Текст книги "Пространство, время и движение. Величайшие идеи Вселенной"
Автор книги: Шон Кэрролл
Жанр:
Научпоп
сообщить о нарушении
Текущая страница: 2 (всего у книги 18 страниц) [доступный отрывок для чтения: 7 страниц]
Удары и толчки
Сила закона сохранения импульса выходит далеко за рамки идеи о том, что отдельный объект, на который не действуют силы, будет двигаться с постоянной скоростью. Гораздо важнее, что сохраняется суммарный импульс всех объектов, которые образуют некую систему.
Представьте себе два объекта, которые движутся без каких-либо действующих на них сил: например, два бильярдных шара на столе без трения. (Что будет идеализацией, но физики это любят.) Сначала они катятся по прямым линиям, затем сталкиваются и расходятся по новым прямым линиям.
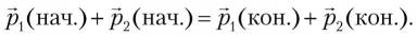
Обозначим начальные импульсы двух шаров как
и
, а конечные – как
и
. Тогда закон сохранения импульса для них можно записать так:
(1.2)
Очевидно, что после столкновения импульсы шаров изменяются. Однако суммарный импульс остается неизменным.

Импульс сохраняется всегда. Простим наших предков за то, что они не сразу заметили это. Вспомните чашку Аристотеля, которая движется лишь тогда, когда кто-то перемещает ее по столу. Кажется, что импульс не сохраняется, ведь скорость чашки меняется с нуля до какой-то величины. Однако на самом деле на чашку воздействует рука человека, который своим весом давит на стул, на котором сидит, а тот, в свою очередь, опирается на пол и так далее, до самой Земли. Поэтому изменение импульса чашки точно компенсируется изменением импульса системы «человек, стул и Земля». Мы не замечаем этого, ведь масса чашки очень мала по сравнению с массой человека, и его скорость изменится неизмеримо мало (хотя все равно изменится). Как только человек отпустит чашку, произойдут обратные изменения скорости: импульс чашки уменьшится до нуля, а человек, напротив, приобретет небольшой импульс.
В фильме «Гравитация» есть сцена, в которой Сандра Буллок и Джордж Клуни попали в беду и летят за пределами станции, держась за привязанный к ней трос. (Предупреждаю о спойлерах в этом и следующем абзацах.) Хороший во всех отношениях фильм, но с физикой в этой сцене большие проблемы. Чтобы спасти Сандру, Джордж жертвует собой, отцепляясь от троса. В реальности все они находятся на практически одинаковой высоте от Земли, а значит, не действует никаких сил, отталкивающих их от станции. Чтобы вернуться туда, достаточно было немного дернуть за трос.
В фильмах нередко слегка искажают законы природы в угоду хорошей истории. А почему бы и нет? Но тут перегиб совершенно напрасный. Можно было бы даже повысить градус драматургии, полностью убрав трос. Представьте: Сандра и Джордж рука об руку медленно отдаляются от станции. Ничто их не держит, их общий импульс неизменен и направлен в открытый космос, к неизбежной гибели. Единственный шанс спастись – оттолкнуться друг от друга. Сумма импульсов останется прежней, но только один космонавт полетит к станции, а другой – все так же в космос, но только быстрее. Тут могут быть варианты: кто-то пожертвует собой, спасая коллегу, либо наоборот, обречет его на смерть, спасая себя. Но это был бы уже совсем иной фильм.
Классическая механика
На долгом пути к обретению знаний об импульсах люди не только открыли закон, который важен и по сей день, но и по-новому стали смотреть на физику. Исчез предложенный Аристотелем телеологический мир внутренних сущностей, причин и следствий, а также движения, требующего движущей силы. На смену ему пришел мир закономерностей, законов физики. И после важных открытий, сделанных Декартом, Галилеем и другими учеными, появилась первая полноценная система физических законов. Созданная Исааком Ньютоном в 1687 году, сегодня она известна как классическая механика.
Важно уточнить, что современные физики проводят различие между «классической механикой» – довольно широкой и универсальной системой законов – и «механикой Ньютона» – одной из конкретных моделей в этой системе. Классическая механика (в отличие, например, от механики квантовой) утверждает, что мир состоит из объектов, которые обладают определенными измеримыми свойствами и подчиняются однозначным уравнениям движения. Механика Ньютона рассматривает эти объекты в абсолютном пространстве и времени. В отличие от нее «релятивистская механика», которая также является классической, основана на том, что пространство и время представляют собой единое целое. Пока мы не начнем разговор о теории относительности, все уравнения для таких понятий, как импульс и энергия, мы будем брать из механики Ньютона.
Чтобы совсем вас запутать, добавлю, что есть еще механика Лагранжа и механика Гамильтона. Обе они, безусловно, являются классическими. И обе математически эквивалентны механике Ньютона, хоть и основаны на других понятиях. Считать ли их чем-то отличным от механики Ньютона или же нет – дело вкуса.
Классическая механика – это теория закономерностей, а не природы или причинно-следственных связей. Вместо «Какое состояние естественно для системы?» или «Почему система движется именно так?» мы спрашиваем: «Что происходит с системой в конкретный момент времени?». Полученный ответ дает возможность сделать прогноз на любой другой момент, причем не только в будущем, но и в прошлом. Вот, например, уравнение (1.2) (закон сохранения импульса) можно рассматривать применительно к прошлому: если мы знаем конечный суммарный импульс, мы можем утверждать, что он равен начальному, то есть не изменился.
Мы подошли к еще одному, гораздо более важному закону сохранения: сохранения информации, на котором по сути построена классическая механика Ньютона. Однако популярность среди ученых этот закон приобрел в 1814 году благодаря трудам Пьера-Симона Лапласа. По мнению этого математика из Франции, состояние классической системы в любой момент времени определяется положением и скоростью всех ее частей (например, Солнца и планет). Этот объем информации сохраняется с течением времени. По одному состоянию системы мы можем предсказать любые другие состояния, как в будущем, так и в прошлом. Разумеется, при наличии точных данных и мощных вычислительных систем. Лаплас представил себе «сверхразум», гипотетическое существо с такими возможностями, которое затем назвали демоном Лапласа. Разумеется, главный смысл этой идеи не в том, что кто-то может быть способен на такие предсказания, а в том, что мы должны стремиться к этому. Никто не может знать положение и скорость каждого атома в песчинке, тем более – во всей вселенной. Но у самой вселенной такие данные есть, и по законам классической механики они сохраняются во времени.
Сохранение энергии
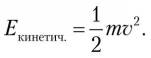
Настало время поговорить о сохранении энергии, одном из самых известных законов классической механики и любопытном примере развития физических понятий. В отличие от импульса, величины векторной, энергия объекта – это просто число («скаляр», как иногда говорят, чтобы подчеркнуть отличие от векторов и других, более сложных величин). Энергия не имеет направления и может проявляться в разных формах. Одна из них – кинетическая энергия, энергия движения, – связана с импульсом. Формула[2]2
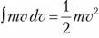
Почему 1/2? На то есть причина, но чтобы ее понять, потребуется дифференциальное исчисление, знакомство с которым нам еще предстоит. Немного забегая вперед, скажу, что когда мы воздействуем на объект, накопленная им энергия будет равна интегралу силы по расстоянию. Согласно второму закону Ньютона, сила равна произведению массы на ускорение. Ускорение – это производная скорости по времени, а интеграл ускорения по расстоянию равен интегралу скорости по скорости. При этом
. Возможно, сейчас все кажется бессмыслицей. Наберитесь терпения.
[Закрыть] кинетической энергии объекта с массой m и скоростью v выглядит так:
(1.3)
В классической механике сохраняются и импульс, и энергия. Однако кинетическая энергия сама по себе не сохраняется, поскольку может переходить в другие формы энергии (или возникать из них). При стрельбе из лука энергия, накопленная при натяжении тетивы, переходит в кинетическую энергию стрелы.
В простых обстоятельствах мы можем напрямую проследить, как энергия переходит из одной формы в другую. Физики любят приводить в пример шар, который катится по холму, где, как мы представляем, нет ни трения, ни сопротивления воздуха. Поднятый на высоту, шар обладает потенциальной энергией. На высоте h она будет равна:
(1.4)
Здесь m – масса шара, а g – ускорение, обусловленное силой тяжести вблизи поверхности Земли (или другой планеты, где проводится эксперимент). Численно g ≈ 9,8 метра в секунду за секунду, то есть скорость падающего предмета (без учета сопротивления воздуха) каждую секунду увеличивается на 9,8 метра в секунду. Таким было бы ускорение, даже если бы не было холма.

Когда шар катится с холма, его суммарная энергия Екинетич. + Епотенц. остается постоянной. При этом энергия переходит из одной формы в другую. Например, если шар поместить на склон, он покатится вниз. Его кинетическая энергия будет расти ровно настолько, насколько потенциальная энергия – уменьшаться.
Легко увидеть, как потенциальная и кинетическая энергии превращаются друг в друга. Другие формы энергии менее очевидны. Мы уже говорили о бильярдных шарах. Физики любят, когда они движутся по поверхности без трения, а при столкновении не издают звука, не выделяют тепла. При этом импульс и кинетическая энергия шаров полностью сохраняются: они просто отскакивают друг от друга. Такие столкновения называются упругими (возможно, вам говорили о таких на уроках физики).
Бывают и неупругие столкновения, при которых импульс сохраняется, но кинетическая энергия переходит в другую форму. Столкнем вместо бильярдных шаров два комка глины. Если в начальный момент их импульсы равны и направлены друг против друга, то есть
, то при столкновении комки немного деформируются и слипнутся, образовав один неподвижный ком. Суммарный импульс не изменился, а кинетическая энергия – да. Она перешла в тепло и механическое напряжение.

Раньше ученые, в том числе и сам Ньютон, не до конца понимали, что импульс и энергия – разные вещи. Они полагали, что существует некая единая величина – «количество движения». Несложно объяснить, что такое импульс, в терминах механики Ньютона, в основе которой – прямолинейное и равномерное движение объектов, не подвергающихся воздействию сил. С энергией все не так просто. Впрочем, попытки были. Например, Готфрид Вильгельм Лейбниц (соперник Ньютона в области высшей математики) предложил новую величину – «vis viva», – которую он определил как mv2 и полагал важной для изучения движения.
Ситуацию прояснила Эмили дю Шатле – философ и физик из Франции, известная переводами книг Ньютона. Считая энергию независимой от импульса, но также сохраняющейся величиной, она провела опыт, задуманный голландским ученым Вильгельмом Гравезандом. Если бросить тяжелый шар в мягкую глину, он ожидаемо остановится в ней, полностью передав свой импульс земле. При этом в глине появится лунка, объем которой, как оказалось, зависит от квадрата скорости шара в момент удара, то есть от кинетической энергии. Именно ее шар и тратит на то, чтобы сделать лунку.
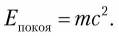
Возможно, вы слышали о «законе сохранения массы». Его считали верным, пока не появилась теория относительности. Согласно этой теории, импульс и энергия сохраняются (хотя их формулы несколько отличаются от написанных выше), масса же представляет собой особую форму энергии. В этом и заключается смысл знаменитого уравнения Эйнштейна – энергия неподвижного объекта (то есть при нулевой кинетической энергии) равна его массе, умноженной на квадрат скорости света:
(1.5)
Если для обычных тел закон сохранения массы можно считать достаточно точным приближением, то для частиц, скорость которых близка к скорости света, он не работает. Говоря о таких частицах, следует мыслить в терминах сохранения энергии[3]3
Иногда говорят о «релятивистской массе», которая растет с увеличением скорости. Но это сложно, да и излишне. Лучше без усложнений считать массу объекта постоянной величиной, а его энергию – зависящей от скорости.
[Закрыть].
Почему существуют законы сохранения?
Ученые любят задавать вопросы. Мы хотим знать, почему яблоки падают с деревьев, почему кофе и сливки смешиваются, почему горит и гаснет огонь, но часто при этом находим ответы, которые порождают новые вопросы. Нужно всегда быть готовыми к тому, что цепочка однажды прервется, и мы услышим в ответ: «Так есть, потому что так есть». И с этим уже ничего не поделать.
Так было и с законами сохранения. Однако, к счастью, в начале XX века была доказана теорема, которая установила связь этих законов с симметрией в природе. К такому замечательному выводу пришла Эмми Нётер, математик из Германии. Симметрия – это преобразование, которому может подвергнуться система при полном сохранении основных характеристик. Например, круг полностью симметричен относительно центра. Поэтому его можно повернуть на любой угол без внешних изменений. А вот квадрат сохраняет свой внешний вид только при повороте на угол, кратный 90°.
Теорема Нётер гласит, что любое плавное преобразование непрерывно симметричной системы связано с сохранением некоторой величины. Например, законы физики в целом симметричны при сдвигах в пространстве и времени. Мы можем провести опыт на одном месте, а затем повторить на другом, немного подождать и снова повторить. И мы получим один и тот же результат во всех этих случаях. Теорема Нётер связывает такую симметрию с уже известными нам законами сохранения. Неизменность при сдвигах в пространстве приводит к сохранению импульса, а при сдвигах во времени – к сохранению энергии. При этом важна размерность симметрии. Время одномерно, поэтому сохраняется лишь одна величина: энергия. Пространство трехмерно, мы можем перемещаться в любом из трех направлений. Поэтому импульс является вектором, который можно разложить на три компонента, по одному на каждое направление. В системах, где что-то вращается вокруг какой-то оси, появляется еще одна сохраняемая величина: момент импульса.

Рассматривая сдвиги в пространстве, сдвиги во времени и вращения, при которых система претерпевает пространственно-временные изменения, мы говорим о симметрии пространства-времени. В физике частиц и квантовой теории поля, которая изучает взаимодействие полей и их частей, существует понятие внутренней симметрии. Из-за нее сохраняются электрические заряды и другие свойства частиц.
Но есть одна важная тонкость. Кажущаяся нам симметрия законов физики нарушается, когда мы сами находимся внутри какой-то реальной системы. Например, Вселенная расширяется. Галактики постепенно отдаляются друг от друга, и в будущем расстояние между ними станет больше, чем было когда-то. Но если Вселенная изменяется при сдвигах во времени, значит, ее энергия не сохраняется. Если мы посчитаем суммарную энергию во всех известных нам формах материи (излучение, обычная материя, темная материя, темная энергия и т. д.), получится число, которое будет меняться со временем. Можно попробовать обойти этот факт, определив энергию в кривизне самого пространства-времени. Пока что такие попытки не дали нам положительных результатов. Поэтому нет ничего страшного в том, чтобы вычислить суммарную энергию «области пространства» или «всех объектов в какой-то области» и признать, что она не является постоянной.
Как можно заметить, законы сохранения – тема непростая, требует осторожных и тщательных размышлений. Это умение непременно потребуется нам при знакомстве с величайшими идеями во вселенной.
Философия сферической коровы
Законы сохранения очень важны с научной точки зрения и крайне полезны на практике. Но есть еще одна причина начать изучение физики именно с них, и прежде всего с сохранения импульса. Эти законы – отличный пример того, как работает важный методологический принцип: философия сферической коровы[4]4
В российской традиции обычно говорят о «сферическом коне в вакууме». История этого термина началась со школьного анекдота: «Одна лошадиная сила равна силе, изменяющей за одну секунду скорость на один метр в секунду абсолютно черного сферического коня в вакууме массой один килограмм и объемом один литр, хранящегося в палате мер и весов в Париже». – Примеч. ред.
[Закрыть].
Этим названием мы обязаны анекдоту, который любят рассказывать физики. На одной ферме коровы перестали давать молоко. Как фермер ни бился, что ни придумывал, – не помогает. Тогда он позвал на помощь приятеля: физика-теоретика. Тот долго смотрел на коров, что-то записывал, считал и, наконец, пришел к фермеру с радостной новостью.
– Я понял, в чем тут проблема, – сообщил он важно. – Допустим, что корова имеет форму сферы…

Не поняли юмора? Шутка не только в том, что корова не похожа на сферу, что рога, копыта и хвост – именно то, что делает ее коровой. В природе в принципе нет и не может быть сферических коров. Смысл в том, что физики делают такие допущения, чтобы упростить формулы и расчеты, но часто при этом выходят за рамки реального мира, в данном случае – области знаний, полезных обычному фермеру с его надоями.
Но анекдот знаменит не тем, что ужасно смешной. Я этого не говорил. Все дело в том, что пример с коровой и сферой показывает общий принцип, который действительно работает в физике, и работает невероятно хорошо. Чтобы решить сложную задачу, мы подменяем ее более простой, создаем идеальный случай, в котором нет множества трудностей. Затем, получив решение, мы усложняем задачу и выясняем, как эти трудности влияют на результат.
Именно так был открыт закон сохранения импульса. Аристотель не ошибался: чашка будет стоять на столе, пока кто-то не сдвинет ее, и прекратит движение, стоит лишь отпустить руку. Ибн Сина тоже был прав: чашка остановится из-за трения, а не в силу своей внутренней природы. И если трением пренебречь, представив себе, к примеру, стрельбу из лука в вакууме, окажется, что стрела полетит с постоянной скоростью. Такого рода рассуждения – хорошая отправная точка, с которой можно начать анализ физического явления. Сложности вроде трения можно учесть позже.
Мастером на такие дела был Галилей. Он обладал выдающимся умением отделять существенные аспекты от тех, которыми можно для начала пренебречь. Аристотель утверждал, что тяжелые предметы падают быстрее, чем легкие. В этом несложно убедиться: достаточно бросить книгу и лист бумаги с одной и той же высоты. Но Галилей заявил, что не будь сопротивления воздуха, предметы падали бы с одинаковой скоростью. Он даже провел гениальные опыты и сумел подтвердить основные моменты своей теории. Чтобы проверить ее окончательно, людям потребовалось несколько веков.
Философия сферической коровы приносит физикам много пользы, и мы еще не раз увидим ее в действии. Но все-таки нужно признать: она работает не всегда. Едва ли она помогла тому фермеру в его проблемах. Во многих сложных системах, которые могут встретиться нам в реальном мире, множество факторов действуют одновременно и влияют друг на друга так, что их невозможно разделить на важные и не очень, исключить, а затем внести обратно. Взять, например, биологию, экономику… Там все зависит от всего.
Физика кажется такой трудной именно потому, что на самом деле проста по сравнению с другими науками. Именно в физике (по крайней мере, в некоторых ее разделах) мы можем чудесным образом пренебречь множеством факторов, упростить и решить поставленную задачу, а затем учесть все, что было отложено на потом. Без этого наша работа была бы намного, намного сложнее. В результате физикам удалось открыть много парадоксальных и удивительных свойств нашего мира, от квантовой механики до теории относительности и Большого взрыва. Мы никогда не смогли бы дойти до таких вещей обычным умом, но мы придумали их, подгоняя формулы под опытные данные. Мы изучаем парадоксальные явления, а потому нам бывает трудно понять их, особенно поначалу. Предстоящий путь часто пугает тех, кто едва вступил на него.
Два. Изменение
Физика появилась благодаря тому, что наш мир в значительной мере склонен к непрерывности и предсказуемости. Жить в мире, где совсем ничего не меняется, было бы скучно, но, к счастью, не нужно. Все вокруг нас пребывает в движении: планеты и звезды летят сквозь космос, люди спешат на работу или домой, атомы внутри нас гудят, наполненные энергией. Давайте присмотримся к этим процессам как можно внимательнее.
В классической физике изменения описываются посредством особого механизма – парадигмы Лапласа. Чтобы доказать закон сохранения информации, Лаплас предложил мысленный эксперимент (того самого демона Лапласа). Утверждается, что данные, необходимые для предсказания будущего (либо восстановления прошлого), существуют в любой момент истории развития изолированной системы. Чтобы понять, как она изменяется, можно действовать следующим образом:
• описать состояние системы в какой-то момент времени;
• при помощи законов физики рассчитать ее состояние мгновение спустя (или до этого);
• при помощи тех же законов понять, что будет еще мгновение спустя, и т. д.
Действуя таким образом, можно воссоздать всю историю системы в прошлом, настоящем и будущем. Одно состояние за другим, опираясь лишь на текущие данные и законы физики, не думая о свойствах системы, ее назначении либо целях, которые она может преследовать.
Но вот вопрос: что мы имеем в виду под словами «мгновение спустя»? Сколько это – мгновение? Секунда? Доли секунды? Как-то не слишком определенно.
Пожалуй, было бы хорошо разделить время на минимально возможные единицы. Однако время течет непрерывно. Этот факт очевиден и принимается современной физикой. Древние ученые, от Зенона Элейского (известного своими «парадоксами») до Архимеда, считали непрерывность времени неразрешимой загадкой. Решить ее удалось лишь тогда, когда Ньютон и Лейбниц создали, независимо друг от друга, дифференциальное исчисление – математические методы для работы с бесконечно малыми величинами. Итак, отбросьте все страхи, школьные и студенческие: в этой главе мы познакомимся с высшей математикой.
Хорошая новость в том, что базовые понятия гораздо проще, чем, возможно, вам говорили. На самом деле их всего два: «производные», которые позволяют определить скорость изменения, и «интегралы», при помощи которых мы можем вычислить его суммарную величину.
(Плохих новостей нет.)









