной скорости (поскольку потери энергии отсутствуют). Значит, если мы определим номер шага n, на котором выполняется условие
V1(n) = – V1
то число соударений N будет равно 2n (поскольку учитываются и соударения легкого шара со стенкой тоже, а соударения легкого шара с тяжелым шаром и со стенкой чередуются). Но условие (3) означает
При х —> оо дробь
поэтому, раскладывая арктангенс в окрестности нуля в ряд Тейлора, получаем:
Заменяя в последнем асимптотическом равенстве 2n на N и устремляя х к бесконечности, получаем:
N ~ π√x, х —> оо
что и требовалось.
Прибавление. На самом деле в решении есть лакуна. Конечное состояние системы, после последнего столкновения отвечает не обязательно нулевой скорости меньшего шара и скорости – V1 у большего. Такое конечное состояние соответствует случаю, когда последнее столкновение легкого шара происходит с тяжелым шаром, а не со стенкой, и необходимым условием выполнения условия (4) является кратность π числу arctg (2√x/(x-1)). Последнее же условие выполняется далеко не при любом х. В тех случаях, когда условие (4) не выполняется последнее столкновение легкий шар претерпевает со стенкой и катится затем в сторону тяжелого шара, но уже больше не догоняет его из-за того, что скорость его стала меньшей, чем у тяжелого шара. Таким образом максимально строгое условие, налагаемое на n будет:
|V1(n)| > |v2(n)|. (5)
Из выражения для V-> (n) найдем v2(n)
Поэтому условие (5) превращается в:
Первый вариант соответствует началу процесса, второй – его завершению. Поскольку arctg (1/√x) – бесконечно малая величина при x —> оо, то последнее условие переходит в (4), так что решение с этого места не меняется.
Попробуем разобраться в вопросе о происхождении приливных сил на Земле. Рассмотрим систему двух тел: Земля – Луна (Рис. 1).
Рис. 1
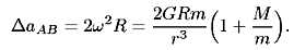
Обычно говорят, что приливные силы на Земле возникают в точках А и В и обусловлены неоднородностью гравитационного поля Луны на расстояниях порядка земного диаметра (примерно 12 000 км), и это верно. В самом деле, гравитационное ускорение, испытываемое единичной массой воды в точке А из-за силы притяжения Луны составляет fA = Gm/(r + R)2, где G – гравитационная постоянная, m – масса Луны, r – расстояние между центрами Земли и Луны, R – радиус Земли. Аналогичное ускорение, испытываемое водой в точке В, составит fB = Gm/(r – R)2’ а ускорение самой Земли (которую мы полагаем твердым телом) будет между этими значениями: Gm/r2. Таким образом, разность гравитационных сил притяжения Луны, действующих на воду в точках А и В, как бы растягивает водную массу (как, впрочем, пытается растянуть и Землю) в стороны и отодрать ее от Земли, причем эта разность составляет
Сила же, отрывающая единичную массу воды в точках А и В от поверхности Земли, одинакова и по абсолютной величине составляет |fA – fB| = 2GRm/r3’
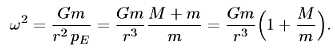
Однако наряду с гравитационным эффектом есть еще и центробежный. Именно, известно, что система Земля – Луна в соответствии с законами Кеплера вращается вокруг центра масс (обозначенного нами точкой С), расположенного на расстоянии рE от центра Земли и рM – от центра Луны, причем рE = (m/(m + M))∙r, рM = (M/(m + M))∙r, а M/m = 81. При этом единичные массы воды, расположенные в точках А и В, имеют центростремительные ускорения аA = w2(pE + R), аB = w2(pE – R), в то время как Земля имеет среднее ускорение аO = w2pE. Значит, в неинерциальной системе отсчета, связанной с Землей, на эти массы воды будут действовать центробежные силы, также стремящиеся отодрать воду от Земли, растянуть всю систему, и их разность составит ΔаAB = 2w2R. Остается найти w2 и сравнить эффекты.
Т.к. тело массы M вращается по круговой орбите радиуса рE вокруг точки С под действием силы гравитационного притяжения GMm/r2, то

откуда

Таким образом получается, что

Т.е.
Мы видим таким образом, что если все вышеизложенное верно, то центробежный эффект не только присутствует, но и вносит основной вклад в поднятие воды при приливах, поскольку на порядок (вроде, в 40 раз!) сильнее.
В то же время представляется, что оба эффекта независимы, и обсуждать их надо по отдельности, поскольку порождены они различными физическими явлениями. Обосновывается данная мысль тем, что мы можем в принципе выделить эффекты по отдельности и рассматривать их изолированно один от другого. Для иллюстрации сказанного представим себе две группы ситуаций, в которых каждый раз действует лишь один эффект:
1. Никакого вращения нет, сила притяжения между Землей и Луной действует как обычно, но сами эти небесные тела прибиты к своим неподвижным местам гвоздями. Тогда, разумеется, никакой центробежной силы нет, ΔаAB = 0, а неоднородность гравитационного поля Луны сохраняется, и потому приливы все-таки есть, но они чисто гравитационные. Т. е. воду от поверхности Земли отрывает лишь гравитация. Правда, поскольку вращение системы Земля-Луна вокруг их общего центра масс мы здесь выключили, то не только ΔаAB = 0, но и вообще центробежной силы нет, сила притяжения воды Луной ничем не компенсируется, и потому вода (в той или иной степени) соберется в точке В и будет свисать там каплей. Таким образом, в данной ситуации в точке В будет наблюдаться мега-прилив, а в точке А – мега-отлив.
1’. То же, что и в пункте 1, но Земля не прибита гвоздями к своему месту, а поступательно падает на Луну под влиянием закона Всемирного Тяготения. Опять ΔаAB = 0 (поскольку никакого вращения нет и в помине).
В неинерциальной системе отсчета, связанной с Землей, сила притяжения Луны компенсируется силой инерции, но происходит это лишь в центре Земли, а в точках А и В компенсация неполная, так что мега-приливов не будет, а будут симметричные приливы (гравитационные) в точках А и В. В инерциальной системе отсчета, связанной с системой отсчета центра масс системы Земля-Луна ситуация выглядит так: Земля падает на Луну с ускорением, равным местному ускорению свободного падения Луны в точке О, а массы воды в точках А и В падают со своими ускорениями, отличающимися от ускорения Земли – за счет этого происходит растяжение системы Земля-вода. Чисто гравитационное растяжение…
2. Никакой Луны нет, а мы просто берем Землю и вращаем ее на веревке с угловой скоростью си вокруг точки С. Тогда нет никакой неоднородности гравитационного поля Луны (за отсутствием самой Луны), ΔаAB = 0, зато есть центробежные силы, и притом ровно такие, как вычислено. Опять наблюдаются мега-прилив и мега-отлив, но теперь они меняются местами: мега-прилив – в точке А, мега-отлив – в точке В. Ясно, что данные явления чисто центробежные, и из наших рассмотрений явствует, что по величине, они больше, чем чисто гравитационные в случае 1.
2’. Для получения чисто центробежного прилива, и притом не мега-прилива, а обычного (в частности – симметричного) представим себе систему, состоящую из обычной Земли и Луны, каковая представляет собой бесконечную гравитирующую плоскость, не проходящую через центр Земли. Известно, что гравитационное поле такой плоскости однородно, и потребуем, чтобы напряженность его была равна реальной напряженности гравитационного поля реальной Луны в точке О. Ясно, что данная модель является предельным случаем большой по размеру Луны – много большей Земли. Пусть, кроме того, вся эта система вращается вокруг общего центра масс с угловой скоростью w. Тогда опять, ΔаAB = 0 – потому что гравитационное поле Луны однородно, но центробежная сила сохраняется и дается тем же выражением, что и раньше, что вызывает центробежные приливы, и притом симметричные, поскольку здесь в точке О опять происходит компенсация силы притяжения Луны силой инерции, только на сей раз не поступательной – как в случае 1’ – а центробежной. В точках же А и В компенсации не полные и отличаются лишь знаком, в результате чего там и образуются центробежные горбы, и притом большие, чем в случае 1’.
Разница случаев 2 и 2’ состоит в том, что гравитация – такая хитрая штука, которая тянет к себе все – и Землю и воду, и экранироваться от нее нельзя, в то время как веревка (на которой мы собирались вращать Землю), будучи прикрепленной к Земле, тянет лишь ее.
Таким образом мы предъявили модели, в которых эффекты (центробежный и гравитационный) разделены, и потому могут трактоваться независимо. В силу же большего влияния центробежного эффекта (в 41 раз!) представляется, что правильнее будет говорить, что эффекты приливов объясняются в основном им.
Почему в литературе не упоминаются центробежные эффекты как независимые – непонятно.
ДЕЛА ЖИТЕЙСКИЕ
Финансовый менеджмент семьи
А.Ю. Чернов
Снова быт, быт, быт заедает
И как с ним быть,
И черт его не знает.
Михаил Ножкин
Распространение методов финансового менеджмента предприятий на домашнее хозяйство может помочь лучше управлять семейным бюджетом, укрепить доходы и сократить расходы семьи в это непростое для россиян время.
В доходах населения наибольший удельный вес занимает сейчас оплата труда и доходы от индивидуального предпринимательства. Поэтому важное значение для многих приобретает правильный выбор места работы и максимизация доходности своего бизнеса.
При поиске новой работы (как в стране, так и за рубежом) работник наравне с психологическими, профессиональными и престижными руководствуется экономическими интересами. Причем последние часто преобладают. Обычно ограничиваются простым сравнением уровня оплаты труда, что не является исчерпывающим экономическим критерием и нередко ведет к ошибочному выбору. Для более взвешенной оценки каждой предлагаемой вакансии необходимо учесть: дополнительные денежные и натуральные выплаты, в том числе через систему социального страхования (пенсии, пособия); права на льготы и получение бесплатных услуг, благ, привилегий; затраты денег и времени на транспорт; вероятность и уровень возможного снижения или увеличения оплаты труда на вакансиях, получения других благ и т. д.
Для такого расчета рекомендуем следующую формулу:
где Чi – средняя прогнозируемая почасовая оплата труда на i-й работе с учетом дополнительных факторов (руб.);
3 – фактическая или объявленная среднемесячная зарплата (выплаты на руки, за вычетом налогов и т. д.) (руб.);
Р – средняя фактическая продолжительность рабочего дня с учетом сверхурочной работы и за вычетом времени досрочного ухода с работы (час);
Т – среднее время на поездку к работе и обратно домой (часов в день);
Д – среднее число рабочих дней в месяце (при 5-дневке – 22 дня, при 6-дневке – 25);
k – коэффициент начисления предприятием страховых взносов (на пенсии, детские и больничные пособия и т. д.). Если начисляется, k = 1,395, если нет, – k = 1;
Е – единовременные денежные выплаты в течение года (руб.);
С – стоимость социальных услуг и льгот, ежегодно получаемых (бесплатное питание, проезд, обмундирование, детсады, путевки, жилье и т. д.) (руб.);
В – ежегодные затраты денег, связанные с работой (оплата проезда на транспорте, сборы сотрудников, разница цены обеда на работе и дома, дополнительные расходы на одежду, лечение профзаболеваний и т. д.) (руб.);
Н – стоимость ожидаемого в будущем получения благ (жилья и т. д.) или существенного повышения (понижения) зарплаты (среднегодовое увеличение (уменьшение) зарплаты умножают на ожидаемое число лет ее изменения) (руб.);
О – вероятность получения новых благ и повышенной (пониженной) зарплаты (личная оценка от 0 до 1);
Л – ожидаемое число лет работы в данной организации (например, разница между настоящим и пенсионным возрастом);
М – единовременные дополнительные затраты, связанные с переходом на другую работу (на переквалификацию, смену места жительства и т. д.).
Рассмотрим пример. Допустим, сотрудник 40 лет работает в организации по 8 часов в день с месячной зарплатой 10 тыс. руб., бесплатными обедами (20 руб./обед, 5 тыс. руб./год) и тратит на дорогу 2 часа в день и 200 руб./мес. (проездной, 2,2 тыс. руб./год), k = 1, 395, Е, Н М = 0. Ему предлагают новую работу в новой организации по 8 часов с оплатой 5 тыс. руб./мес., но с предоставлением квартиры (50 м2, стоимость 600 тыс. руб… вероятность получения ее до пенсии – 0,7) и повышением должности и зарплаты через 2 года на 2 тыс. руб./мес. (вероятность 0,9). Ожидаемое время работы в новой организации (до пенсии) – 20 лет, к = 1,395, Е, С и М = 0. Затраты времени и денег на дорогу – те же. Подсчитываем для существующей и предлагаемой работы почасовую оплату:
Час = [10000∙1,395 + ((2500–2400)/12)]/(8 + 2)∙22 = 63,4 руб/час
Час = [5000∙1,395 + (2400/12) + ((600000∙0,7 + 2000∙12∙(20 – 2)∙0,9)/12∙20)]/(8 + 2)∙22 = 10145/220 = 46,1 руб/час
Согласно расчетам, переходить на новую работу на таких условиях экономически невыгодно, несмотря на обещаемые большие блага в будущем.
Доходность торговой и другой коммерческой деятельности граждан зависит в значительной мере от уровня установленной цены. Чем выше цена, тем больше будет прибыль, получаемая с одной единицы товара и тем ниже будет, как правило, спрос на ваш товар, а значит, и темпы его реализации. При снижении цен, напротив, спрос возрастает. Влияние обоих факторов на общую доходность вашей деятельности противоположно и количественно постоянно меняется. Поэтому найти уровень, при котором доходность (в расчете на единицу времени) будет максимальной, непросто.
Решить эту проблему можно опытным путем с помощью графического метода. Для этого вы проводите несколько (3–4) опытных продаж одного и того же товара в максимально схожих условиях (по месту продажи, времени и т. д.), но по разным ценам. Целесообразно для расчета взять следующие параметры: 1) цену, равную затратам на единицу товара (цена самоокупаемости); 2) цену, близкую к среднерыночной; 3) цену, среднюю между среднерыночной и ценой самоокупаемости; 4) цену выше среднерыночной на 10–30 % (сверхрыночную). Для каждой цены считаете объем дохода, полученного от реализации товара за единицу времени (час, день и т. д.) по формуле:
(Цi – З)∙Ч∙Vi = Пр,
где Пi – объем дохода;
Vi – объем продаж товара в натуре за единицу времени;
3 – затраты на приобретение (или изготовление) товара;
Цi – цена товара.
Полученные значения откладываете на графике, где по горизонтальной оси отмечаем значения назначенных цен, а по вертикальной оси – соответствующие им величины полученного дохода (Пi) Для точности и простоты построения графика используйте миллиметровую бумагу. Отмеченные точки соединяйте в кривую с помощью лекала. Затем находите на кривой точку, соответствующую наибольшему доходу, и выставляете из нее перпендикуляры до соединения с вертикальной осью (находим величину цены, при которой максимальный доход будет получен). Найденное значение цены является оптимальным для данного товара при существующих условиях его реализации, спроса и издержек его получения.
Если точка оптимизации цены находится на правом краю кривой, тогда надо найти новые значения дохода при ценах, соответственно выше взятой вами сверхрыночной цены. График продолжаете до тех пор пока на кривой не появится точка перегиба, означающая, что оптимум пройден. Если первоначально взятые для построения графика данные не позволяют точно определить оптимальную цену, тогда делаете еще несколько “замеров” на рынке по ценам, взятым из области предполагаемого оптимума, по ним уточняете кривую и находите точное значение оптимума цены. В целях повышения надежности закладываемых в график данных целесообразно замеры по каждой цене повторить несколько раз и взять средние по ним значения. Это снизит вероятность влияния случайных факторов. Повышению надежности графика служит также увеличение времени замеров.
Для данной методики замеры спроса (при разных ценах) можно вести одновременно по нескольким товарам и даже по всей номенклатуре реализуемых вами товаров. При этом целесообразно по всему исследуемому ассортименту товаров устанавливать цены одного типа (самоокупаемые, среднерыночные, сверхрыночные и т. д.).
Полученные результаты необходимо периодически уточнять, особенно после значительных изменений средних цен на данный товар, смены места и времени продажи, изменения затрат на приобретение (изготовление) товара, резких изменений доходов населения и других факторов, влияющих на спрос и доходность торговли.
Соответствующая оптимальной цене величина максимальной прибыли служит предпринимателю критерием для сравнительной оценки эффективности данного бизнеса и других видов деятельности.
Население владеет 16 млн приусадебных и дачных участков, на которых ежегодно производится примерно 1/3 всей сельхозпродукции. В среднем каждая семья за счет приусадебного хозяйства увеличивает свои доходы на 5-10 %. Но трудоемкость этой деятельности очень высокая. Поэтому необходимо для каждой семьи провести оценку экономической эффективности труда на своем участке. Может оказаться, что из-за удаленности участка, плохих климатических или почвенных условий, зараженности вредителями, слабой освещенности земли, систематического нарушения агротехники возделывания культур (из-за загруженности на основной работе и т. д.) и по другим причинам трудоемкость единицы продукции, получаемой в личном хозяйстве, будет такой высокой, что целесообразнее это время использовать в других сферах деятельности. То же самое касается семей с высоким уровнем заработка. Им экономически выгоднее купить продукты в магазине, чем выращивать на своем огороде. Основными критериями для оценки рентабельности подсобного хозяйства являются:
– цена рабочей силы членов семьи, то есть сколько они в среднем могут заработать за 1 час;
– розничные цены на продукты и средняя трудоемкость их выращивания в подсобном хозяйстве.
Конечно, оценка рентабельности имеет смысл, если у семьи есть возможность дополнительного заработка. В противном случае при нехватке средств и наличии свободного времени следует расширять подсобное хозяйство при любой его эффективности. Чисто экономическая оценка эффективности занятия приусадебным хозяйством (без учета оздоровительных, экологических, психологических и других мотивов) может быть сделана по следующей формуле:
Эприус. уч = ΣЦi∙Пi – 3∙(Тпрям + Ттранс + Торг + С/З),
где Э – дополнительный доход (или экономия средств) от занятия приусадебным хозяйством (руб. в год);
Пi – количество выращенной на приусадебном хозяйстве i-й продукции (за вычетом идущей на производственные нужды – семена, корма и т. д.) (в кг);
Цi – средняя розничная цена i-й продукции (руб./кг);
3 – средняя часовая зарплата членов семьи в случае дополнительной подработки (если возможности дополнительной работы нет, З = 0) (руб./час);
Тпрям – число чел. – час, затраченных на ведение приусадебного хозяйства семьей за год (копка, сев, прополка, полив, сбор урожая и т. д.);
Ттранс – число чел. – час, затраченных трудоспособными членами семьи на поездки на свой участок для выполнения сельхозработ за год;
Тторг – число чел. – час, затраченных семьей на продажу своей сельхозпродукции за год (если вся продукция потребляется семьей, тогда Tторг = 0);
С – стоимость приобретенных за год материальных ценностей для ведения приусадебного хозяйства (инвентаря, удобрений, семян, пленки, кормов, бензина и билетов для поездок на участок и т. д.) (руб./год).
Если Эприус. хоз имеет отрицательное значение, тогда с экономической точки зрения этой семье не имеет смысла заниматься приусадебным хозяйством.
Рассмотрим пример. Участок (70 км от Москвы) под Сергиевым Посадом с 2 сотками огорода и 2 сотками ягодника дал в 1998 году 120 кг картошки (7 руб./кг), 80 кг огурцов (6 руб./кг), 80 кг помидоров (8 руб./кг), 30 кг кабачков (6 руб./кг), 30 кг капусты (6 руб./кг), 20 кг прочих овощей (10 руб./кг), 10 кг ягод (50 руб./кг) на общую сумму 2 920 руб. Прямые трудозатраты в мае – 10 дней (2 чел. по 10 час), летом в среднем 1 чел. – час в день в течение 90 дней (полив, прополка, сбор урожая и т. п.), осенью – 8 дней (1 чел. по 10 час). Итого 370 чел. – час. Затраты времени на поездки на участок (4 раза весной и 4 раза осенью, 2 чел. по 2,5 час в один конец) – 80 чел. – час. За год куплено 10 м 6-метровой пленки для теплицы (по 13 руб./пог. м), семян на 50 руб., удобрений на 50 руб. Все материальные затраты, включая 32 поездки на электричке (по 12 руб.) составили 614 руб. Вся продукция потреблялась семьей и на продажу не направлялась. Среднечасовая зарплата членов семьи составляла 10 руб./час. -
Отсюда Эприус. хоз = 2920 – 10∙(370 + 80 + 614/10) = 2 920 – 4114 = – 1194 руб., то есть вести приусадебное хозяйство данной семье почти в 1,5 раза убыточнее, чем работать на основной работе.
Аналогично может быть оценена эффективность приусадебного животноводства, кустарных промыслов, заготовок даров леса, охоты, рыболовства и т. д. С помощью данной формулы можно оценить доходность отдельных видов продукции и оптимизировать структуру личного подсобного хозяйства.
Капитализация денежных сбережений и накоплений населения с целью получения дополнительных доходов требует ответа не только на вопрос, куда вложить, но и на вопрос: сколько вложить.
Какова оптимальная величина личных накоплений, предназначенных для вложения на банковские счета, в ценные бумаги и т. д. с точки зрения получения максимального дохода? В известном смысле слова эта проблема аналогична той, которую решает государство или предприятие при определении размеров своего фонда потребления и фонда накопления.
Естественно, что, увеличивая размер личных накоплений, гражданин сокращает свое текущее потребление в расчете на увеличение его в будущем за счет дополнительных доходов, которые он ожидает получить от размещения этих накоплений. Оправданной такая жертва будет, только если гражданин в результате капитализации сможет за весь рассматриваемый период получить средств для личного потребления больше, чем в случае, когда он не делал накоплений или делал бы их в меньших размерах (или больших). Чем больше расчетный период, тем большую долю личных доходов целесообразно оставить для целей накоплений, и наоборот. Выбрать расчетный период может только сам гражданин. Одного устроит год, другому надо 5 лет, а третий захочет максимизировать свой фонд личного потребления в период, соизмеримый с трудовым стажем и т. д.
Однако, чем больше расчетный период, тем меньше остается средств для текущего потребления и тем выше риск потери своих накоплений и связанных с ними доходов в результате непредвиденных экономических и политических событий.
Другой важный показатель, влияющий на оптимальный размер накоплений, – доходность вкладываемых средств. Чем выше доходность, тем больше своих доходов имеет смысл направить в накопления, так как более быстрыми темпами можно нарастить свой фонд потребления и вернуть отвлеченные в накопления средства. В условиях инфляции ожидаемую доходность накоплений надо скорректировать на предполагаемые темпы инфляции. Для оптимизации нормы “личных накоплений” важно правильно определить среднюю ожидаемую доходность вложения своих средств на весь расчетный период. Оценить ее на длительный срок и особенно по ценным бумагам без фиксированного дохода (акции и т. д.), операциям с имуществом, валютой и т. д. очень трудно. Но здесь тоже приходится больше полагаться на прогнозы специалистов, газет и журналов и на свою интуицию.
В свое время в экономической литературе была предложена формула для определения оптимальной нормы общественного накопления[2]2
Занегин А.Г. Оптимальная пропорция между накоплением и потреблением. М., 1970, с. 55.
[Закрыть], которая в принципе пригодна и для нахождения нормы личных накоплений.
Формула имеет следующий вид:
Н = (E∙(T – 1) – 1)/E∙T)
где Н – оптимальная норма (доля) накоплений в общей сумме личных доходов;
Т – величина расчетного периода (в течение которого планируется получить максимальный объем личного потребления), в годах или месяцах;
Е – средняя реальная эффективность или доходность вкладываемых средств накопления (скорректированная на ожидаемые темпы инфляции) в рублях дохода, получаемых на 1 руб. вложенных накоплений соответственно за год или за месяц.
Формула предполагает, что в первый год (или месяц) расчетного периода вы только накапливали средства для вложений (или имели вложения, но в размерах, иных, чем рекомендует вам формула), а доходы в соответствии с оптимальной нормой вы начинаете получать только со второго года (или месяца).
Размер увеличения вашего фонда личного потребления за расчетный период, если вы и раньше вкладывали куда-то свои накопления, можно определить с помощью формулы:
Ut= (1 + Е∙Н0)/(1 – H0)/(1 – H)∙(1 + Е∙Н)T-1->,
где Ut – индекс роста вашего фонда личного потребления за расчетный период;
Н0 – норма (доля) накоплений в ваших личных доходах в период, предшествующий расчетному.
Если вы не делали в предыдущие периоды никаких вложений своих накоплений, то есть Н0 = 0, тогда формула упрощается и принимает вид:
Ut= (1 – H)∙(1 + Е∙Н)T-1
Предположим, что вы заложили для себя расчетный период в 24 месяца и ожидаете среднемесячную доходность от накоплений, равную 0,1 руб./руб., или 10 %. Тогда по формуле находим, что оптимальная норма личных накоплений для вас будет равна:
Н = (0,1∙(24 -1) —1)/0,1∙24 = 0,5417, или 54,17 %.
Допустим, что все остальные ваши доходы в реальном выражении не изменяются в течение расчетного периода, Н0 = 0 и вы ежемесячно инвестируете свои доходы (в том числе от инвестиций) по данной норме. Тогда ваш фонд личного потребления возрастет за 24 месяца до:
Ut = (1–0,5417)∙(1 + 0,1–0,5417)24—1 = 0,4583-3,36469 = 1,54, или 154 % от уровня доходов вначале периода.
Для сравнения возьмем две другие произвольные нормы накопления (H = 20 % и Н = 70 %) при тех же показателях Т и Е. Уровень H1 фонда личного потребления составит в конце расчетного периода:
Ut = (1–0,2)∙(1 + 0,1∙0,2)24-1-> = 0,8∙1,5769 = 1,26, или 126 %;
уровень Н2:
Ut = (1–0,7)∙(1 + 0,1∙0,7)24-1 = 0,3∙4,7405 = 1,42, или 142 %.
Оба уровня фонда личного потребления оказались ниже того, который получился при оптимальной норме.
Приведенная формула имеет область допустимых значений для расчетного периода: Т + 1 > 1/Е. Это означает, что при меньших значениях Т накопления в любом размере не имеют смысла, так как за расчетный период не будет восстановлен начальный уровень личного потребления, уменьшенный накоплением.








