Текст книги "Приключения инженера
Роман"
Автор книги: Владимир Ацюковский
Жанры:
Биографии и мемуары
,сообщить о нарушении
Текущая страница: 17 (всего у книги 29 страниц)
Поэтому никакого недоразумения здесь нет, кроме того, что в формулах, выраженных не в системе СИ, потерян физический смысл, поскольку диэлектрическая проницаемость все-таки зачем-то нужна, раз она присутствует в формулах, выраженных в системе единиц СИ.
Где же ошибка?
Представляется, что допущенная ошибка имеет серьезный методический характер. Сам факт того, что диэлектрическая проницаемость, параметр вполне физический, была приравнена к некоей безразмерной единице, говорит о том, что уже давно, более ста лет никто не интересовался физическим смыслом электрических единиц. Вся теория электромагнетизма оказалась подчиненной только прикладным задачам, а не поискам сути. И хотя в прикладных задачах это оправдано, в физике это совершенно недопустимо.
Никого не насторожило даже то обстоятельство, что в двух системах единиц, появившихся одновременно, – системах СГСЕ и СГСМ, в которой за абстрактную единицу принята не диэлектрическая проницаемость вакуума, а магнитная проницаемость, размерности одних и тех же величин разные. А поскольку физики и сегодня, несмотря на все указания и нормативы, продолжают упорно придерживаться этих систем единиц, то это значит, что они и сегодня не интересуются их физическим смыслом.
И это физики?!
10. Время и пространство
Занимаясь в свое время синусно-косинусными трансформаторами, автор обратил внимание на то, что напряжение хоть на синусной обмотке статора, хоть на косинусной может быть изображено векторным способом так же, как это делается в обычных векторных диаграммах электрических цепей. Только в электрических цепях любой вектор записывается в виде u = Uo.е Ι(ωί + φ – φο); где Uo – амплитудное значение синусоидального напряжения, ω – круговая частота; φ – фаза; i = √-1, а в пространстве в зависимости от угла поворота вектор запишется как u = Uo.е J(θ-θo); где Uo – максимальное значение напряжения на обмотке, когда оси обмоток статора и ротора параллельны; θ – угол поворота ротора; θо – начальное значение угла, а j =√-1, но уже не во времени, а в пространстве. Отсюда следовало, что любой вектор в электрической схеме, подключенной к синусно-косинусному трансформатору, может быть изображен как u = Uo .е Ι(ωί + φ – φo) . е j(θ– θo).
В этом выражении появились так называемые гиперкомплексные числа, то есть мнимые числа, лежащие в разных плоскостях.
На основании таких размышлений был разработан аппарат пространственно-временных диаграмм, с помощью которого было весьма удобно получать различные нелинейные зависимости выходного параметра от входного, что и было использовано в разных схемах. Попутно, выяснилось, что переход от фазовых схем к пространственным позволяет избавиться от проблемы клирфактора, т. е. наличия в питающем напряжении высших гармоник, которые причиняют в фазовых схемах множество хлопот, а в трансформаторных схемах, т. е. построенных по пространственному принципу, никаких хлопот не доставляют.
Но главное оказалось даже не в этом. Главным оказалось то, что с точки зрения математики пространство и время оказались абсолютно эквивалентными, следовательно, любой фазовой, т. е. временной схеме должна соответствовать пространственная схема и наоборот.
Проверка на многих схемах показала полную справедливость такого утверждения. Мы брали схему, построенную на фазовых принципах и тут же превращали ее в пространственную. Брали пространственную схему и тут же превращали ее в фазовую. Это хорошо показало себя при разработке емкостных фазовращателей, которые тут же были преобразованы в амплитудные мостовые многолучевые схемы. На этой основе родились, в частности, емкостные векторные раскладчики, которых до того времени вообще не существовало, и другие полезные устройства.
Интересуясь проблемами квантовой механики, автор как-то наткнулся на опубликованную в 1940 г. статью известного немецкого математика Е. Маделунга, который, правда, не занимался ни фазовращателями, ни трансформаторными схемами, но зато анализировал решения, вытекающие из известного уравнения Шредингера.
Уравнение Шредингера не представляет собой чего-то сверх особенного. Это уравнение выражает собой изменения потенциальной энергии некоей массы, которая колеблется в пространстве под действием упругих сил. Так же колеблется обычный маятник под действием силы тяжести, так же колеблется и обычный часовой балансир на спиральной пружине, если, конечно у них нет потерь. Только мы, инженеры, привыкли к тому, что эти колебания выражаются в виде изменения отклонений массы от среднего положения. А Шредингер, наверняка прослышав о Планке и Боре, у которых все выражается в энергиях – и частота фотона, и орбиты электронов в атомах, решил попытать счастья в том же направлении. И надо сказать, что счастье вполне ему улыбнулось, потому что это уравнение и все решения, вытекающие из него применительно к атому, нашли широчайшее применение.
Маделунг тоже решил попытать счастья в том же направлении, но несколько по-другому. Видимо, не зная свойств гиперкомплексных чисел или не догадываясь о взаимосвязи времени и пространства, он использовал фактически те же гиперкомплесные числа, но в два приема. Он подставил в уравнение Шредингера сначала временной фактор в виде мнимости во времени, а потом пространственный фактор в виде мнимости в пространстве. К своему удовольствию или, наоборот, к ужасу, это неизвестно, он обнаружил, что пришел к гидромеханическому выражению процессов, отображаемых уравнением Шредингера. Получалось, что абстрактно-математическим путем он выявил наличие в пространстве неких стационарных потоков. Потоков чего? Какой среды? Ведь к этому времени уже было хорошо известно, что никакой внутриатомной среды нет, а тут на тебе!
Свои сомнения Маделунг выразил таким образом: «…если бы я, – пишет он, – не был бы уверен, что никакой среды не существует, то на основании изложенного мог бы подумать, что такая среда есть». Вроде бы я, Маделунг, тут ни при чем, все это математика виновата.
Таким образом, некая эквивалентность пространства и времени у Маделунга тоже прослеживается.
В принципе, обычное уравнение бегущей волны u = U sinω(t – г/с) тоже отражает эту связь. В самом деле, если у волны есть амплитуда U и круговая частота ω, то в любой момент времени t на любом расстоянии г можно узнать высоту волны u, если известна скорость распространения волны с. Таким образом, здесь реализована связь пространства и времени применительно к данному процессу. Тонкость заключается в том, что скорости у всех процессов разные и пытаться их объединить какой-то одной скоростью, например, скоростью света, как это сделал Эйнштейн, пустое дело. Тем не менее, всякий процесс протекает и во времени, и в пространстве.
Здесь пора вспомнить о том, что помимо бегущих волн существуют еще и стоячие волны. Такие волны представляют собой застывшую в пространстве синусоиду и образуются разными способами, например, с помощью нескольких бегущих волн, отражающихся от берегов. Опять же, в ванной при стоке воды часто на поверхности водяного круговорота образуются хорошо видимые стоячие волны. В принципе, о такого рода потоках и говорил Маделунг. Но тогда это значит, что в пространстве возможно образование некоей неподвижной по форме, но текущей по внутреннему содержанию волновой структуры. Спрашивается, нельзя ли что-нибудь поиметь полезного для практики от таких соображений. Похоже, что можно.
Стоит обратить внимание на то, что мы давно и с успехом используем временные процессы, связанные с электродинамикой. Это радиотехника и радиолокация, это трансформаторы вместе с законами электромагнитной индукции, это электроника и акустика и прочие прикладные области физики, которые послужили человечеству весьма плодотворно и продолжают ему служить. Но все это временные процессы и только. Контура настраиваются на определенную частоту, т. е. на определенный период колебаний, а это время. Радиолокаторы определяют расстояния, но физическим исходным видом сигнала является тоже время. И практически еще никто не использовал толком пространство для подобных же целей.
Исключения, конечно, есть. Это, например, голография. Голография основана на запоминании фаз света именно в пространстве. И когда вы освещаете светом эти запомненные в пространстве фазы света, т. е. голограмму, то получаете объемное изображение. Точность и достоверность таких изображений настолько высока, что на этом неоднократно попадались воры, пытавшиеся украсть драгоценности с выставок. На самом деле, воровать там можно было только голограммы, потому что сами драгоценности находились в другом месте.
Есть и еще одно исключение, это так называемая биолокация, которая раньше называлась лозоходством. Оператор брал в руки лозу – разветвленный кусок ветки, сейчас для этой цели используется проволочная рамка, и обходил участок в поисках воды или руд. По повороту лозы или рамки он определял место, где имеет смысл копать шурф. Так с древнейших времен искали воду и руды по всему миру.
На одной конференции автор с удовольствием выслушал рассказ ленинградских биолокационщиков о том, как они профессионально по договору ищут воду в Монголии. В Монголии рек нет, а вода нужна для скотоводства. Операторы объезжают участки на газике, держа рамку в руках. Там, где рамка вращается интенсивно, производится пробное бурение. Ошибок у них не бывает, однако в 20 % случаев вода слабая, зато в 80 % случаев находится промышленная вода. На этом месте создают госхозы.
При поисках руды целесообразно на кончик рамки прикрепить кусочек подобной руды, тогда именно на эту руду рамка и будет реагировать. Возникает некий пространственный резонанс, который можно использовать с успехом.
Автор одно время увлекался поиском геопатогенных зон, которых много и которые даже деревья искривляют самым безобразным образом. В любой квартире всегда есть 2–3 таких зоны, и длительное нахождение в них оказывается весьма вредным для здоровья: человек плохо спит и даже заболевает безо всякой видимой причины. Автора, правда, интересовало, нельзя ли их ликвидировать. Оказалось, что можно путем помещения в них спутанной тонкой медной проволоки. Эта проволока действует на выходящие из земли эфирные потоки и рассеивает их подобно тому, как это делает душ. Тут разрушается любая структура эфирных потоков, хотя сам источник, находящийся глубоко в земле, никуда, конечно, не исчезает. Устройство названо эфиродинамическим пассивным нейтрализатором, и по свидетельству многих оно, хотя и дешевое, работает весьма эффективно.
В Харькове автор как-то прошелся вдоль реки, протекающей невдалеке от большого собора. С верхушки этого собора трижды слетал крест, и автора интересовало, нет ли поблизости геопатогенной зоны, которая могла поспособствовать такому явлению. Оказалось, что есть. Вдоль реки на протяжении двухсот метров рамки вращались в руках у автора так, будто их вертел мотор. Но это только на берегу, примыкающему к собору. На противоположном берегу не было ничего.
По телевизору как-то передавали, что на 41 километре шоссе Москва-Петербург часто бывают массовые аварии в связи с внезапно поднимающимся туманом и потерей бдительности водителями. Таких аварий одновременно бывает несколько. У автора возникло подозрение, что имеет место активизация геопатогенных зон, и, если бы вдоль шоссе под асфальт разложить спутанную тонкую медную проволоку, то все эти явления прекратились бы.
Но все это мелочи.

Настоящим внедрением идеи единства времени и пространства было бы создание нового физического направления, которое изучало бы пути создания пространственной радиотехники. В этом направлении биолокация или исследование геопатогенных зон были бы частными случаями. Надо не забывать, что каждый предмет окружен аурой, эта аура имеет структуру, отражающую не только форму предмета, но и его внутреннее содержание. Аура от каждого предмета распространяется на громадные расстояния, ослабляясь, конечно, с увеличением расстояния. Тем не менее, информация о каждом предмете в виде аурной эфиродинамической структуры есть в любой точке пространства. Конечно, все это перепутано. Но ведь и радиоволны от всех радиостанций тоже все перепутаны в каждой точке пространства, а ведь ловим нужную станцию, когда захотим. Так что физическая основа для подобной пространственной радиотехники есть. Но главное, чего еще нет, это желания заниматься всем этим.
Хлопотно, знаете ли!
11. Коперники геометрии
Мы живем в пространстве и во времени, и поскольку эти категории являются всеобщими, многим исследователям хотелось бы поподробнее установить их свойства.
Некоторые выдающиеся исследователи полагают, что время есть двигатель всего на свете, вроде паровоза, и оно способно само по себе преобразовываться в энергию. Например, автор «Причинной механики» ленинградский астроном Н.А. Козырев, описавший этот процесс, заодно высчитал и скорость течения времени, она составила 16 м/с. Он описал и некоторые эксперименты, в соответствии с которыми сигнал от далекой звезды доходит мгновенно до измерителя, который есть нагревающийся резистор. К сожалению, никто не сумел повторить эти эксперименты, так как подробностей эксперимента Козырев не оставил, а самого его давно нет на свете. Но не будет же он врать? Поэтому в МГУ уже не один год идут чтения его имени, на которых рассматриваются подобные животрепещущие проблемы. Все-таки, многим хочется создать машину времени, иначе скучно.
По мнению автора, физическое время ни во что преобразовываться не может. Оно всего лишь отражает последовательность всех процессов, их причинно-следственные отношения. Сначала идет причина, а потом следствие. Наоборот бывает только в умах физиков-теоретиков и абстрактов-математиков. И как это ни жаль, машина времени, возвращающая физическое тело, например, нас с вами, в доисторические времена, увы, невозможна. Может быть, это и хорошо. Если туда попадете и даже если вас не съест динозавр, то как оттуда выбираться? А вдруг сбой?

То же и с пространством. Наше пространство трехмерное, но это как-то скучно. Ну, в самом деле, что такое особенное может произойти в трехмерном пространстве? И поэтому остроумные теоретики рассматривают четырехмерное пространство, в которое они заталкивают время в качестве четвертого измерения, а некоторые и n-мерное. В такое пространство уже можно затолкать все, что угодно, там места хватит. Единственно, чего туда нельзя затолкать, это нашу физическую реальность. Но теоретиков это нисколько не смущает.
А чтобы можно было со всеми этими пространствами как-то обращаться, придуманы соответствующие геометрии.
Евклид, древнегреческий математик обобщил опыт еще более древних, чем он сам, математиков и создал геометрию, которая с тех пор так и называется – евклидова геометрия. О возможностях создания других геометрий Евклид не задумывался, потому что его геометрия оказалась весьма совершенной и удовлетворяла всем практическим нуждам. По этим причинам она живет и в наши дни и будет жить, вероятно, столько, сколько будет существовать человечество. Основа ее долголетия проста: она соответствует реальной действительности, и ею удобно пользоваться при решении самых разнообразных задач.
Однако в 19 столетии в умах математиков наметился некоторый поворот. Некоторые из них решили, что геометрия может существовать как некоторое самостоятельное произведение типа головоломок или детективных историй. Потому что главное в геометрии вовсе не соответствие реальной действительности, а внутренняя логика и внутренняя непротиворечивость. То, что геометрия, как и вся математика, это логическая мельница, которая перемелет то, что положено в ее основу, тогда никто не задумывался. Не задумываются над этим и сейчас. И на этом фоне в 19 столетии в Казани возник профессор Казанского университета Николай Иванович Лобачевский.
Н.И. Лобачевскому не понравился пятый постулат Евклида о том, что через одну точку, лежащую на плоскости, на которой расположена прямая линия, можно провести только одну прямую, параллельную данной. Он предложил идею о том, что через эту точку можно провести, по крайней мере, две не совпадающих друг с другом прямых, параллельных данной. Есть правда подозрение, что Лобачевскому, строгому логику, хотелось доказать от противного, что такого быть не может, для чего он и затеял построение целой цепи доказательств. Однако, пройдя всю цепь, он нигде не нашел такого звена, за которое можно было бы зацепиться. Так и появилась неевклидова геометрия, в которой внутренне все логично и последовательно, даже такое положение, что сумма углов треугольника меньше, чем 180°.
Геометрия Лобачевского сначала не была принята современниками, и даже были памфлеты по этому поводу. Но несколько лет спустя, стараниями немецкого математика К. Гаусса, который сам в молодости грешил тем же, Лобачевский был избран членом-корреспондентом Гёттингенского ученого общества.
Раз Европа приняла, значит, что-то тут есть. Лобачевский стал знаменит, и даже был назван «Коперником геометрии», а его геометрия так и была названа – Неевклидова геометрия Лобачевского.
Автор вовсе не хочет бросить тень на всю деятельность Лобачевского, у него немало заслуг, и именно при нем Казанский университет стал расцветать. Однако хотелось бы знать, в чем дело, почему геометрия Лобачевского не вытеснила устаревшую геометрию Евклида? Может быть, в ней, не евклидовой, все-таки не все в порядке, несмотря на всемирное признание? Может быть, она не совсем соответствует нашей реальности или даже совсем не соответствует?
Есть всякие оправдания. Говорят, что геометрия Лобачевского это геометрия внутри круга на плоскости или внутри шара в пространстве. Но где он, этот шар в пространстве? Какую форму может иметь бесконечное пространство вообще?
Утверждают, что проверка суммы углов, которые меньше 180°, возможна лишь для очень больших треугольников. Если взять, к примеру, крайние точки орбиты Земли, а третьей точкой – звезду Сириус, то вот там и будет яркое доказательство справедливости неевклидовой геометрии. Очень может быть. Но до Сириуса далеко, и если это даже так, то что нам, землянам с этого толку? Не кажется ли, что все эти игры напоминают ума досужих рассуждений и сердца горестных замет и ничего более? Зачем все это?
Существуют еще и другие геометрии, например, геометрия Римана. Про нее говорят, что это геометрия на шаре, и тут нет никаких возражений, кроме, разве что, того же вопроса: о каком конкретно шаре идет речь? Никто не возражает против исходных аксиом римановой геометрии, о том, что через две точки проходит только одна прямая, что две плоскости пересекаются по одной прямой и что прямые, лежащие в одной плоскости, пересекаются в одной точке. Но что нового, кроме другой системы рассуждений, это вносит в физику реального пространства?
В римановой геометрии, зато, появилось понятие «кривизны пространства». Кривизны относительно чего, относительно того же пространства? Появилось понятие «пространств Римана». Очень интересно. Сколько же всего таких «пространств», если все мы живем в общем обыкновенном евклидовом пространстве, зачем они?
Существует еще «пространство Минковского», которое Минковский, немецкий математик, изобрел в 1907–1908 гг., и которое явилось отправной точкой для создания Эйнштейном Общей теории относительности. Главное в геометрии Минковского – связь пространства со временем через скорость света. Тут трудно сказать, кто кого опередил, Эйнштейн Минковского, поскольку начало этих идей все же лежит в статье Эйнштейна «К электродинамике движущихся тел», написанной в 1905 г., или Минковский Эйнштейна. Но Общую теорию относительности, в которой в полной мере использованы все эти идеи по кривизне пространства, Эйнштейн создал все же позже. И у него пространство тоже искривляется и тоже относительно чего?
А далее эти идеи подхватил ныне здравствующий академик Логунов, у которого пространство не только искривляется, но и скручивается. Есть еще теория Г.И. Шипова, у которого пространство тоже скручивается. И сейчас существует множество деятелей, продолжателей этой замечательной идеи. Вместо того, чтобы заниматься изучением физических процессов, они их сводят ко всякого рода искажениям пространства и времени, начисто отбрасывая тем самым физический смысл этих самых процессов.
Уважаемые Коперники геометрии! Чем вы занимаетесь, за что вам платят зарплату? За то, что вы рассказываете друг другу свои измышления, не имеющие никакого отношения к реальной физике? А потом вы подаете все это как высшее достижение человеческого разума тем, кто никогда подобными вопросами не занимался, и ждете восторженных восклицаний, сопровождающихся, разумеется, соответствующими субсидиями!
Нет у пространства никакой кривизны! Нет, и никогда не было! Структуры и процессы могут быть кривыми и косыми, а не пространство. Время есть отражение всех процессов во всей Вселенной, и если какие-то процессы замедляются, то это замедляются процессы, и на то есть, следовательно, физические причины. А вовсе не время, которое ни замедляться, ни ускоряться не может принципиально. Пространство и время это инвариантные категории, отражающие свойства всей материи Вселенной в целом. На них нельзя повлиять ничем, так же как нельзя повлиять на всю Вселенную в целом. Опомнитесь, уважаемые ученые, если у вас есть совесть! Ведь дело скоро дойдет и до публичного мероприятия, именуемого фейсом об тейбл, чем тогда будете оправдываться?

12. Скользящий интеграл общественного прогресса
Барон Мюнхаузен был веселым выдумщиком, а вовсе не вралем, как считали его современники. Просто ему было скучно среди чопорных немецких бюргеров, вот он и выдумывал всякие истории, которые воспринимались слишком серьезно. Один из его рассказов был о лошади, которая никак не могла напиться.
Дело было во время войны с французами. Лошадь барона захотела пить, и он поехал на ней к реке, чтобы ее напоить. Но лошадь все никак не могла напиться, и только через некоторое время барон, оглянувшись, заметил, что у лошади заднюю часть оторвало неприятельским ядром, чего барон как-то не заметил, и есть только передняя ее половина. И поэтому все, что лошадь выпивала, тут же выливалось у нее сзади. Лошадь никак не наполнялась, отсюда и неутолимая жажда.

Оставим критические замечания по поводу Мюнхаузена и его лошади, и сведем всю историю к любимой школьной задаче – к бассейну, у которого имеются две трубы. Через одну трубу в бассейн вода поступает, а через другую тут же выливается. Куда – не важно. Выливается, и все. Что остается в бассейне?
Ответ здесь не может быть найден сразу, потому что все зависит от того, что это за бассейн, большой или маленький, сколько вливается через одну трубу, и сколько выливается через другую, на каком уровне находятся трубы и какое дно у бассейна. И вообще, что вливается, вода или что-то другое, более вязкое, которое вливается и выливается с большим трудом. Но принципиально этот процесс описывается интегралом со скользящими пределами или, что то же самое, скользящим интегралом.
Скользящим интегралом автор заинтересовался в молодости в связи с работами по емкостным датчикам с переменной площадью. Эти датчики сродни конденсаторам переменной емкости. Там с поворотом ротора меняется площадь перекрытия пластин и соответственно меняется емкость. Но, в отличие от конденсаторов, у емкостных датчиков ротор представляет собой круглый цилиндр, высота которого есть некая функция от угла поворота ротора, а статорная пластина тоже является частью цилиндра, но другого, охватывающего ротор. Высота статора постоянна и больше чем максимальная высота ротора. Поэтому, когда ротор поворачивается, то площадь перекрытия пластин меняется. Это и требовалось от датчика, потому что, измерив емкость, пропорциональную площади перекрытия пластин, можно было судить о величине угла поворота ротора. Функция же ротора подбиралась в зависимости от условий задачи.
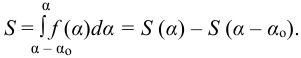
Площадь перекрытия пластин в этом случае определяется скользящим интегралом:

Здесь αо – угловая ширина пластины статора.
Таким образом, функция f(a), образующая площадь (сюда входит и текущая высота h пластины ротора и радиус цилиндра R), при изменении угла поворота ротора α с одной стороны втекала в пластину статора, а с другой стороны из нее вытекала. Если функция fa) = const, т. е. имеет постоянную величину, то весь интеграл будет равен hRαо, т. е. величине постоянной, сколько втекло, столько и вытекло. Накопленная площадь меняться не будет.
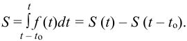
Нечто аналогичное происходит и во временных процессах. Разница в математическом выражении лишь в том, что угол поворота a заменяется временем t. Тогда то же выражение приобретает вид:

А теперь, приобретя математическую основу, посмотрим с этих позиций на так называемый прогресс общества.
Все радетели за общественный прогресс полагают, что у этого прогресса есть только первый член S(t), и, следовательно, общество только и делает, что приобретает новое полезное. На самом деле у всякого процесса есть еще и второй член – S(t-tо), который показывает, что общество не только приобретает, но и теряет нечто, не менее полезное. Правда, если первое очевидно, поскольку происходит в текущий момент, то второе менее очевидно, поскольку накопленное хранится где-то, непонятно в чем, в каких-то технологиях, обычаях, правилах, и их утрата не сказывается быстро. Но однажды, когда вместо прогресса обнаруживается полный регресс, люди хватаются за голову: как же так, все это было, а куда-то подевалось! И как восстановить?!
Обратимся к примерам.
Развитие науки в области физики привело к установлению постулативного метода и утрате главной цели естествознания – выяснению внутреннего механизма явлений, их сущности. А ведь эта цель сопутствовала естествознанию на протяжении всех веков до ХХ столетия. А теперь за эту цель надо бороться. А сколько дров за весь ХХ век наломано!
Прогресс в технике обернулся экологическими проблемами. Прогресс в телевидении и в вычислительных машинах обернулся потерей способности людей соображать. Ну-ка, кто из вас, читатели, сможет за 1 минуту устно решить вот такой пример, который раньше решали в шестых классах гимназий (устно!):

Прогресс в экономике обернулся ее разорением.
А прогресс в достижении «независимости» стран СНГ друг от друга обернулся их отбрасыванием на много лет назад по всем направлениям.
И даже в авиации прогрессивное, как многим казалось, разделение единого Аэрофлота на 300 самостоятельных авиакомпаний обернулось устареванием парка, отсутствием обслуживания, катастрофами и другими подобными следствиями. А теперь, как это в свое время излагалось в авиационной поэме «Сенька-штопор».
…Подналадились полеты – поломались самолеты.
Починили их с трудом – замело аэродром.
Укатали – нет бензина, есть бензин – компрессор встал.
Починили – нет резины на колеса. Вот скандал!
Вот вам и прогресс!
Уважаемые радетели прогресса! Прежде чем вводить прогрессивные, по вашему, увы, некомпетентному мнению любые мероприятия в практику, не могли бы вы, облеченные полномочиями и властью, подумать о возможных последствиях ваших «прогрессивных» действий? Или вы настолько безответственны, глупы и корыстны, что этот вопрос вам даже в голову не приходит? Тогда почему вы у власти? Ведь в конечном итоге страдать будут не только другие люди, но и вы тоже. Вы хотя бы об этом подумали!
Никто не против реального прогресса, то есть положения, при котором общественные выгоды превышают общественные издержки. Но всякий, предлагающий и, тем более, внедряющий прогрессивные с его точки зрения мероприятия, обязан думать об их последствиях близких и отдаленных. Хотя бы для того, чтобы однажды не пришлось отвечать прокурору на вопрос: «Кто вам позволил это сделать?!»
Часть 4. Записки партийного активиста
Посвящается действующим коммунистам.

1. Как я стал партийным активистом
Как-то так получилось, что я всю жизнь кроме основных дел занимался разнообразной общественной работой. Общественные поручения сваливались на меня по двум причинам. Во-первых, я не пытался от них отвертеться, когда приходил кто-нибудь из общественников – комсомольских или партийных вожаков и, глядя в глаза, тянул:
– Воло-о-дя!… Ну ведь ну-у-жно!…
Как тут было отказаться?
А во-вторых, когда заваливалось какое-нибудь дело, мне казалось, что уж я-то с ним справлюсь. И, в общем, справлялся. Правда, справлялся я не так, как это хотелось тому, кто мне это дело, вздохнув, перепоручал, а по-своему, за что и получал нагоняй. И поэтому замечаний, нагоняев и выговоров у меня всегда было предостаточно.
Когда я еще учился в спецшколе ВВС, то был еще и редактором батальонной газеты, которая целый год выходила три раза в неделю. Вся редакция состояла из меня одного, но пахал на газету весь батальон. А шефом над газетой и надо мной был замполит майор Иван Степанович Калинин, старый партийный зубр.
Иван Степанович был мужиком суровым, но ко мне, отличнику и редактору, питал некоторую привязанность. Поэтому раз в месяц он вызывал меня и за что-нибудь драл. Он был большим мастером находить, за что можно выдрать курсанта. И выходил я от него посвежевший и безо всякого самомнения, которое перед этим успевал накопить. Так что критика всегда оказывалась полезной.
Уже позже, вспоминая Ивана Степановича, я думал, что если бы нашу Коммунистическую партию тоже кто-нибудь регулярно драл, то мы бы, может быть, и не докатились до нынешнего позорища.

Откровенно говоря, никаких крупных общественных постов мне никогда не доверяли. Иногда я по чьей-нибудь ошибке залетал в какое-нибудь бюро – комсомольское или партийное. Но очень быстро выяснялось, что именно здесь я являюсь помехой в отлаженном механизме, поэтому ошибку старались больше не повторять. И уже в Летно-Исследовательском институте, в котором я как-то организовал кружок по философии естествознания, Вера Михайловна М., наша агитпропша, сказала горкомовской комиссии, проверявшей состояние политучебы:
– Что там Ацюковский будет говорить, я не знаю, но скучно не будет!
Скучно не было, но от руководства кружком меня все же отстранили.
Мое отношение к партийной работе изменилось кардинально после того, как Генеральным секретарем КПСС стал М.С. Горбачев. И я, и мои товарищи поняли, куда он нас ведет.
Еще до разгона КПСС, проанализировав его линию, мне удалось сначала на партгруппе лаборатории, потом в отделении, потом в институте, а затем и в Горкоме добиться принятия решения о том, что Горбачев проводит предательскую линию относительно КПСС и всей страны. И это решение было принято в нашем Жуковском горкоме, хотя Горбачев был к тому времени не только Генсеком, но и Президентом. Надо сказать, что не мы одни оказались такими прозорливцами, но и многие другие коммунисты. Делу это, правда, уже не помогло. Партия к этому времени уже была не та, что при Ленине и Сталине. И когда выступил ГКЧП – в августе 1991 года и некоторые мои товарищи рвались на помощь армии, которая вышла на улицы Москвы без боезапаса, без связи с командованием и без каких бы то ни было указаний, что ей надо делать, я им сказал:








