Текст книги "Инновационная модель бизнес-процесса"
Автор книги: Владимир Бабич
сообщить о нарушении
Текущая страница: 1 (всего у книги 11 страниц)
Annotation
Изложены основные понятия, определяющие инновационный процесс. Рассмотрена его общая структура, описаны функциональные особенности каждой стадии процесса реализации инновационного проекта. Раскрываются вопросы маркетинга высокотехнологичного продукта. Указываются инструменты сбытовой политики. Приводятся основные составляющие инновационного менеджмента.
В. Н. Бабич
ВВЕДЕНИЕ
1. ИННОВАЦИОННЫЙ ФАКТОР В СОЦИАЛЬНО-ЭКОНОМИЧЕСКОМ РАЗВИТИИ ОБЩЕСТВА
1.1. Понятие инновации
1.2. Содержание (состав) инновационной деятельности
1.3. Виды и типы инноваций
1.4. Инноватика: предмет и задачи
1.5. Инновационная экономика
1.6. Государственная инновационная политика
1.7. Контрольные вопросы и задания
2. ОБЩАЯ МОДЕЛЬ ИННОВАЦИОННОГО ПРОЦЕССА
2.1. Понятие бизнес-процесса
2.2. Инновация как коммерциализация знаний
2.3. Линейная модель инновационного процесса
2.4. Риски и угрозы
2.5. Инвестиции и инновации
2.6. Трансфер технологий
2.7. Нелинейные модели инновационного процесса
2.8. Контрольные вопросы и задания
3. МАРКЕТИНГ ВЫСОКОТЕХНОЛОГИЧНОГО ТОВАРА
3.1. Понятие маркетинга
3.2. Маркетинг высокотехнологичного продукта
3.3. Маркетинг высокотехнологичного товара
3.4. Покупатель и рынок
3.5. Особая специфика покупателей высокотехнологичных продуктов
3.6. Социально-психологические методы управления потребителем в целях инициирования инноваций
3.7. Оценка рынка
Контрольные вопросы
4. ПОНИМАНИЕ КОНКУРЕНТА. СБЫТ
4.1. Идентификация конкурента
4.2. Анализ стратегии конкурентов
4.3. Поиск информации о конкурентах
4.4. Выбор и сегментация рынка
4.5. Продуктоориентированная сегментация высокотехнологичных продуктов – стратегическое предвидение
4.6. Оценка и выбор актуальных сегментов
4.7. Позиционирование
5. НАЗНАЧЕНИЕ ЦЕНЫ ВЫСОКОТЕХНОЛОГИЧНОГО ПРОДУКТА
5.1. Ценовые границы
5.2. Цели ценообразования
5.3. Способы назначения цены
6. СИСТЕМЫ УПРАВЛЕНИЯ
6.1. Основы методологии систем управления
6.2. Методология исследования
6. 3. Методы исследования систем управления
БИБЛИОГРАФИЧЕСКИЙ СПИСОК
notes
1
2
3
4
5
6
7
8
В. Н. Бабич
Инновационная модель бизнес-процесса
ВВЕДЕНИЕ
Настоящее пособие предназначено для магистров инженерно-экономического направления. Целью предлагаемого учебного пособия является формирование у обучающихся представлений о процессах коммерциализации научнотехнических знаний, понимания действия рыночных сил и механизмов по отношению к высокотехнологичным продуктам. Значительное внимание уделяется анализу конкурентных преимуществ, определению рыночного потенциала, сегментации потребительского рынка и развитию оптимальной стратегии продвижения на рынок новых высокотехнологичных продуктов.
Важность инновационного направления развития национальной экономики подчеркивается в «Основных направлениях» политики РФ в области развития инновационной системы, на которые опирается утвержденная (2006 г.) стратегия развития науки и инноваций в РФ на период до 2015 г. Под инновационной деятельностью понимается «выполнение работ и (или) оказание услуг, направленных:
– на создание и организацию производства принципиально новой или с новыми потребительскими свойствами продукции (товаров, работ, услуг);
– создание и применение новых или модернизация существующих способов (технологий) ее производства, распространения и использования;
– применение структурных, финансово-экономических, кадровых, информационных и иных инноваций (нововведений) при выпуске и сбыте продукции (товаров, работ, услуг), обеспечивающих экономию затрат или создающих условия для такой экономии…»
Инновационная продукция при этом определяется как результат инновационной деятельности (товары, технологии, услуги), предназначенный для реализации.
Рассматриваются понятия инноваций и инновационной деятельности, виды и типы инноваций, измерение инновационной активности, затраты на инновации, цели и результативность инновационной деятельности, распространение инноваций, общие (внешние для организаций) условия инновационной деятельности. В основе определения инноваций используется объектно-процессный подход, объединяющий результат и процесс как единый объект управления. Раскрываются основные факторы, определяющие появление инновационных идей: результаты научных исследований и прикладных разработок; маркетинговые исследования и анализ внешней среды; производственный опыт.
Инновационный процесс рассматривается поэтапно (в соответствие с представленной структурой инновационного процесса): инициация инновации, маркетинг, производство, реализация, продвижение, оценка экономической эффективности инновации и ее диффузия (распространение). Приводятся распространенные модели инновационного процесса (линейные и нелинейные), подчеркивается важность системного подхода к описанию инновационного процесса, предполагающего учет как внешних условий (институциональное окружение), так и внутренней организации инновационного предприятия.
Указываются основные принципы инновационного маркетинга при коммерциализации бизнеса высокотехнологичного продукта, его рыночная ориентация (организация новых рынков, целенаправленное наращивание сбыта, воздействие на потребителей и конкурентов).
Приводится характеристика инструментов сбытовой политики, включающих сервис (информационные и консультационные услуги, послепродажное обслуживание), номенклатуру предлагаемых товаров (линейка однородных продуктов), дистрибуцию (распределение) продуктов на рынке, установление цены (определение рыночно приемлемой цены), организацию отношений с потребителями (оценка степени удовлетворенности потребителя продуктом), расширение каналов сбыта, рыночные мероприятия.
Приведенный библиографический список лишь указывает доступные и известные издания по указанной тематике. Современный же массив изданий, включающий как печатные (монографическая и учебная литература, журнальные статьи, обзоры и др.), так и электронные источники, огромен и необозрим. Поэтому для получения дополнительных сведений рекомендуется использовать информационный поиск, в том числе в сети Интернет.
1. ИННОВАЦИОННЫЙ ФАКТОР В СОЦИАЛЬНО-ЭКОНОМИЧЕСКОМ РАЗВИТИИ ОБЩЕСТВА
1.1. Понятие инновации
Где-то в своей каморке сидит начинающий предприниматель-инноватор, который отливает пулю с именем твоей фирмы на ней. Теперь у тебя есть только один выход – выстрелить первым. Ты должен быть более инновационным, чем все инноваторы. Гарри Хамел
Инновационный проект, инновационная деятельность, инновационная политика, … – эти (и другие) словосочетания, образованные на основе слова инновация (англ. innovation – нововведение), употребляются сегодня часто в различных сферах общественной жизни, в разных интерпретациях, расширяя в одних случаях толкование инновации до понимания как любого нововведения, которое изменяет состояние (состав, структуру, функции) рассматриваемого объекта, процесса (включая организационные, социальные, правовые изменения). А в других случаях сужая понятие инновации до рамок нового бизнес-продукта, полученного в результате коммерциализации изобретения или технологии (научно-технического знания).
Термин инновация происходит от латинского novatio, означающего «обновление» (или изменение) и приставки in, которая переводится с латинского как в направлении. Таким образом, дословный перевод innovatio – в направлении изменений. Термин инновация – innovation ввел в научное обращение австрийский экономист Йозеф Алоиз Шумпетер в начале ХХ в. Исследуя проблемы динамического развития рыночной системы, выявляя факторы, обеспечивающие прогресс и экономический рост, он выдвинул теорию эффективной конкуренции – плодотворное взаимодействие сил монополии и конкуренции, базирующихся на инновациях и обеспечивающих экономическое развитие. Движущей силой экономического роста он определил инвестирование в основной капитал, вызванное внедрением инноваций. Были указаны следующие типы инноваций: создание нового продукта (товара) или качественного изменения в существующем продукте; использование новых технологий и новой техники; открытие новых источников сырья; новая промышленная (хозяйственная) организация; освоение новых рынков сбыта. В результате внедрения технических новинок, освоения новых инвестиционных проектов, появляются новые комбинации производственных ресурсов.
По словам Шумпетера, радикальные инновации определяют облик крупных перемен в мире, тогда как инкрементальные инновации наполняют собой процесс изменений непрерывно.
Активным элементом процесса экономического развития по Шумпетеру является предприниматель – носитель функции экономического новаторства. Предприниматель – хозяйствующий субъект, но не изобретатель (он лишь реализует результаты их работы), не капиталист (который предоставляет необходимые средства и рискует ими), не менеджер (профессионально занимающийся управлением производства и сбыта). Прибыль является вознаграждением за нововведение, так как новые комбинации дают возможность снижать издержки производства. Прибыль получает тот, кто раньше других использует нововведение. Таким образом, для получения прибыли решающей становится не конкуренция цен или качества, а конкуренция новых продуктов, новых технологий, новых источников обеспечения и новых организационных форм.
Йозеф Алоиз Шумпетер (1883–1950) – австрийский и американский экономист, социолог и историк экономической мысли. В 1901–1906 гг. учился в Венском университете. В 1909–1911 гг. профессор Черновицкого университета. В 1919–1920 гг. занимал пост министра финансов Австрии.

Профессор Рейнского (Бонн, 1925–1932) и Гарвардского университетов (с 1932). Президент Эконометрического общества (1940–1941). Президент Американской экономической ассоциации (1948). Понятие экономической инновации было введено Шумпетером в 1912 г. и в дальнейшем разработано в работе «The Theory of Economic Development» (1934). Фундаментальный труд «История экономического анализа» («History of Economic Analysis», 1954) был опубликован после смерти автора под редакцией вдовы ученого Элизабет Шумпетер – также квалифицированного экономиста. Шумпетер – автор современной классификации экономических циклов, согласно которой выделяют «длинные волны» (до 55 лет) Кондратьева, средние промышленные циклы (до 10 лет) Жюгляра, малые (денежные) циклы Китчина длительностью 3 – 4 года.
Известными предпринимателями, инновационная деятельность которых в значительной мере определила их экономический успех, действительно способствовала технологическому прогрессу в индустриальном обществе, серьезно изменила приоритеты рыночной экономики и послужила обоснованием некоторых экономических теорий, являются Генри Форд, Александр Белл, Томас Эдисон.
Генри Форд (1863–1947) – американский промышленник, владелец заводов по производству автомобилей по всему миру (Ford Motor Company), изобретатель, автор 161 патента США, впервые стал использовать промышленный конвейер для поточного производства автомобилей, ввел для своих рабочих самую высокую в стране минимальную заработную плату, создал самую разветвленную сбытовую организацию.
Александр Грэхем Белл (1847–1922)– американский учёный (профессор физики), изобретатель и бизнесмен, один из основоположников телефонии, основатель компании Bell Telephone Company, определившей всё дальнейшее развитие телекоммуникационной отрасли в США.
Томас Алва Эдисон (1847–1931) – американский изобретатель (запатентовал более 1000 изобретений), член Национальной АН (1927), создатель компании General Electric.
Интерес к влиянию инноваций на экономическое развитие резко усилился в 1970-х годах на волне развития микроэлектроники, компьютерной техники, химических технологий (синтез новых продуктов – веществ, материалов), успехов в фармакологии (на основе новых биотехнологий), которые явно демонстрировали превращение результатов научных исследований в движущую силу конкурентоспособности целых отраслей и национальных экономик.
Современная экономика определяется непрерывным потоком инноваций, базируется на наукоемких технологиях, что позволяет производить высокотехнологичный продукт с очень высокой добавочной стоимостью. Характерно, что Билл Гейтс (создатель компании Microsoft) и Стив Джобс (создатель компании Apple Computer) – представители IT-индустрии – входят в число наиболее ярких и успешных предпринимателей-инноваторов (бизнес-элиту современности).
Расширение концептуализации понятия инноваций на гуманитарные науки и сферы деятельности вызвало поток новых определений. К обсуждению подключились психологи, социологи, юристы, специалисты по менеджменту и маркетингу. Первоначальный подход к инновациям как процессу или итогу внедрения научно-технических результатов в практическую деятельность (в представлениях классиков инновационной теории) существенно трансформировался. Инновации стали рассматривать с разных точек зрения: в связи с технологиями, коммерцией, социальными системами, экономическим развитием и формулированием политики. Однако отличительная особенность инновации состоит в том, что она позволяет инноватору получить дополнительную ценность и связана с внедрением. В рамках этого взгляда инновация (как использование нового устройства, новой технологии или чего-то уже существующего по новому назначению – для изменения образа жизни людей, улучшения их деятельности) не является инновацией до того момента, пока она успешно не внедрена и не начала приносить пользу (выгоду).
Таким образом, инновация – это внедрённое новшество (нововведение), обеспечивающее качественный рост эффективности процессов или продукции, востребованное рынком. Является конечным результатом интеллектуальной деятельности человека, его фантазии, творческого процесса, открытий, изобретений и рационализации. Примером инновации является выведение на рынок продукции (товаров и услуг) с новыми потребительскими свойствами или качественным повышением эффективности производственных систем.
Существует более общее понимание инновации как результата инвестирования в разработку и получение нового знания (интеллектуального решения), ранее не применявшейся идеи по обновлению сфер жизни людей (технологии; изделия; организационные формы существования социума, такие как образование, управление, организация труда, обслуживание, наука, информатизация и т. д.) и последующий процесс внедрения (производства) этого, с фиксированным получением дополнительной ценности (прибыль, опережение, лидерство, приоритет, коренное улучшение, качественное превосходство, креативность, прогресс).
Отсюда следует, что инновационный процесс – это процесс создания, освоения, распространения и использования инновации с обеспечением в форме инвестиций и целевым назначением – получение прибыли и (или) достижение иного полезного эффекта. Инновационный процесс применительно к продукту (товару) может быть определен как процесс последовательного превращения идеи в товар через этапы фундаментальных и прикладных исследований, конструкторских разработок, маркетинга, производства, сбыта.
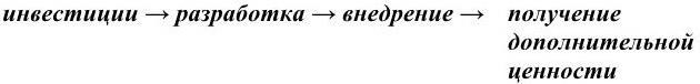
Итак, имеем следующую операционную цепочку инновационного процесса:

Инновационный процесс невозможен без инвестиционной деятельности, которая включает вложение средств для реализации инновационного проекта. Инвестиции необходимы для выполнения целого комплекса работ, определяемых на разных этапах инновационного процесса в соответствии с поставленными целями и задачами. В него входят:
– проведение поисковых научно-исследовательских работ (НИР) с целью выдвижения и обоснования идеи о новых методах удовлетворения общественных потребностей (осознание потребностей и понимание возможности инновации, возникновение идеи и ее теоретическое обоснование);
– выполнение прикладных НИР и опытно-конструкторских работ (ОКР) с целью реализации (материализации) нового научного (теоретического) знания в виде нового продукта (разработка, изготовление и испытание опытного образца изделия);
– технологическое освоение масштабного производства продукции (организация промышленного производства – строительство необходимых производственных объектов, возможная реконструкция, техническое перевооружение, пуско-наладочные работы, подготовка кадров);
– продвижение нового продукта на рынок (маркетинг, рекламные мероприятия, продажа в виде товара, услуг), внедрение нового технологического процесса в практическое использование (внедрения инноваций в производство);
– распространение инновации (в новых регионах, на новых рынках).
Таким образом, необходимы как капитальные вложения (затраты на исследования и разработки, приобретение машин и оборудования, сооружений, земельных участков и прочих основных средств), так и вложения в нематериальные активы (затраты на специальный маркетинг, обучение, программное обеспечение, технологические и технические новшества, ноу-хау, лицензии, патенты и другие объекты интеллектуальной собственности, проекты, арендные и иные права, компьютерные, консультационные и другие услуги).
Финансирование инновационной деятельности может осуществляться как из государственных, так и из частных источников. Принципы организации финансирования должны быть ориентированы на множественность источников финансирования и предполагать быстрое и эффективное внедрение инноваций с их коммерциализацией, обеспечивающей рост финансовой отдачи от инновационной деятельности. Важным финансовым источником различных форм инновационной деятельности являются бюджетные ассигнования, за счет которых выполняются целевые комплексные программы (НИР, ОКР), приоритетные государственные проекты.
Инвестиции – это финансовые средства, ценные бумаги, иное имущество, а также имущественные и иные права, имеющие денежную оценку, вкладываемые в объект предпринимательской и (или) иной деятельности в целях получения прибыли и (или) достижения иного полезного эффекта. Инвестор – субъект инвестиционной деятельности – принимает решение о вложении собственных, заемных и (или) привлеченных средств, имущественных и интеллектуальных ценностей в объекты инвестирования. Цель инвестора – получение максимального экономического эффекта от вложения инвестиций в новый продукт. Следовательно, он прежде должен оценить (максимально точно) экономическую целесообразность предлагаемой инновации (определение объема затрат всех видов ресурсов, необходимых для выполнения всех работ по проекту, и экономической эффективности инновационного проекта в целом). При принятии решения о финансировании инновационного проекта инвестор сталкивается с проблемой определения нижней границы доходности инвестиций, в качестве которой, как правило, выступает норма прибыли.
Реализация инновационного проекта характеризуется высоким уровнем неопределенности и риска, сложностью прогнозирования результатов. Инновации как товару присущи такие особенности, как рыночная новизна (возможный характер потребности на инновацию или даже отсутствие текущей потребности на рынке), временнáя отдаленность между затратами и конечным результатом;
невозможность использования без надлежащего уровня знаний и информированности потребителей. Поэтому инвестирование в условиях рынка сопряжено со значительным риском, и этот риск тем больше, чем более длителен срок окупаемости вложений. Слишком существенно за это время могут измениться и конъюнктура рынка и цены. Этот подход особенно актуален для отраслей с высокими темпами научно-технического прогресса, где появление новых технологий или изделий может быстро обесценить прежние инвестиции.
Инвесторы учитывают уровень риска как надбавку к ожидаемой норме прибыли (чем выше неопределенность, тем больше надбавка – по оценкам до 20 % цены капитала).
Таким образом, инвестиционная поддержка инновационного проекта (объемы финансирования, условия кредитования и др.) определяется качеством его финансово-экономического обоснования и экспертным подтверждением его технико-технологической осуществимости.
Непременным свойством инновации является новизна (научно-техническая, технологическая, организационно-управленческая). Поэтому необходимо отличать инновации от несущественных видоизменений в продуктах и технологических процессах (незначительных технических или внешних изменений продукта, а также входящих в него компонентов); от расширения номенклатуры продукции за счет освоения производства не выпускавшихся прежде на данном предприятии, но уже известных на рынке; от сезонных и иных циклических изменений приемов маркетинга и др.
Оценка «новизны» инноваций определяется по технологическим параметрам продукта (функции или в способы использования), функциональным или потребительским характеристикам (как товара, услуги), организационно-управленческим изменениям, маркетинговым методам (действиям), а также с рыночных позиций. Описание типов инноваций базируется на международных стандартах, рекомендации по которым были приняты в г. Осло в 1992 г. (так называемое «Руководство Осло»). Эти стандарты охватывают новые продукты и новые процессы, а также их значительные технологические изменения. Данное Руководство является основным методологическим документом Организации экономического сотрудничества и развития (ОЭСР) в области инноваций. В 2005 г. вышло третье издание Руководства1, в которое были включены два новых типа инноваций (нетехнологических): маркетинговые и организационные инновации. В Руководстве приводится следующее определение.
Инновация есть введение в употребление какого-либо нового или значительно улучшенного продукта (товара или услуги) или процесса, нового метода маркетинга или нового организационного метода в деловой практике, организации рабочих мест или внешних связях.
Общим признаком инновации является то, что она должна быть введена в употребление (внедрена). Новый или усовершенствованный продукт является введенным в употребление после того, как он появился на рынке.
Новые производственные процессы, методы маркетинга или организационные методы являются введенными в употребление (внедренными) после того, как они стали реально использоваться в деятельности предприятия.
1.2. Содержание (состав) инновационной деятельности
Иметь преимущество несложно – просто решитесь прямо сейчас предложить вашу новаторскую идею – в дальнейшем вы будете поражены тем, как эта заслуга будет вам помогать по жизни. Стив Джобс
Конечная цель инновационной деятельности – коммерциализация инновации (получение прибыли) и (или) достижение общественной выгоды.
Стремление повысить экономическую эффективность предприятия (увеличить спрос на продукцию предприятия, снизить издержки и т. д.) определяет необходимость инновационной деятельности. Ее виды могут быть ориентированы на разработку и внедрение новых продуктов и процессов, новых методов продвижения и продажи продукции предприятия и/или на изменения организационной практики и структуры.
Новый продукт (товар, услуга) или процесс (технология, организация производства) может стать для инноватора источником рыночного преимущества. Так, если внедренные процессные инновации повышают производительность, то инноватор получает перед своими конкурентами преимущество по стоимости, позволяющее ему получить больший доход от продаж по преобладающей рыночной цене, или, в зависимости от спроса, использовать сочетание пониженной цены и повышенного дохода от продаж (более выгодное, чем у конкурентов) для расширения своего сектора рынка и увеличения прибыли. В случае внедрения нового продукта (с востребованными потребительскими характеристиками) инноватор может получить конкурентное преимущество, что позволяет увеличить спрос и доходы от продаж.
Увеличение спроса на продукцию возможно также посредством ее дифференциации, проникновения на новые рынки, воздействия на спрос уже существующих продуктов. Изменения в методах организации деятельности предприятия способны уменьшить текущие затраты (т. е. повысить эффективность).
Прибыль, полученная за счет реализации инновации, может использоваться в качестве инвестиционного капитала, направляемого на расширение производства, или финансирование новых инноваций, что повышает экономический потенциал предприятия.
Таким образом, стремление сохранить уже существующий уровень конкурентоспособности и изыскать (по возможности) новые конкурентные преимущества побуждает предприятия заниматься инновациями.
В Приложении к проекту «Основы политики Российской Федерации в области развития национальной инновационной системы на период до 2010 года и дальнейшую перспективу» указано:
«Инновация (нововведение, инновационный продукт) – результат инновационной деятельности, получивший воплощение в виде нового продукта, услуги и технологии и/или новой организационно-экономической формы, обладающий явными качественными преимуществами при использовании в проектировании, производстве, сбыте, потреблении и утилизации продуктов, обеспечивающий дополнительную по сравнению с предшествующим продуктом или организационно-экономической формой экономическую (экономия затрат или дополнительная прибыль) и/или общественную выгоду.
К инновационной деятельности относятся:
– выполнение научно-исследовательских, опытно-конструкторских или технологических работ по созданию инновационного продукта;
– комплексное научно-технологическое, индикативное планирование и целевое программирование, организация и нормативно-правовое обеспечение работ по созданию инновационного продукта;
– технологическое переоснащение и подготовка производства для выпуска инновационного продукта (услуги), технологии;
– проведение испытаний и освоение потребителем инновационного продукта;
– управление процессами коммерциализации технологий;
– деятельность по продвижению инновационного продукта на внутренний и мировой рынки, включая правовую защиту результатов интеллектуальной деятельности, использованных в продукте;
– создание и развитие инновационной инфраструктуры;
– передача либо приобретение прав Российской Федерацией или другими правообладателями на объекты интеллектуальной собственности, включая их вовлечение в гражданскоправовой оборот;
– экспертиза, консультационные, информационные, юридические и иные услуги (включая организацию финансирования инновационной деятельности) по созданию и реализации нового и усовершенствованного инновационного продукта».
Таким образом, инновационная деятельность – это совокупность научной, технологической, организационной, финансовой и коммерческой деятельности, направленной на создание и внедрение на рынке нового или усовершенствованного продукта, создание нового или усовершенствованного технологического процесса, использованного в практической деятельности, применение новых маркетинговых методов либо новой или усовершенствованной организационно-экономической формы, обеспечивающих необходимую экономическую и (или) общественную выгоду.
Деятельность является инновационной, если в нее привносятся новые знания, технологии, приемы, подходы для получения общественно востребованного результата. Она представляет собой комплекс мероприятий по разработке, освоению, производству, внедрению, распространению (диффузии) новшеств, объединенных в одну логическую цепь, каждое звено которой имеет свое содержание и свои методы реализации.
В «Руководстве Осло» отмечается, что конкретные виды инновационной деятельности, протекающей на предприятиях в процессе осуществления или освоения инноваций, включают исследования и разработки и/или многие другие виды деятельности.
• Исследования и разработки (ИР) – включают следующее:
1) предприятие может проводить фундаментальные и прикладные исследования для приобретения новых знаний и исследования, направленные непосредственно на конкретные изобретения или модифицирование уже существующих технических приемов;
2) предприятие может разрабатывать концепции новых продуктов или процессов или разнообразные новые методы оценки их пригодности и жизнеспособности. Сюда на разных стадиях могут входить:
а) разработки и испытания; б) дальнейшие исследования, направленные на изменение конструкции или технических функций.
• Другие виды инновационной деятельности.
Предприятие может заниматься многими видами деятельности, не относящимися к исследованиям и разработкам, но необходимыми для создания инноваций. Эта деятельность может повышать способность предприятия создавать инновации либо его способность успешно осваивать инновации, разработанные другими предприятиями или организациями.
В ходе такой деятельности предприятие может:
3) изыскивать новые концепции продуктов, процессов, методов маркетинга или организационных изменений:
а) используя свои маркетинговые структуры и контакты с потребителями;
b) находя возможности коммерциализации результатов своих собственных или чужих фундаментальных и стратегических исследований;
с) используя собственный потенциал в области дизайна и разработок;
d) наблюдая за конкурентами;
е) используя услуги консультантов;
4) покупать техническую информацию, выплачивать отчисления и лицензионные платежи за запатентованные изобретения (обычно требующие дополнительных исследований и разработок для изменения и приспособления к собственным нуждам предприятия), покупать ноу-хау и профессиональные знания, используя инжиниринговые, проектные и другие консультационные службы;
5) повышать квалификацию персонала (посредством обучения на предприятии) или покупать ее (посредством найма); сюда же могут входить освоение «неявных знаний» и неформальное обучение в процессе работы;
6) инвестировать в оборудование, программное обеспечение или полуфабрикаты, в которых воплощены результаты инновационной деятельности других субъектов;
7) перестраивать систему управления и практику ведения бизнеса;
8) разрабатывать новые методы маркетинга и продажи своих товаров и услуг.
Инновационная деятельность характеризуется высоким уровнем неопределенности и риска, сложностью прогнозирования результатов. Требует постоянного контроля за промежуточными этапами внедрения инноваций, анализа текущей ситуации, своевременной адекватной и экономически обоснованной реакции (вплоть до принятия решения о прекращении работ). Инновационной деятельности присуще стремление к максимальной сбалансированности технологических и экономических факторов (технологическая реализуемость и экономическая эффективность), оптимизация временных границ (своевременность реализации инновации), вовлечение как можно большего числа источников инновационных идей (доступ к знаниям, технологиям, объектам интеллектуальной собственности, информационным ресурсам), а также экономия издержек в ходе всего жизненного цикла нововведений. Приоритетными являются экономические условия, а важнейшим параметром в ходе инновационной деятельности становится время. Ресурсы, вовлекаемые в инновационный процесс, могут быть обесценены, если конкурент опередит с выходом новой продукции на рынок.








