Текст книги "Пространство, время и движение. Величайшие идеи Вселенной"
Автор книги: Шон Кэрролл
Жанр:
Научпоп
сообщить о нарушении
Текущая страница: 1 (всего у книги 18 страниц) [доступный отрывок для чтения: 7 страниц]
Шон Кэрролл
Пространство, время и движение. Величайшие идеи Вселенной
Посвящается Дженнифер
Sean Carroll
The Biggest Deas In The Universe. Space, Time, And Motion
От издательства
Ваши замечания, предложения, вопросы отправляйте по адресу comp@piter.com (издательство «Питер», компьютерная редакция).
Мы будем рады узнать ваше мнение!
На веб-сайте издательства www.piter.com вы найдете подробную информацию о наших книгах.
Введение
Я бы хотел жить в мире, где большинство людей с интересом и страстью относятся к физике, где, отдыхая в баре после работы, обсуждают проблемы темной материи и дискутируют о взглядах на квантовую механику. Я бы хотел оказаться на детском празднике, где, пока малыши играют в пятнашки, а родители увлеченно общаются друг с другом, от кого-то из взрослых можно услышать, к примеру: «Не понимаю я тех, кто ждет открытия новых частиц в электрослабом диапазоне» и тут же в ответ: «А как же тогда решать проблему иерархии?» В нашем мире есть много людей, осведомленных об экономике предложения или критической расовой теории, но мало таких, кто знаком с инфляционной космологией и теорией суперструн.
В чем же причина? Увы, нужно признать, что даже на фоне других научных дисциплин физика выделяется тем, что придумана специалистами для специалистов. Физики говорят друг с другом на очень специфичном языке, в котором изобилуют термины из области математики, не только непонятные, но и неизвестные обычным людям. Тому есть разумные объяснения, и все же ситуацию можно изменить. Ведь все дело в том, как физики передают свои знания миру.
Если вы не специалист, но изучить современную физику вам интересно, то перед вами лежат два пути. Один из них – не выходить за пределы общедоступного уровня, то есть знакомиться с научными концепциями, не углубляясь в технические или математические детали. Для этого можно читать книги, ходить на лекции, смотреть видеоролики, слушать подкасты. Такие ресурсы сегодня доступны и многочисленны, позволяют узнать много нового, хотя и несколько бессистемно. Так можно продвинуться очень далеко. И все же со временем вы поймете, что в этом потоке материала, образах и метафорах, переводе математических формул на человеческий язык не хватает чего-то реального, жизненно важного.
Другой путь – начать учиться на физика: пойти в институт или заняться самообучением по «правильным» учебникам и интернет-ресурсам. Сначала вам предстоит освоить высшую математику, в первую очередь изучить дифференциальное исчисление, научиться решать дифференциальные уравнения, разобраться в векторном анализе, комплексных числах, линейной алгебре и многом другом. До разговора о квантовой механике или теории относительности понадобится не меньше года предварительных занятий. Большинство студентов получают степень бакалавра или магистра, ничего не узнав о физике частиц, черных дырах и космологии. Эти области знаний доступны лишь тем, кто работает в определенных, достаточно узких проблемных областях.
Пропасть между физиком-любителем, в багаже знаний которого только метафоры и мутные переводы на человеческий язык, и специалистом, способным работать с уравнениями пугающей сложности, велика, но преодолима. Большинство людей водят машины, не помышляя о карьере профессионального гонщика. А значит, есть путь, двигаясь по которому можно приблизиться к подлинной сути современной физики без многолетнего обучения по стандартной программе, пусть и освоив несколько формул.
Путеводная карта у вас в руках!
В основу серии «Величайшие идеи Вселенной» положена мысль о том, что каждый человек, даже любитель, не стремящийся стать профессионалом, способен изучать современную физику по-настоящему, по формулам и уравнениям. Для этого хватит знаний, не выходящих за рамки школьного курса математики. Необходимо лишь думать над формулами, стремиться понять их смысл. И перед тем, кто готов это делать, откроется новый мир.
* * *
Поговорим об уравнениях. На самом деле в них нет ничего страшного: это просто компактная запись соотношений между величинами. Сравните: вам могут сказать, что согласно общей теории относительности Эйнштейна «масса и энергия приводят к искривлению пространства-времени». Уравнение Эйнштейна выражает ту же мысль, но другим способом:

Предложение на русском языке дает лишь некое представление о том, что утверждает общая теория относительности. Уравнение показывает, что происходит на самом деле, точно и недвусмысленно. Можно прочесть множество предложений и описаний, но чтобы по-настоящему проникнуться идеей великого физика, нужно понять эту формулу.
Какая-то тарабарщина, скажете вы. Действительно, чтобы во всем разобраться, нужно начать с отдельных цифр и букв, в том числе, внезапно, греческих μ и ν, усвоить, что означает, зачем нужна каждая из них. Обычно изучающие физику студенты тратят на это несколько лет. Вам будет нужно всего лишь прочесть мою книгу.
Тем, кто дойдет до восьмой главы, станет ясно, что означают символы из уравнения Эйнштейна, чем они связаны друг с другом и что говорят о пространстве-времени и гравитации. Смысл формулы, даже полностью состоящей из греческих букв, понять много проще, чем настоящий текст на греческом языке.
Авторы большинства популярных книг думают, что читателям будет неинтересно рассматривать уравнения. В учебниках же, напротив, предполагается, что студенты должны не просто рассматривать, а решать уравнения, то есть прилагать в процессе обучения значительно больше усилий, гораздо лучше готовиться к курсу, чем нужно просто для понимания формул.
Я бы хотел подчеркнуть разницу между решением и пониманием: ведь именно она – ключ к быстрому и успешному усвоению мыслей из этой книги. Формула Эйнштейна не просто связывает какие-то конкретные массу и энергию с кривизной какого-то конкретного пространства-времени. Она представляет собой общее правило, контракт вроде «если мне дадут набор из массы и энергии, то я покажу, как они искривляют пространство-время». Выполнить такой контракт и есть «решение уравнения».
Иногда решить уравнение просто. Например, если в случае x = y2 нам скажут, что y = 2, решением будет x = 4. Ничего сложного. Однако в реальном мире перед физиками стоят гораздо более трудные задачи, работа над которыми требует применения вычислительной математики (математики непрерывных изменений) и других современных методик. Решение подобных уравнений может занять все рабочее время профессионального физика. Так что не удивительно, что большая часть курса их обучения посвящена именно решению уравнений.
Любой физик скажет вам, что самым сложным в студенческие годы были не лекции, а задачи, которые задавались в огромных количествах, без какой-либо жалости к тем, кто хотел проводить выходные несколько иначе.
Здесь, в этой книге, вам не придется решать уравнения. Но вы научитесь их понимать, что значительно проще. В итоге вы уясните смысл даже довольно сложных, по меркам учебников, формул. Вы согласитесь с тем, что идеи современной физики – в их истинном, а не размытом метафорами смысле – могут быть доступны всем, кто готов немного подумать над уравнениями и тем, что за ними стоит. Вера в такую возможность – фундамент, на котором и строится эта книга.
* * *
Так о каких же идеях пойдет речь? Как можно догадаться, их много. Настолько, что мне пришлось разделить текст на три книги: «Пространство, время и движение», «Кванты и поля» и «Сложность и синергичность». Трилогия – этот формат популярен еще со времен «Властелина колец».
В книге, которую вы держите в руках – «Пространство, время и движение», – я расскажу о классических законах, открытых еще Ньютоном и не терявших актуальности до самой квантовой революции двадцатого века. Не столько о блоках и наклонных плоскостях, как бы ни были важны эти термины, сколько о сложных вопросах природы пространства, изменений и времени. Не побоявшись разбавить формулы рядом идей из области философии, мы перейдем к теории относительности: предложенным Эйнштейном концепциям искривленного пространства-времени, а также последствиям искривления, например черным дырам. Таким образом, мы начнем с идей многовековой давности, а закончим современным подходом к физике.
В книге «Кванты и поля» мы обсудим несколько вкусных идей из квантовой физики, среди которых – кот Шредингера и запутанность. Однако по большей части мы будем говорить о квантовой теории поля и физике частиц, которые на данный момент лучше всего объясняют фундаментальные законы природы. В последней книге – «Сложность и синергичность» – мы признаем, что мир состоит не только из двух или трех частей, а также увидим, сколько всего интересного происходит, когда движущихся тел много.
В итоге мы рассмотрим множество концепций, практически все из которых относятся к физике и родственным ей наукам. Это не означает, что в других научных областях (в гуманитарных дисциплинах и даже в искусстве) нет столь же важных и масштабных идей. Нам просто нужно где-то провести черту.
Еще одна черта, которую мы проведем, пройдет по границе между «в достаточной мере проверенными идеями» и «многообещающими гипотезами». На первых строятся учебники физики, вторые – к радости читателей – в большом количестве представлены в популярной литературе. Предположения и гипотезы очень важны, ведь большая часть работы исследователя – поиск новых знаний на грани уже изученного, расширение этих границ. Но все-таки наша цель – рассказ о концепциях, которые будут с высокой вероятностью актуальны и через столетие.
* * *
Я с удовольствием выражаю признательность всем, кто помогал мне на этом пути. Скотт Ааронсон (Scott Aaronson), Джастин Кларк-Дуэйн (Justin Clarke-Doane) и Мэтт Штресслер (Matt Strassler) прислали мне ценные отзывы, благодаря которым в тексте стало меньше шероховатостей. Джейсон Торчински (Jason Torchinsky) нарисовал прекрасные иллюстрации. Мой редактор, Стивен Морроу (Stephen Morrow), как всегда, давал мне советы, а мой агент, Катинка Мэтсон (Katinka Matson), помогла придать непростому проекту четкую форму. Важную роль в написании книги сыграли Элис Далримпл (Alice Dalrymple), Тиффани Эстрейчер (Tiffany Estreicher), Дора Мак (Dora Mak), Накиша Уорнер (Nakeesha Warner) и Мелани Муто (Malanie Muto). И конечно, я не могу не сказать большое спасибо Дженнифер Оуэллетт (Jennifer Ouellette) за ценные советы, моральную поддержку и многое другое.
Во время пандемии COVID-19 я смотрел онлайн-уроки драматургии, которые проводила моя подруга Лорен Гундерсон (Lauren Gunderson). Вдохновленный полученными знаниями, я снял серию видеороликов, которые и легли в основу книг этой серии. Эти видеоролики, а также другие дополнительные материалы можно найти, перейдя по ссылке:
https://preposterousuniverse.com/biggestideas/
Один. Сохранение
Оглянитесь вокруг. Как и у всех людей, у вас есть тело, а сами вы где-то находитесь, и, скорее всего, – в окружении самых разных предметов. Стол и стулья, стены и потолок, деревья и озеро, если вы на природе, – все эти объекты существуют, а их положение и свойства могут меняться с течением времени. Можно поставить стул рядом со стеной или посередине комнаты. Можно выпить стакан воды, а можно поставить его на стол. Через какое-то время вода испарится.
Именно так мы видим окружающий мир, смотря на него человеческими глазами, с близкого расстояния. Мы видим пространство, в котором находятся объекты. (При этом под словом «пространство» мы понимаем не космос, а некую трехмерную область, в которой можно перемещаться.) Объекты могут оставаться неизменными либо меняться. Физика изучает объекты, их поведение на самом базовом уровне, который можно представить. Что они из себя представляют? Как связаны друг с другом? Как изменяются со временем? Что такое «время» и что такое «пространство»?
Одна из самых приятных особенностей физики в том, как быстро мы переходим от простых наблюдений – смотрите, вот этот объект ведет себя вот так! – к глубоким вопросам о природе реальности. Но никакие явления не происходят сами по себе: они вписываются в определенные закономерности. Именно их мы называем законами физики, и наша задача – раскрыть их.
Самой простой закономерностью является тот факт, что некоторые объекты не изменяются с течением времени. С размышлений над этой базовой особенностью реальности мы и начнем наш путь, который вскоре приведет нас ко множеству интересных вещей.
Предсказуемость
Можно с уверенностью сказать, что мир вокруг нас предсказуем хотя бы в некоторой степени. На пару секунд отвернувшись от стола, а затем повернувшись назад, мы уверены в том, что снова увидим его. Кладя на стол яблоко, мы знаем: оно не полетит на пол, пройдя сквозь поверхность. Увы, мы пока что не в силах точно сказать, будет ли завтра дождь и кто победит на чемпионате, но результаты многих явлений достаточно предсказуемы.
Именно предсказуемость делает возможным существование физики. Пусть и не с абсолютной точностью, мы можем предугадать, что произойдет в нашем мире, исходя из данных о его текущем состоянии. Самый главный вид предсказуемости – сохранение, то есть отсутствие изменений.
Физики понимают под этим словом «постоянство во времени». Возможно, вы слышали о сохранении энергии, свойства объектов, которым они обладают в зависимости от природы и состояния. Энергия – не вещество, как песок или вода, не жидкость, которая перетекает с одного места в другое. Однако мы можем сказать, что если объект расположен на высоте, движется, нагрет, имеет большой вес, электрически заряжен, он обладает энергией.
При определенных обстоятельствах энергия преобразуется из одной формы в другую и обратно. Например, энергия стоящего на столе стакана, если столкнуть его на пол, мгновенно перейдет в энергию движения. Когда же стакан упадет и разобьется, его энергия рассеется, преобразуясь в энергию удара, шум и другие явления. При этом под сохранением энергии мы понимаем тот факт, что суммарное ее количество, независимо от текущей формы, не изменяется в течение всего наблюдаемого процесса.
(Постойте, спросите вы, где же здесь логика? Мы просто придумали несколько величин, дающих в сумме постоянное число, назвали его «энергией» и радостно сообщаем, что открыли закон физики? Нет. Есть независимые способы определить энергию и показать ее преобразования. Способы, в основе которых тот факт, что законы физики сами по себе неизменны. Но все же вы задали верный вопрос.)
Итак, существует некое свойство объектов, которое не изменяется, остается постоянным с течением времени. Это очень простая идея. Однако я выбрал ее, чтобы начать разговор о физике, совсем не по этой причине. Такое решение связано с тем, что поняв, что энергия сохраняется, ученые сделали первый шаг на пути к современной науке.
От природы к закономерностям
Подумайте о тех, кто в далекие времена, до появления физики в ее нынешнем виде, пытался понять этот мир. Древние мыслители приходили, в общем-то, к схожим мыслям, но чаще других в пример приводят греческого философа Аристотеля. Значительно упрощая предложенную им довольно сложную телеологическую картину вселенной (согласно которой последняя устремлена к некой будущей цели), можно сказать, что он разделил движение всех объектов на «естественное» и «неестественное» («вынужденное»). У каждого объекта есть свойственное ему место, которое он стремиться занять, а также условия, при которых он движется к этому месту. Например, камень падает на землю и остается лежать, огонь поднимается в небо.
По мнению Аристотеля, в естественном состоянии все на Земле неподвижно, а чтобы объект на какое-то время пришел в движение, необходимо внешнее воздействие. Можно поднять камень и бросить его, привести в неестественное или вынужденное состояние движения. Однако он быстро упадет на землю, может быть, вновь подлетит, отскочив от нее, но затем возвратится в естественное состояние покоя.
Экстраполируя эти наблюдения, Аристотель решил, что можно вывести основное правило вселенной: объекты естественным образом находятся в состоянии покоя, а движутся только тогда, когда что-то выводит их из этого состояния. Во многих случаях это правило действует. Например, стоящая на столе чашка не будет двигаться сама по себе. Мы можем переместить ее, приложив небольшое усилие, но стоит убрать руку, как чашка снова окажется неподвижной.

Но все-таки так происходит не всегда. Еще современники Аристотеля – древние греки – могли заметить, что выпущенная из лука стрела не сразу падает на землю, а долго летит под действием приложенной к ней силы. Почему же так происходит? Что мешает стреле быстро вернуться в естественное состояние?
Сотни лет великие умы ломали голову над этим вопросом, и в конце концов предложенная Аристотелем телеологическая картина вселенной была отвергнута. Ученые пришли к выводу: объекты не стремятся к неким конечным целям, а подчиняются строгим законам, позволяющим предсказать, что случится потом, исходя из того, что происходит сейчас.
Сохранение импульса
Мыслитель Иоанн Филопон, который жил в VI веке в Александрии, предположил, что тетива придает стреле некую величину: импульс, как ее позже назвали. Именно импульс, рассеиваясь, некоторое время поддерживает полет. Простое предположение, которое стало важным шагом на пути от «будущих целей» Аристотеля к свойствам, которые существуют в конкретный момент времени.
Идею Филопона развил Ибн Сина (Авиценна), персидский эрудит XI века. Именно он сделал решающий шаг, утверждая, что импульс – не просто временная величина. Каждый объект обладает определенным импульсом, который остается постоянным, пока на объект не подействует некая сила. У неподвижных тел импульс равен нулю.
В этой новой картине мира камни и чашки перестают двигаться не потому, что покой – их естественное состояние, а так как воздействующие на них силы (трение, сопротивление воздуха) постепенно уменьшают импульс, ранее сообщенный этим объектам. Ибн Сина предположил, что в отсутствие воздуха стрела полетит с постоянной скоростью и будет двигаться бесконечно долго. Крайне смелые мысли для того времени. Однако сегодня мы строим ракеты, скорость которых в космосе почти не меняется (если не считать небольших потерь от воздействия гравитации). В XIV веке французский философ Жан Буридан ввел математическую формулу, согласно которой импульс равен весу объекта, умноженному на его скорость.
Так появился один из законов физики: о сохранении импульса. В дальнейшем от грубой идеи о неизменности некоторого «количества движения» ученые пришли к точному пониманию того, что это за количество. Такой подход – обычное дело в теоретической физике: мы предлагаем новую величину, находим формулу для ее вычисления, а затем смотрим на то, как она, эта формула, согласуется с тем, что мы видим в реальном мире. Сегодня мы знаем, что импульс на самом деле – масса, умноженная на вектор скорости (по крайней мере, если не принимать в расчет теорию относительности, которая несколько все усложняет).
Одна из проблем придуманной Буриданом формулы (вес, умноженный на скорость) состоит в том, что вес не является собственным свойством объекта, так как зависит от действующей на него силы тяжести. На Луне человек весит меньше, чем на Земле, а на космическом корабле, на пути от планеты к планете, совсем не имеет веса. Поэтому нам нужна масса – свойство, которое, грубо говоря, показывает сопротивление объекта ускоряющему воздействию. Чтобы разогнать тяжелый и легкий объекты до одинаковой скорости, нужно приложить разные усилия: чем больше масса, тем больше сила.
Кроме того, следует различать скорость и вектор скорости. В первом случае это просто число, сколько-то метров в секунду. Вектор же показывает не только величину (которая фактически соответствует его длине), но и направление. Если одна машина едет на север, а другая на юг, и обе они проезжают 90 километров за час, мы можем сказать, что скорости их одинаковы, а направления – отличаются. Соответственно, разными будут и векторы скорости.
Когда мы хотим показать, что какая-то величина является векторной, мы ставим над ее символом стрелочку:
. Если же нас интересует только количественное значение (длина вектора), мы используем тот же символ, но без стрелочки. Иными словами, длина вектора
– это просто v.

Такое обозначение имеет смысл: мы часто представляем векторную величину, буквально рисуя стрелку, которая указывает в направлении вектора, а по длине пропорциональна его величине. Кроме того, вектор можно разложить на компоненты – векторы, которые направлены в определенные стороны и образуют в сумме исходный вектор. Если вы движетесь точно на север, то компоненты скорости, направленные на запад или восток, равны нулю.

Складывать векторы очень просто. Нужно совместить начало одного вектора с концом другого, а затем нарисовать вектор, соединяющий начало второго вектора с концом первого. Как будто мы прошли сначала по одному из исходных векторов, а затем – по второму. Если исходные векторы направлены (почти) в одну сторону, длина их суммы будет (почти) равна сумме их длин. Если же они направлены в (почти) противоположные стороны, то результирующий вектор будет намного короче.

Буридан и его предшественники не знали о векторах: их придумали в XIX веке. Среди тех, кто это сделал, – немецкий математик Август Фердинанд Мёбиус[1]1
Здесь и в дальнейшем я буду писать букву ё в именах и фамилиях, чтобы вы знали, как правильно их произносить.
[Закрыть] (который знаменит «лентой Мёбиуса»), ирландский математик Уильям Роуэн Гамильтон, немецкий эрудит Герман Грассман и английский математик Оливер Хевисайд. Так что на правильное определение импульса ушло немало времени.
В наши дни вектор импульса обычно обозначается буквой
(от его латинского названия – petere). В итоге формула импульса – одна из самых простых в мире – выглядит так:
(1.1)
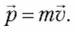
Наше первое официальное уравнение. Вектор импульса направлен в ту же сторону, что и вектор скорости, а его длина пропорциональна ее величине. Пропорциональность станет для нас крайне важным понятием. Оно означает, что кратное изменение одной величины влечет за собой кратное изменение другой. Если удвоить скорость, удвоится и импульс. Постоянное число, которое связывает такие величины, называется «коэффициентом пропорциональности». В некоторых уравнениях он может быть не совсем постоянным, но в данном случае это так: он равен массе объекта.
Преимущества даже такого простого уравнения очевидны. Мы не просто говорим, что импульс какого-то объекта равен произведению его массы на скорость. Мы заявляем, что существует универсальное соотношение между импульсом, массой и скоростью, которое справедливо всегда, для любого объекта. Когда мы дойдем до теории относительности, кое-какие из ранее пройденных формул придется «подправить». Но основные принципы останутся прежними.
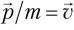
В этом уравнении нет «причинности». Это жесткая связь между величинами, которую можно прочесть как слева направо, так и справа налево. Мы можем выполнять с ним любые операции, но только одинаковые для обеих сторон. Например, если разделить их на m, мы получим
. «Если я знаю скорость объекта, то, умножив ее на массу, я получу импульс». «Если я знаю импульс, то, разделив его на массу, я получу скорость». Эти высказывания равносильны.



























