Текст книги "Приключения инженера
Роман"
Автор книги: Владимир Ацюковский
Жанры:
Биографии и мемуары
,сообщить о нарушении
Текущая страница: 16 (всего у книги 29 страниц)
Вероятности тех или иных событий удобно изображать в виде гистограмм или плотностей распределения вероятностей. Это вот что.

Предположим, у вас есть 100 одинаковых стержней длиной по одному метру. Они сделаны не очень точно, это и не нужно, потому что допустимая погрешность составляет ±1 см. Все стержни немного отличаются друг от друга. Выберем из общей массы те, длина которых лежит в пределах от 1000 мм до 1001 мм, поделим это число выбранных стержней на общее число стержней и получим процент этих стержней. Когда мы переберем все стержни с заданным интервалом по 1 мм и расположим все эти проценты на общем графике, в котором по горизонтали будет отложена длина, а по вертикали все эти проценты, мы и получим гистограмму. Сумма всех ординат в гистограмме всегда равна 100 %. В плотность вероятности гистограмма превращается, если все ее ординаты разделить на указанный выше интервал, в данном случае на 1 мм. Тогда по вертикали будут откладываться не проценты, а величины, обратные той, которая указана в оси абсцисс, в данном случае, 1/м, или м-1. В принципе, это все одно и то же, пользуются тем, что удобнее.
А чтобы пользоваться всеми этими приемами было еще удобнее, разработано несколько типовых плотностей распределения вероятностей. И самым ходовым распределением оказалось распределение, изобретенное где-то в первой половине 19 века великим немецким математиком Карлом Гауссом.
Гаусс рассудил так. Если имеется много одинаковых величин с отклонениями туда-сюда, то всегда можно найти их систематическую составляющую. Это будет средняя арифметическая величина. Теперь найдем от нее отклонения. Они будут разными, и их можно представить как сумму бесконечного числа неких одинаковых величин, складывающихся хаотически. Удобнее всего их представить в виде одинаковых стрелок-векторов, которые вращаются на плоскости как их душе угодно, но суммируются только их проекции на какое-то одно направление. В результате в большинстве случаев суммарное отклонение будет небольшим, в некоторых побольше, и только очень редко очень большим. А уж если все они выстроятся в один ряд, а общее число их бесконечно велико, то мы и получим бесконечное отклонение.
Вот, исходя из таких предположений, Гаусс и вывел свое гауссовское распределение случайных величин, которое получило название «нормального».
Как некая абстрактная модель, это нормальное распределение случайных величин у меня никаких возражений не вызывает. Хотя сам термин «нормальное» не понятен. Если это от слова «норма», то спрашивается, что это за норма, и почему решено, что именно это норма. Норма чего? Если от слова «нормально», то, что же это, все остальные распределения, а их много, не нормальные, что ли? Непонятно. Но главное, что гауссовская модель предполагает бесчисленное множество участвующих звеньев, к тому же одинаковых, но суммирующихся хаотически, т. е. случайно. И она тем самым подразумевает наличие «хвостов», т. е. возможность существования очень больших, хотя и очень редких отклонений, даже многократно превышающих номинал. А ничего такого в жизни на самом деле нет.
Все эти математические размышления вовсе не так безобидны, как кажется на первый взгляд. Дело в том, что все эти вероятности в авиационном приборостроении стали широко применяться для задания допустимых погрешностей на показания приборов. Военные заказчики и их представители в НИИ, КБ и на заводах, принимающие по совместительству и некоторую гражданскую продукцию, определяют допустимую погрешность через 2σ или 3σ. А этим значком σ обозначается средняя квадратичная ошибка. Эта ошибка определяется как корень квадратный из суммы квадратов всех частных ошибок, деленной на число этих ошибок, т. е.

Тонкость здесь заключается в том, что значения 2σ и 3σ означают соответственно 95 % и 99,8 % случаев, что справедливо только для нормального, т. е. гауссовского распределения. Во всех остальных случаях они превышают предельную ошибку и, следовательно, не имеют смысла. Американцы, учтя это, задают не мифические 2σ или 3σ, а либо ошибку для 95 % случаев, либо предельно допустимую ошибку. Им не приходится волноваться по поводу того, что то, что они требуют, больше предельной величины.
Автор многократно пытался объяснить заказчику и своему начальству недопустимость принятого у нас положения. Но ни те, ни другие так и не вняли. Потому что никто проверять все равно не будет, зачем же набиваться на дополнительные хлопоты?
Но тут подвернулся случай, когда, хотя бы в принципе, все можно поставить на свои места.
Оказалось, что к близкому сердцу автора барометрическому высотомеру все эти среднеквадратические ошибки никак не могут быть пристроены. Слишком хлопотно их принимать на заводе. Дело в том, что высотомер проверяется во многих точках диапазона и, если все его ошибки возводить в квадраты, складывать, потом делить и извлекать корень, то инженеры и рабочие должны переквалифицироваться в пересчетчики, и высотомеры делать будет некому. А потому решили, что нечего валять дурака, надо просто смотреть, чтобы ни в одной точке показания не выходили за допустимые рамки. Так решили, так это и сохраняется до сих пор. То есть была принята предельная ошибка. Но в некоторых задачах все же надо знать и среднеквадратичную ошибку. Вычислять ее каждый раз неудобно, поэтому надо бы выяснить, какой закон распределения имеют погрешности высотомера, чтобы по предельной ошибке сразу выяснить и среднеквадратичную.
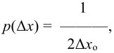
Тогда автор, то есть я, рассудил просто. Чем занимается техник-регулировщик высотомеров? Он стремится так регулировать прибор, чтобы погрешности были во всех точках как можно меньше. Но это не всегда удается. Однако предельную ошибку превышать никак нельзя. Из таких соображений вылупилось семейство распределений, которое было названо логарифмическим, каковым оно и является:

Здесь n – показатель степени распределения, который может быть различным у распределений конкретных физических величин.
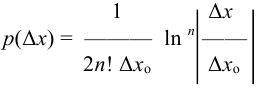
Очень быстро выяснилось, что при n = 0 распределение превращается в равномерное, характерное для цифровых систем:

а при n = 1 оно приобретает вид:

и при этом отношение предельной и среднеквадратичной ошибок в точности равно 3, как это и было принято всеми, но без обоснования. И его можно оставить в покое, поскольку теперь обоснование есть. Но самое главное, у логарифмического распределения нет никаких «хвостов». А это значит, что некоторые методы расчетов должны быть пересмотрены.
Одним из таких расчетов является расчет вертикальных эшелонов для самолетов магистральных авиалиний. Сейчас эти эшелоны располагаются через 600 метров. Это означает, что самолеты, летающие на пересекающихся курсах, обязаны находиться на разных высотах с разностью высот в 600 метров. Однако сегодня уже понятно, что в некоторых районах мира, прежде всего, в Европе самолетов нужно пропускать больше, воздушного пространства не хватает. Поэтому остро стоит вопрос об эшелонировании через 300 метров.
Переход на эшелоны через 300 метров задача тяжелая. Но самое первое, на что надо обратить внимание, это на обоснование допустимости (или недопустимости) такого перехода, исходя из безопасности движения. Насколько автору было в свое время известно, в основу расчета были положены именно «хвосты» гауссовского нормального распределения, те самые «хвосты», которые не имеют к этой задаче никакого отношения.
Из этих «хвостов» следовало, что для сокращения эшелонов до 300 метров при допуске измерения высоты в 50 метров у каждого самолета нужно уменьшать погрешность измерения высоты с 50 до 20 метров. И тогда все вероятности отсутствия столкновений будут решены. А вот если таких «хвостов» нет, то весь расчет никуда не годится, как оно и есть на самом деле. Потому что здесь типичный случай поисков часов не на вокзале, где они потеряны, а под фонарем, где светлее.
Для определения безопасности эшелонирования надо не ужесточать требования к ошибкам высотомеров, что тоже, конечно, полезно, а налаживать систему контроля за полетами, а это совсем другая задача и другие меры. Столкновение самолетов при переходе из швейцарского воздушного пространства в германское, происшедшее летом 2002 г., показало, что может случиться при отсутствии правильного управления и контроля. Если бы на этих самолетах повысили точность измерения высоты, произошло бы все то же самое, потому что причина катастрофы заключается в халатности служб воздушного движения, а вовсе не в погрешностях высотомеров. И если бы в этой задаче использовалось логарифмическое, т. е. предельное, а не гауссовское «нормальное» распределение, то все было бы ясно с самого начала, и, может быть, больше внимания было бы уделено тем обстоятельствам, которые реально влияют на безопасность полетов, а не математическим абстракциям.
6. Стратегии внедрения
Всякая теория и всякое изобретение нуждаются во внедрении. Что толку от самых гениальных предложений, если они будут потом валяться без употребления? Вот поэтому каждый, кто придумал что-либо выдающееся, способное осчастливить человечество, остаток своей жизни тратит на то, чтобы это выдающееся изобретение было востребовано обществом, т. е. внедрено в практику.
Автору этих строк, правда, неоднократно попадались изобретатели, которые, с одной стороны, хотели внедрить свои изобретения в жизнь, а с другой стороны, страшно боялись, что их гениальные идеи при этом обязательно украдут, и их интеллектуальная собственность будет приносить доход кому-то другому. Поэтому они не раскрывали своих секретов, а требовали, чтобы им поверили на слово. Но на слово в таких делах никто никому не верит. И оставались все эти изобретения не внедренными никуда. Как говорится, ни себе, ни людям.
Но существует и другая категория творческих работников. Они болеют за все человечество в целом и хотят, чтобы люди, составляющие это человечество, жили лучше, чем они сейчас живут, причем независимо от расы, национальности, государственной принадлежности, вероисповедания и даже политических убеждений. Они готовы все свои задумки сдать кому угодно и на самых льготных условиях, т. е. совершенно бесплатно и даже с небольшой доплатой. Но вот ведь беда: не берут! А не берут потому, что внедрение изобретений требует хлопот сегодня, а доходы, прибыль или экономию они принесут завтра или через много лет. Или вообще не принесут. Потому что, например, какой толк в смысле прибыли принесут экологические усовершенствования? Только чистые расходы. А что то же человечество сгинет в результате такой экономии, это не так уж и важно, на наш век хватит. Вот и маются такие изобретатели безо всякого употребления.
Надо сказать, что в том, что полезные идеи не внедряются, виноваты не только спонсоры, государство или консерватизм общества, но и сами изобретатели. Изобретатели надеются на быстрое внедрение того, что они напридумывали, и польза от чего им кажется очевидной. На самом деле, изобретателей много, большинство из них мало полезно, а возможности общества ограничены. И поэтому святое дело внедрения даже реально полезных мероприятий в жизнь требует больших усилий, времени, физических и интеллектуальных затрат прежде всего самих авторов изобретений. Но и этого часто оказывается недостаточно, потому что авторы не понимают самой стратегии внедрения, а без этого понимания все их усилия оказываются тщетными. Однако такие стратегии существуют, и на некоторых из них стоит остановиться.
Однажды к некоему индийскому правителю пришел мудрец.
– О, великий! – сказал он. – У меня вся душа изболелась, глядя на то, как ты бездарно проводишь время в окружении своих глупых жен и советников с такими же умственными способностями. Я придумал игру, которую пока назвал чатуранга, и в которой ты можешь проявить свои полководческие таланты как на настоящей войне. Это очень удобно, так как тебе даже не придется для этого вставать со своего ложа. Твоей целью в этой игре будет истребление войск противника, который, правда, будет стараться сделать то же самое с твоими войсками. Но ты, мудрый, конечно победишь, если не проиграешь. Пожалуй, в будущем, мы изменим цель сражения, которой станет объявление поражения самому королю, т. е. мат. Тогда мы переименуем игру, и она станет называться шахматами. Как ты, величайший, смотришь на все это?
Падишах заинтересовался, не посадить ли наглеца на кол или на что-нибудь еще. Но, подумав, что это от него не уйдет, милостиво согласился попробовать. А когда он понял, что может воевать в свое удовольствие, ничем практически не рискуя, то решил не сажать мудреца на кол, а наоборот, наградить его всем, что он только пожелает. Исключая, конечно, царство.
– Проси в награду, чего хочешь! – сказал он.
– Мне много не надо, – скромно сказал мудрец, – ибо мои потребности ограничены. Дай мне, о щедрый, за первую клеточку всего одно зернышко риса, за вторую клеточку – два зернышка, за третью – четыре и так далее, за каждую последующую клетку удваивая число зернышек. Я уверен, что ты сдержишь свое слово, так как не только щедрость, но и честность твоя широко известна всему народу. А я пока пойду и расскажу всем о твоем обещании.
– Ха-ха! – рассмеялся правитель. – И всего-то? Я, конечно, сдержу свое слово, можешь всем об этом сообщить. Не уходи далеко, тебе скоро вынесут твой мешок риса.
– Да нет, – ответил мудрец. – Пусть твои математики посчитают получше, зачем мне лишнее!

Прошла неделя, но математики что-то замешкались с результатом. И только через месяц они доложили правителю, что он не в состоянии выполнить свое обещание. Ибо, как сказали они, общее число зернышек составит N = 264 – 1 = 1020 зернышек.
И если одно зернышко весит всего 0,1 грамма, то общий вес всех зернышек составит 1013 тонн, а столько риса не было собрано за все время существования планеты. А потому, как они решили, посовещавшись, дешевле посадить мудреца на кол.
Было ли это сделано, история умалчивает. Вероятнее всего что было, поскольку страна не разорилась. А шахматы далее внедрялись уже без участия их изобретателя. Интеллектуальная собственность не воробей: вылетит – не поймаешь!
Однако эта история полезна и тем, что она диктует стратегию внедрения для всех крупных и действительно общественно полезных новаций.
Предположим вы, долго мучаясь над теорией спасения человечества, после многих лет страданий сочинили ее. Теория оказалась очень толковой, но никто об этом еще не знает. И вы пошли поделиться своими изысканиями к своему лучшему другу.
– Пошел вон! – отреагировал друг на ваше появление естественным образом. – Опять с чем-нибудь явился? Мне некогда!
Вы пошли туда, куда указал друг, но через неделю снова пришли.
– Я тебе чего велел? – поинтересовался друг. – Иди, куда сказано!
Вы снова пошли в том же направлении, но еще через неделю снова пришли. Друг вздохнул.
– Экий ты настырный, – произнес он. – Ну, давай, что там у тебя.
Вы показали ему свою теорию и ответили на вопросы. Друг восхитился:
– И как это я раньше тебя не понимал, – произнес он. – Это так просто! Но я еще подумаю.
Через две недели друг позвонил вам и сказал:
– Этого так оставлять нельзя. Это надо рассказать всем!
И вас стало двое. А еще через месяц стало четверо. А еще через месяц – восьмеро. А еще…
Через год вас стало 4096, через два года – более 16 миллионов, а через три года стало бы 65 миллиардов, но на земном шаре не оказалось нужного количества людей.

Полученная закономерность есть геометрическая прогрессия. Но в вопросах внедрения геометрическая прогрессия сработает, если:
1) Идея стоящая и общественно значимая;
2) Идея достаточно проста для понимания;
3) Все, вновь познавшие идею, включаются в ее активную пропаганду. Это значит, что их уже допекло, и жареный петух уже клюнул.
А если нет хотя бы одного из этих условий, то коэффициент геометрической прогрессии будет неизбежно снижаться, и она может затухнуть, не развившись. А тогда и обижаться не на кого.
7. Отброшенные выбросы
Однажды симпатичный молодой человек представил мне на рецензию статью с результатами испытаний РСБН – радиосредств ближней навигации. В ней было, в частности, сказано, что погрешность в определении дальности этими средствами составила 16 метров. Я выразил сомнение, потому что допустимая погрешность по техническому заданию на РСБН составляла 400 метров, и попросил показать первичные данные.
– А что это за точка, – спросил я, – отклонение, как будто, составляет две тысячи метров?
– Ну и что! – сказал молодой человек. – Это же выпадающая точка! Я ее отбросил, как выброс.
– А вот у вас еще четыре точки с отклонениями по пятьсот метров.
– А я и их отбросил, это же все выбросы!
– А эти точки с отклонениями по 200–250 метров?
– И это тоже выбросы, я и их отбросил.
Так он стриг результаты до тех пор, пока не осталось 16 метров. Он мог бы стричь показания и дальше, но ему показалось, что пора остановиться. И тогда он принес статью ко мне. А от меня он понес статью обратно на полную переработку.
У юного дарования сложилось мнение, так сказать, идея о том, что РСБН – это точное средство радионавигации. И под это мнение он стал сортировать опытные данные: то, что ему нравилось, что укладывалось в его гипотезу, он принимал, а то, что не нравилось, он отбрасывал. Таким образом, юноша наглядно продемонстрировал идеалистический подход: реальные данные он подгонял под свою идею. А должен был бы делать наоборот – производить свои выводы на основании объективно полученных данных. Вот тогда это был бы материалистический подход, объективный, что собственно и требуется от всякого рода испытаний. А иначе всегда можно получить то, что задумал. Этим и занимается множество людей, пытаясь всучить потребителю негодную продукцию, о которой написано, что она хороша, хотя на самом деле никуда не годится.
Надо сказать, что не только инженеры младшего возраста грешат таким подходом. Он распространен гораздо шире, чем хотелось бы. Чем, например, объяснить, что фундаментальные работы Д.К. Миллера, американского исследователя эфирного ветра, были отброшены как «непризнанные»? Тем, что Эйнштейн, выдвинув соответствующие постулаты, решил, что эфира нет в природе, а поэтому эфирный ветер должен отсутствовать. А когда Миллер в 1925 году, проведя огромную работу, получил блестящие результаты, свидетельствующие о наличии эфирного ветра, господствующая школа релятивистов их ошельмовала, совершив тем самым научный подлог. И все естествознание пошло вкривь и вкось, пока, наконец, не застряло в кризисе.
8. Дробные размерности
В каждом физическом явлении или эксперименте участвует несколько величин, связанных между собой определенной функциональной зависимостью. Собственно, целью любого эксперимента и является нахождение этой самой функции. И в этой функциональной зависимости все физические величины имеют определенную размерность, и все размерности должны соответствовать друг другу: размерность величины, стоящей слева от знака равенства, должна в точности соответствовать совокупной размерности всех величин, стоящих справа от того же знака равенства. И, если такого соответствия нет, то, значит, вся задача решена неверно. Должна соответствовать.
Но, кроме всего прочего, размерность каждой величины позволяет уяснить физический смысл этой величин. Вот, например, ускорение а имеет размерность [a] = LT -2.
Если измерение производится в Международной системе единиц СИ, то длина L измеряется в метрах, а время Т в секундах. Поэтому скорость, имеющая размерность LT-1, изменяется в единицу времени на столько-то метров в секунду. Просто и понятно. И со всеми механическими величинами уже давно нет никаких недоразумений, разве что в системе единиц (а не в размерностях) еще есть некоторое международное несоответствие. Американцы со своими футами и милями никак не желают вписываться в общепринятую Международными конгрессами систему единиц СИ. В этой системе единиц длину полагается измерять в метрах, хоть по вертикали, хоть по горизонтали (километры – это тоже метры, только умноженные на тысячу). Но американцам закон не писан, даже, несмотря на то, что их американский президент в свое время выпустил специальный указ, обязывающий их перейти на систему СИ. Из-за американцев и Европе приходится все это терпеть. Вот и маются летчики, перелетая туда и обратно из одних стран, в которых высота измеряется в метрах, в другие, в которых та же высота измеряется в футах. Но это, можно надеяться, со временем будет исправлено.
В XIX веке, когда дело дошло до измерения электрических и магнитных величин, возникли большие трудности, потому что электрические и магнитные величины это вам не механика, в которой все видно и можно пощупать. Электрические напряжения вообще щупать не рекомендуется, у автора было несколько случаев, когда он их щупал и еле остался жив. А напряженности магнитных полей напрямую даже пощупать не удается, только косвенно. Поэтому здесь не все так очевидно, как в механике.
В электромагнитной системе единиц СГСМ, которая была принята Международным Конгрессом электриков в 1881 г., за исходную базу было предложено назначить магнитную проницаемость вакуума μо, посчитав ее безразмерной единицей, а диэлектрическую проницаемость пересчитывать, опираясь на скорость света с. Получилось, что μ = 1; εо = 1/с2
В электродинамической системе единиц СГСЕ, которая была принята тем же Конгрессом в том же году, за исходную базу была взята диэлектрическая проницаемость вакуума εо, которую теперь здесь посчитали безразмерной единицей. Опираясь все на ту же скорость света, теперь было получено: εо = 1; μо = 1/с2.
Но поскольку разные электрики пользовались одни одной, а другие другой системой единиц, то между ними все время возникали недоразумения, склоки и скандалы. И поэтому, чтобы никому обидно не было, в 20-х годах ХХ столетия была принята симметричная (Гауссовская) система единиц, в которой и магнитная, и диэлектрическая проницаемости были приняты за единицу: μо = εо = 1.
Теперь все стало хорошо, и физический смысл был утрачен полностью, так как безразмерные единицы физического смысла не имеют.
Поскольку механическая система единиц СГС являлась частью систем СГСМ и СГСЭ, то все электрические и магнитные величины приобрели дробную размерность. Например, количество электричества q (электрический заряд) в системах СГСЭ и Гауссовской стали измеряться как [q] = см3/2 . r1/2. сек-1, а тот же заряд в системе СГСМ стал измеряться как [q] = см1/2 . r1/2.
Магнитный поток Ф в системах СГСМ и Гауссовской стал измеряться как [Ф] = см3/2 . r1/2. сек-1, а в системе СГСЭ как [Ф] = см1/2 . r1/2.
Таким образом, оказалось, что с точки зрения размерностей в Гауссовской системе единиц электрический заряд и магнитный поток это одно и то же, а показатели всех размерностей дробные. То же самое касается абсолютно всех электрических и магнитных единиц.
А, кроме того, во всех трех системах единиц, рожденных теоретическим гением измерителей-электриков, появилась возможность извлекать квадратные корни из грамма, из сантиметра и из кубического сантиметра.

Очень бы хотелось посмотреть на того человека, который умеет это делать!
Автор не был удовлетворен подобным решением вопроса, потому что ему, то есть мне, казалось, что размерности величин должны бы отражать физический смысл этих величин. Но чтобы этот смысл появился, нужно иметь возможность представить себе физическую модель явления, чего отродясь в электродинамике не было. Потому что физическая модель, это не векторы, как многие думают, а механическая модель, в которой в пространстве перемещаются материальные массы и потоки. Это значит, что так или иначе все электричество и магнетизм нужно сводить к механике. И хотя науке известно, что это принципиально невозможно, другого пути нет.
В свое время, в 1822 году в своей знаменитой работе «Аналитическая теория тепла» французский исследователь Ж. Фурье доложил всему миру, что теплота принадлежит к особому виду энергии, которую к механике нельзя свести принципиально. А спустя 50 лет австрийский физик Л. Больцман доказал молекулярно-кинетическое происхождение теплоты, сведя ее тем самым к механике.
Автор настоящих «Приключений» в другой книге – «Общая эфиродинамика» показал эфиродинамическую, т. е. механическую природу электрического заряда. Выяснилось, что диэлектрическая проницаемость, измеряемая в системе СИ в единицах Фарада/метр, есть плотность эфира в околоземном пространстве, измеряемая в кг/м3, т. е. [εо] = Ф/м = [ро] = кг/м3, откуда сразу же определилась плотность эфира в околоземном пространстве как 8,85.10-12 кг/м3. Заряд q приобрел физический смысл как циркуляция кольцевой скорости плотности эфира по поверхности частицы, т. е. q = ραSvκ, и размерность заряда определилась как [q] = кг. с-1
А поскольку в системе единиц СИ четвертой основной единицей является 1 единица силы тока Ампер, размерность которой, как известно, равна размерности заряда, деленной на секунду, появилась возможность и ее представить в системе МКС как [I] = [q]/c = кг. с-2.
Это дало возможность пересчитать размерности всех электрических и магнитных величин, все они приобрели механические размерности и простой физический смысл. И все электричество свелось к механике эфира, или к механике обычного, т. е. вязкого сжимаемого газа.
Сегодня эфиродинамика выяснила физическую сущность основных фундаментальных взаимодействий – сильного и слабого ядерных, электромагнитного и гравитационного и свела их все к механике эфира. Проблема, которую физики считают важнейшей, – объединение всех фундаментальных взаимодействий в единую систему, – решена простыми методами с помощью механических представлений. При этом сущности всех физических процессов также оказались несложными, все электромагнитные величины приобрели простой механический смысл, так же как и их размерности. Сегодняшняя официальная наука пока что не признает ничего этого, хотя и от критики воздерживается. Она делает вид, что ничего не происходит, и все может оставаться по-прежнему.
В 1906 г. Л. Больцман, не сумел доказать своим коллегам по Венскому университету молекулярно-кинетическую теорию теплоты. Затравленный и больной он покончил с собой. А уже в 1916 году его теория была признана во всем мире.
У автора более крепкие нервы, и он не предполагает следовать примеру Больцмана, коллеги-физики могут на это не надеяться. Эфиродинамику им придется признать, никуда они, голубчики, не денутся. Подождем!
9. Пропавшая проницаемость
Когда автор сообразил, что все электрические и магнитные величины могут иметь размерность в системе МКС, то есть метр, килограмм, секунда, то он, автор, сделал пересчет размерностей всех электрических и магнитных величин в эту систему. Это оказалось гораздо удобнее, чем даже действующая система МКСА, в которой к упомянутым механическим величинам добавлен еще Ампер. Потому как в действующей системе МКСА все электрические величины названы по-разному – Вольт, Тесла, Генри и т. п. И когда они все собираются в одной формуле, то уследить за тем, чтобы все было в порядке, трудновато: надо все время лезть во вспомогательную таблицу, в которой все эти величины изображены в системе МКСА. Так все и делают, но это есть дополнительный труд. А дополнительно трудиться никому не хочется.
В системе же МКС ничего этого не надо, тут все на виду, автор давно уже этим пользуется, и система МКС в электротехнике его еще ни разу не подводила. Чего он, автор, желает и всем прочим электрикам, физикам, радиотехникам, а также школьникам и студентам всех специальностей.
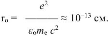
Однажды автору понадобилось узнать радиус электрона. Понятно, что для этого надо забраться в справочники, где все это давно сосчитано и написано. С высокой точностью. Не тут-то было!
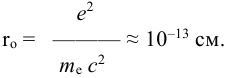
Самым универсальным справочником, как известно, является энциклопедия, в которую вошли все главные достижения науки и техники. И в томе 30-м БСЭ 3 издания за 1978 г. на странице 73 в статье «Электрон» сказано, что электрон – это первая частица, открытая в физике, что он имеет заряд, равный е = 4,803242(14).10-10 ед. СГСЭ = -1,6021892(46).10-19 кулон, т. е. в системе МКСА. Он же имеет и массу, равную me = 0,91090534(47).10-27 г. А далее сказано, что «Понятие „размер Э.“ не удается сформулировать непротиворечиво, хотя величину

принято называть классическим радиусом электрона». Здесь с = 3.1010 см/с = 3.108 м/с есть скорость света.
Ну что ж, это все-таки лучше, чем ничего! Автору не понравился знак «я», что означает «примерно», и он, то есть я, подсчитал «классический» радиус электрона в системе СГСЭ. Он получился равным rо = 2,8. 10-13 см.
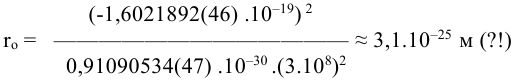
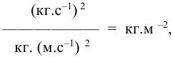
Но автор всю жизнь работает в системе СИ, поэтому решил рассчитать тот же радиус по той же формуле в этой системе единиц. Однако, подставив в эту формулу все указанные данные, автор получил совсем другую величину:

Полученное значение и близко не лежало рядом с тем, что было получено в системе единиц СГСЭ. Тогда автор, свято уверовавший в изобретенную им самим систему МКС для электромагнитных величин, решил проверить размерности всех упомянутых в формуле величин в этой системе. Заряд в системе МКС имеет размерность кг. с-1, следовательно, все размерности в формуле составят:

что сильно отличается от размерности длины, исчисляемой в метрах, которая должна была бы быть.
Автор в панике даже чуть было не решил, что придуманная им система МКС для электромагнетизма никуда не годится, но, овладев собой, подумал, что и полученная в системе МКСА величина для радиуса электрона тоже, вроде бы, не подходит. И, опираясь на размерность, автор понял, что в формуле не хватает плотности эфира, то есть диэлектрической проницаемости вакуума. Подставив в формулу диэлектрическую проницаемость, автор получил несколько иное выражение для «классического радиуса» электрона, а именно:

В системе СГСЭ от такой подстановки не изменилось ничего, поскольку в этой замечательной системе единиц диэлектрическая проницаемость вакуума во есть безразмерная единица, не имеющая вообще никакого физического смысла. Но в системе единиц СИ эта величин равна, как никак, εо = 8,85.10-12 Фарада/метр, и она же, диэлектрическая проницаемость вакуума есть плотность эфира ро в околоземном пространстве, т. е. εо = ро = 8,85.10 -12 кг/м3, а тогда все размерности сходятся, и уточненная формула верна. Следовательно, в любой системе единиц «классический радиус» электрона надо считать по формуле

Но теперь расчет по уточненной формуле дал для «классического радиуса» величину, равную не ro = 2,8. 10-13 см = 2,8. 10-15 м, а 3,5.10-14 м., отличающуюся от расчетной в системе СГСЭ в 12,5 раз, а это ровно 4π, которые как раз отличают все формулы, написанные в системе СИ от формул, написанных в другой системе единиц.








