Текст книги "Большая Советская Энциклопедия (ЦИ)"
Автор книги: Большая Советская Энциклопедия
Жанр:
Энциклопедии
сообщить о нарушении
Текущая страница: 3 (всего у книги 20 страниц)
Цикл производственный
Цикл произво'дственный, см. Производственный цикл .
Цикл термодинамический
Цикл термодинами'ческий,круговой процесс , осуществляемый термодинамической системой . Изучаемые в термодинамике циклы представляют собой сочетание различных термодинамических процессов, и в первую очередь изотермических, адиабатических, изобарических, изохорических. К Ц. т., исследование которых сыграло важную роль в разработке общих основ термодинамики (см. Второе начало термодинамики ) и в развитии её технических приложений, относятся: Карно цикл (рис. , а), цикл Клапейрона (рис. , б), цикл Клаузиуса – Ранкина (рис. , в, см. Ранкина цикл ) и ряд др. На основе подобных Ц. т. были детально изучены общие закономерности работы тепловых двигателей (внутреннего и внешнего сгорания, турбин), холодильных установок и т.п. (см. Цикл двигателя , Стирлинга двигатель , Ванкеля двигатель ).

Термодинамические циклы в системе координат объем (V) – давление (r): а – Карно; б – Клайперона; в – Клаузиуса-Ранкина.
Цикламен
Цикламе'н, дряква, альпийская фиалка (Cyclamen), род многолетних травянистых растений семейства первоцветных. Бесстебельные, образуют клубневидное корневище и розетку длинночерешковых, округло-почковидных листьев. Цветки одиночные, на длинных цветоносах, пониклые, белые, розовые, красные. Более 20 (по др. данным, около 55) видов, обитающих в Средиземноморье и Передней Азии; в СССР 6—7 видов в Крыму и на Кавказе. Произрастает в горных лесах и среди зарослей кустарника. В культуре распространены сорта и гибриды Ц. персидского (С. persicum) – одного из лучших комнатных растений с крупными цветками; цветёт с октября по март. После цветения листья отмирают и растения переходят в состояние покоя. В конце мая трогаются в рост (в это время их пересаживают). Размножают Ц. семенами, которые высевают в теплицах в июле – августе. Сеянцы несколько раз пересаживают, сначала в ящики, затем в горшки. При правильном уходе (достаточное освещение, умеренная температура, регулярная, но не обильная поливка) Ц. долговечны – более 20 лет. В комнатных условиях выращивают также Ц. европейский, или альпийский (С. europeum), с мелкими ароматными цветками; в открытом грунте – Ц. косский (С. coum), Ц. весенний (С. vernum).
Лит.: Сааков С. Г., Цикламен, М., 1959; Киселев Г. Е., Цветоводство, 3 изд., М., 1964; Юхимчук Д. Ф., Цветы, К., 1964.

Цикламен персидский.
Циклантера
Цикланте'ра (Cyclanthera), род растений семейства тыквенных. Многолетние или однолетние травы с лазящими при помощи усиков стеблями. Листья цельные, лопастные или пальчаторассечённые. Цветки однополые, мелкие, жёлтые, зеленоватые или белые, мужские – в пазушных кистях, женские – одиночные. 15 (по др. данным, до 40) видов, в тропиках Америки. Наиболее известна Ц. лопастная, или перуанский огурец (С. pedata), с лопастными листьями и овальными сизо-зелёными плодами; растет в Перу; возделывается как пищевое растение в некоторых районах Южной Америки; в пищу идут плоды и молодые побеги. Ц. лопастную и некоторые др. виды разводят как декоративные для озеленения зданий, балконов, беседок и др.
Циклахена
Циклахе'на, ива (Cyclachaena, lva), род растений семейства сложноцветных. Травы или кустарники. Цветки однополые в мелких корзинках, образующих метельчатое или иного рода общие соцветия. Около 15 видов, в Америке (4 североамериканского вида часто выделяют в особый род под название «ива»). Со 2-й половины 19 в. в Россию занесена Ц., или ива дурнишниколистная (lva xanthifolia, С. xanthifolia), – однолетник высотой до 2 м, с крупными черешчатыми яйцевидными листьями и с крупным метельчатым общим соцветием. Встречается как сорное растение в южной половине Европейской части СССР, реже в др. районах. Примесь к сену вредна для скота, а пыльца вызывает заболевание – сенную лихорадку. Сравнительно легко искоренима, но некоторые др. виды рода lva относятся к трудно уничтожаемым сорнякам.
Лит.: Флора СССР. т. 25, М. – Л., 1959.
Циклинский Николай Николаевич
Цикли'нский Николай Николаевич [3(15).4.1884, г. Новозыбков, – 26.7.1938, Ленинград], советский специалист в области радиотехники. После окончания Петербургского политехнического института (1907) преподавал там же (1910—36); профессор с 1934. Руководил разработкой и изготовлением радиостанций на радиотелеграфном заводе Морского ведомства (1914—24); директор Центральной радиолаборатории (1926—28); один из организаторов советской радиопромышленности (1926—36). В 1934—36 принимал участие в исследованиях по радиолокации. Автор работ по радиоизмерениям, проектированию радиостанций, методике исследовательской работы и преподавания радиотехники.
Лит.: Памяти Н. Н. Циклинского, «Изв. электропромышленности слабого тока», 1939, № 7—8.
Циклическая группа
Цикли'ческая гру'ппа (математическая), группа , все элементы которой являются степенями одного из её элементов. Примером конечной Ц. г. служит совокупность корней n- й степени из единицы. Группа целых чисел, рассматриваемая по сложению, образует бесконечную Ц. г. (ввиду аддитивной записи групповой операции вместо степеней рассматриваются кратные). Все конечные Ц. г. с одним и тем же числом элементов изоморфны между собой (см. Изоморфизм ), равно как изоморфны между собой и все бесконечные Ц. г. Любая подгруппа и любая факторгруппа Ц. г. являются Ц. г.
Циклические координаты
Цикли'ческие координа'ты, обобщённые координаты механической системы, не входящие явно в Лагранжа функцию или в др. характеристической функции этой системы. Наличие Ц. к. упрощает процесс решения (интегрирования) соответствующих дифференциальных уравнений движения механической системы. Например, если в функцию Лагранжа L не входит явно координата q1 , то Лагранжа уравнение (2) примет вид
и сразу дает интеграл
.
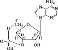
Циклические нуклеотиды
Цикли'ческие нуклеоти'ды, нуклеотиды , в молекулах которых остаток фосфорной кислоты, связываясь с углеродными атомами рибозы в 5' и 3' положениях, образует кольцо; универсальные регуляторы биохимических процессов в живых клетках.

Циклический 3',5'-аденозинмонофосфат (цАМФ)
Наиболее изучен циклический 3', 5'-аденозинмонофосфат (цАМФ) – белый порошок, хорошо растворимый в воде. цАМФ открыт в 1957 американским биохимиком Э. Сазерлендом с сотрудниками при исследовании механизма активации фермента фосфорилазы печени гормонами глюкагоном и адреналином. В тканях животных и человека цАМФ служит посредником в осуществлении многообразных функций различных гормонов и др. биологически активных соединений (некоторых медиаторов, токсинов, лактинов). У бактерий при недостатке в среде легкоусвояемых соединений, например глюкозы, увеличивается содержание цАМФ в клетке, что приводит к биосинтезу адаптивных (индуцируемых) ферментов, необходимых для усвоения др. источников питания. Уровень цАМФ в клетках сальмонеллы Salmonella thyphimurium определяет будущее попавшего в неё фага (при высокой концентрации цАМФ происходит лизогенизация культуры бактерий, при низкой – фаг вызывает её лизис ). У миксоамёбы Dictyostelium discoideum цАМФ играет роль аттрактанта , привлекающего клетки друг к другу. У высших растений цАМФ опосредует влияние фитохрома на синтез пигментов бетационинов (у Amaranthus paniculatus).
Концентрация цАМФ в тканях млекопитающих очень мала и составляет десятые доли микромоля на 1 кг сырой ткани (10-7 —10-6моль ). При активации аденилатциклазы, катализирующей биосинтез цАМФ, или блокировании фосфодиэстеразы, осуществляющей гидролиз этого нуклеотида, концентрация цАМФ в клетке быстро увеличивается. Т. о., содержание цАМФ в клетке определяется соотношением активностей этих двух ферментов. Связь между гормоном или др. химическим сигналом (первый «посредник») и цАМФ (второй «посредник») осуществляет т. н. аденилатциклазный комплекс, включающий рецептор, настроенный на определённый гормон (или др. биологически активное вещество) и расположенный на внешней стороне клеточной мембраны, и аденилатциклазу, расположенную на внутренней стороне мембраны. Гормон, взаимодействуя с рецептором, во многих случаях активизирует аденилатциклазу, которая катализирует биосинтез цАМФ. Концентрация цАМФ, образующегося т. о. в клетке, превышает концентрацию действующего на клетку гормона в 100 раз. В основе механизма действия цАМФ в тканях животных и человека лежит его взаимодействие с протеинкиназами – ферментами, активность которых проявляется в присутствии этого нуклеотида (см. схему ). Связывание цАМФ с регуляторной субъединицей протеинкиназы приводит к диссоциации фермента и активации его каталитической субъединицы, которая, освободившись от регуляторной субъединицы, способна фосфорилировать определённые белки (в т. ч. ферменты). Изменение свойств этих макромолекул путём фосфорилирования меняет и соответствующие функции клеток. Например, при действии адреналина на клетки печени происходит фосфорилирование двух ферментов – фосфорилазы и гликогенсинтетазы. Фосфорилаза при этом активируется, что приводит к быстрому гидролизу гликогена – запасного вещества печени. Одновременно с началом гидролиза гликогена прекращается его новый синтез, т.к. фермент, участвующий в его образовании, – гликогенсинтетаза при фосфорилировании его протеинкиназами теряет свою активность. Один и тот же гормон, действуя через посредство цАМФ, в разных тканях вызывает различные функциональные ответы, зависящие от особенностей данной ткани. При стрессе, когда потребность в энергии очень велика, мозговой слой надпочечников в повышенном количестве образует гормон адреналин. В печени адреналин обусловливает активное расщепление (фосфоролиз) гликогена, образование фосфорных эфиров глюкозы и выброс в кровь большого количества глюкозы, в жировой ткани – приводит к гидролизу липидов, достигнув сердца, – увеличивает силу сокращения сердечной мышцы, усиливает кровообращение и улучшает питание тканей, осуществляя мобилизацию всех сил организма. цАМФ играет определённую роль в морфологии, подвижности, пигментации клеток, в кроветворении, клеточном иммунитете, вирусной инфекции и др. Некоторые медиаторы, например ацетилхолин, могут ускорять образование др. Ц. н. – 3',5'-гуанозинмонофосфата (цГМФ), который синтезируется в клетке из гуанозинтрифосфата при активации фермента гуанилатциклазы, входящей в гуанилатциклазный комплекс, расположенный в клеточной мембране. Характерно, что многие эффекты цГМФ прямо противоположны эффектам цАМФ. Антагонистические отношения Ц. н. проявляются чаще всего в сложных системах, когда для регуляции клеточной функции требуется разновременная модификация многих белков, осуществляемая согласованным действием попеременно активируемых цАМФ– и цГМФ-зависимых протеинкиназ. У бактерий цАМФ, соединившись с неферментным рецепторным белком, присоединяется к ДНК и позволяет ферменту РНК-полимеразе начать транскрипцию гена, ответственного за синтез индуцируемого фермента (см. Оперон ). Т. о., механизм действия цАМФ у бактерий и в тканях животных и человека принципиально различен. Исследования роли Ц. н. в живых клетках – одно из наиболее быстро развивающихся направлений в биохимии, уже внёсшее существенный вклад в понимание механизмов биологической регуляции на молекулярном уровне.
Лит.: Боннер Дж., Гормоны миксомицетов и млекопитающих, в кн.: Молекулы и клетки, пер. с англ., в. 5, М., 1970; Васильев В. Ю., Гуляев Н. Н., Северин Е. С., Циклический аденозинмонофосфат – биологическая роль и механизм действия, «Журнал Всесоюзного химического общества им. Д. И. Менделеева», 1975, т. 20, № 3; Доман Н. Г., Феденко Е. П., Биологическая роль циклического АМФ, «Успехи биологической химии», 1976, т. 17; Федоров Н. А., Циклический гуанозинмонофосфат (цГМФ): метаболизм и его биологическая роль, «Успехи современной биологии», 1976, т. 82, в. 1 (4); Sutherland Е. W., Roil Т. W., The properties of an adenine ribonucleotide produced with cellular particles, ATP, Mg++ and epinephrine or glucagon, «Journal of the American Chemical Society», 1957, v. 79, № 13; Advances in cyclic nucleotide research, v 1—6 N. Y. Amst., 1972—75.
Е. П. Феденко.

Схема механизма действия цАМФ в клетках животных и растений. АТФ – аденозинтрифосфат; АДФ – аденозиндифосфат; фн – фосфат; фф – пирофосфат.
Циклические соединения
Цикли'ческие соедине'ния, соединения (главным образом органические), молекулы которых содержат одно или несколько колец (циклов, ядер) из трёх и более атомов.

Наиболее распространены (вследствие лёгкости образования и отсутствия напряжения в циклах) 5– и 6-звенные кольца. В зависимости от природы атомов, образующих циклы, Ц. с. подразделяют на изоциклические, или карбоциклические соединения , циклы которых состоят только из атомов углерода, например алициклические соединения — циклопропан (1) и циклопентан (II), ароматические соединения – бензол (III); гетероциклические соединения , в циклах которых, кроме углерода, имеется также один или несколько атомов др. элементов, т. н. гетероатомов, главным образом кислорода, азота, серы, например этилена окись (IV), пиридин (V), тетразол (VI). В многоядерных Ц. с. кольца могут быть изолированными друг от друга, как, например, в стильбене (VII), связанными одной простой связью, как в дифениле (VIII), иметь один общий атом [(IX), см. Спираны ] или два (т. н. конденсированные Ц. с.), например нафталин (X), декалин (XI). Особый случай Ц. с. – катенаны (XII), молекулы которых построены по принципу обычной цепи (звено в звене). Примером неорганических Ц. с. могут служить некоторые соединения бора, например боразол, фосфора, например фосфонитрилхлориды, кремния – циклосплоксаны. См. также Органическая химия .
Циклические ускорители
Цикли'ческие ускори'тели заряженных частиц, ускорители, в которых частицы многократно проходят через одни и те же ускоряющие электроды, двигаясь по орбитам, близким к круговым или спиральным. См. Ускорители заряженных частиц .
Циклические формы
Цикли'ческие фо'рмы, музыкальные формы, состоящие из нескольких относительно самостоятельных частей, в совокупности раскрывающих единый художественный замысел. Наиболее распространённые инструментальные Ц. ф. – сюита и сонатная циклическая форма (см. Симфония , Соната и др.). В числе вокальных Ц. ф. – кантата и оратория .
Циклический цветок
Цикли'ческий цвето'к, цветок, все части которого расположены кругами (мутовками). Характерен для большинства цветковых растений (семейства лилейных, гвоздичных, паслёновых и многих др.).
Цикличности теории
Цикли'чности тео'рии, теории исторического круговорота, социально-философской концепции, кладущие в основу периодизации истории принцип повторения, кругооборота общественных процессов. Возникнув в глубокой древности, такие представления, первоначально в мифологической и религиозной форме, пытались внести определенный порядок и смысл в историю (по аналогии с циклическими процессами, происходящими в природе: смена времён года, развитие биологических организмов и т.п.). Эти взгляды имели известное практическое значение (способствуя, например, созданию календарей), в то же время они, как правило, выражались в установлении космически и божественных периодов, длящихся сотни и даже тысячи лет, сочетались с мистическим учением о переселении душ, многократном сотворении и гибели мира и т.п. Ц. т. имели также определенное познавательное значение. Они позволили упорядочить хронологию (списки 30 династий Древнего, Среднего и Нового царств в Египте), выявить отдельные тенденции в смене политических форм правления (изучение Аристотелем истории 158 греческих полисов), провести интересные параллели между историей разных народов и эпох (Полибий и Сыма Цянь ) и т.д. Тем самым Ц. т. способствовали становлению сравнительно-исторического метода в обществоведении. Идеи кругооборота получили широкое распространение в Древнем Китае, Древнем Египте, Вавилоне, а также у античных философов и историков, что было связано с крайне медленным поступательным развитием общества.
Вклад в разработку Ц. т. внёс арабский мыслитель 14—15 вв. Ибн Хальдун , выделивший во всемирной истории четыре эпохи, связанные с деятельностью различных народов. В каждой из этих эпох он пытался выявить закономерности развития и упадка культуры, смены династий и т.п.
Особую популярность Ц. т. приобрели в 17—18 вв. в западноевропейской общественной мысли, многие представители которой восприняли экономический и культурный подъём той эпохи как возрождение античности после средневекового упадка. Ц. т. имели прогрессивное значение, ибо противопоставляли естественный порядок и определенную закономерность в истории различным теологическим, провиденциальным (см. Провиденциализм ) концепциям, а также изображению истории как сферы господства случайности и произвола великих людей. Наиболее видный представитель Ц. т. того времени – Дж. Вико , выдвинувший идею круговорота – развития всех народов по циклам, состоящим из трёх эпох: божественной, героической и человеческой. Взгляды Ибн Хальдуна и Вико оказали влияние на последующее развитие философии истории . Представления о циклическом характере общественного развития разделялись многими социалистами-утопистами, в частности Ш. Фурье , разработавшим концепцию о четырёх фазах человеческой истории («райская» первобытность, дикость, варварство и цивилизация).
После открытия материалистического понимания истории Ц. т. приобретают всё более реакционный характер. Идея исторического круговорота противопоставляется идее общественного прогресса. Сторонники Ц. т. отрицают поступательный характер всемирной истории (Э. Мейер ), изображают её как разорванные во времени и пространстве циклы развития и упадка локальных цивилизаций, не связанных друг с другом (Н. Данилевский , О. Шпенглер , А. Д. Тойнби и др.). Ц. т. получили широкое распространение на Западе, особенно после 1-й мировой войны 1914—18. Некоторые буржуазные философы и социологи (П. Сорокин), будучи не в состоянии разрешить противоречие между циклическим и линейным развитием, пытаются эклектически сочетать их в своих концепциях. Историческая обречённость капитализма воспринимается буржуазными исследователями как гибель «христианской цивилизации Запада» со всеми её культурными и технологическими достижениями.
Марксизм-ленинизм противопоставляет всем ненаучным концепциям общественного развития, в том числе Ц. т., исторический материализм , диалектико-материалистическую теорию поступательного развития общества (см. Прогресс ).
Лит.: Энгельс Ф., Диалектика природы, Маркс К. и Энгельс Ф., Соч., 2 изд., т. 20; Ленин В. И., К вопросу о диалектике, Полное собрание соч., 5 изд., т. 29; его же, Философские тетради, там же; Араб-Оглы Э. А., Концепция исторического круговорота, в кн.: Исторический материализм и социальная философия современной буржуазии, М., 1960; Маркарян Э. С., О концепции локальных цивилизаций, Ер., 1962; Конрад Н. И., Запад и Восток, 2 изд., М., 1972; Чесноков Г. Д., Современная буржуазная философия истории, Г., 1972. См. также лит. при ст. Философия истории , Цивилизация .
Э. А. Араб-Оглы.
Цикличность капиталистического воспроизводства
Цикли'чность капиталисти'ческого воспроизво'дства, см. Капиталистический цикл .
Цикло...
Цикло... (от греч. kýkios – круг), часть сложных слов, обозначающая круг, кольцо (например, циклотрон ); соответствующая по значению слову циклический (например, циклография ).
Циклоалканы
Циклоалка'ны, циклопарафины, цикланы, насыщенные циклические углеводороды общей формулы Cn H2n (см. Алициклические соединения ). Кольцо простейшего Ц. – циклопропана – состоит из трёх метиленовых СН2 -групп, его ближайшего гомолога – циклобутана – из четырёх и т.д., вследствие чего незамещённые Ц. часто называются полиметиленовыми углеводородами, или полиметиленами. Так, циклопентан C5 H10 называется пентаметиленом, циклогексан C6 H12 – гексаметиленом. Последние два Ц. вместе с их алкилпроизводными содержатся в нефтях, поэтому их нередко называют также нафтенами .
По физическим и химическим свойствам Ц. аналогичны насыщенным ациклическим углеводородам ряда метана (см. Насыщенные углеводороды ); исключение составляет циклопропан, ведущий себя в некоторых реакциях как ненасыщенный углеводород. Ц. могут быть получены различными способами, например отщеплением галогена от дигалогенпроизводных углеводородов, в молекулах которых атомы галогена расположены у углеродов в положениях 1,3; 1,4; 1,5 и т.д.; сухой перегонкой кальциевых солей двухосновных карбоновых кислот (образующиеся циклические кетоны восстанавливаются затем в Ц.); циклогексан и алкилциклогексаны синтезируют гидрированием бензола и его гомологов (над никелем, платиной, палладием).









