Текст книги "Вселенная погибнет от холода. Больцман. Термодинамика и энтропия."
Автор книги: Эдуародо Перез
сообщить о нарушении
Текущая страница: 8 (всего у книги 9 страниц)
–Почему энтропия была такой низкой в прошлом?
–Почему существует такая большая временная асимметрия?
В предыдущей главе уже была показана попытка Больцмана разрешить этот парадокс, которая представляется интересной как из-за глубины изложенных в ней идей, так и ввиду того факта, что она проваливается на последнем этапе. Физик предполагал, что Вселенная состоит из огромной протяженности однородной материи, то есть находится в состоянии высочайшей энтропии, в которой время от времени возникают небольшие статистические флуктуации. При достаточном времени или достаточной протяженности обнаружится область, в которой появится вселенная, подобная той, что мы наблюдаем, в которой будут такие же существа, как мы. Любое живое существо должно обязательно находиться в организованной области, то есть с низкой энтропией: итак, тот факт, что мы живем в упорядоченной области, можно приписать тому, что мы не могли бы существовать больше нигде.
В своем предложении Больцман впервые использовал нечто, что получило название "антропный принцип", который стал популярным инструментом научного объяснения, но также и источником споров. Антропный принцип утверждает, что область Вселенной, которую мы наблюдаем,– это не любая область, а та, что, по определению, должна обладать необходимыми для жизни условиями. Это может использоваться для объяснения многих наблюдаемых характеристик, которые, похоже, сложно разъяснить другим способом.
Например, силы между элементарными частицами, похоже, имеют интенсивность, точно необходимую для образования атомов. Если бы электромагнетизм был немного сильнее, они не были бы стабильными, так что элементы не образовались бы, и не было бы в космосе людей, чтобы восхититься всем этим. Один из способов объяснения такого совпадения – предположить, что законы были запрограммированы на то, чтобы возникла жизнь; другой способ – предположить, что существует неизвестная причина, которая будет открыта, когда мы получим больше информации. Третья возможность – что существуют многочисленные вселенные, каждая со своими законами физики. Антропный принцип говорит, что мы должны находиться в той вселенной, условия которой совместимы с жизнью, по той простой причине, что в остальных вселенных нет разумных существ. Так, кажущаяся загадка объясняется как следствие из самого существования тех существ, которые задают вопрос. Антропный принцип был использован (и, как некоторые считают, дошло до злоупотребления) для объяснения большого числа явлений, которые иначе были бы таинственными. Он также лежит в корне многих попыток разъяснить происхождение оси времени.
Возвращаясь к статье Больцмана, можно увидеть, что тот не знал о проблеме двойных стандартов Прайса, поскольку его рассуждение применимо как к прошлому, так и к будущему. В однородной вселенной будут флуктуации меньшей энтропии, которые затем снова получат энтропию, пока не дойдут до максимума. Эти флуктуации необязательно должны развиваться от прошлого к будущему, они могут возникать в любом временном направлении. Больцман утверждал, что любой наблюдатель, находящийся внутри них, будет идентифицировать свое прошлое как область, где энтропия меньше, и свое будущее – где она больше. Итак, мы имеем локальное определение времени, в котором его восприятие зависит от области пространства, где мы находимся, и от направления изменения энтропии. Но посередине будет большая постоянная протяженность энтропии, отмеченная статистическими флуктуациями, и этот сценарий симметричен относительно прошлого и настоящего.

Карикатура на Больцмана, нарисованная его другом, физиком Карлом Пшибрамом.

Портрет Людвига Больцмана, 1902 год.

Могила Больцмана на кладбище в Вене. Формула, выбитая на ней, – это его Н-теорема, связывающая энтропию системы с числом микросостояний.
ПАРАДОКС БОЛЬЦМАНОВСКИХ МОЗГОВ
Попытка Больцмана, несмотря на то что он двигался в правильном направлении, провалилась. В этом случае теория вероятностей, обеспечившая ему такой успех, обернулась против него. В сценарии Больцмана была Вселенная в состоянии тепловой смерти (то есть однородной неизменной температуры), в которой появлялись флуктуации, и их можно было идентифицировать с наблюдаемой Вселенной. Вероятность того, что они появятся, была крайне низкой, но это уже не было проблемой, рано или поздно они должны были появиться. Поскольку люди могли существовать только в одной из них, было неудивительно, что человечество находится в области вселенной, вероятность которой намного меньше, чем у остальной вселенной. Так, космос можно было рассматривать как большую мертвую протяженность с небольшими (сравнительно) областями, в которых возник организованный порядок.
Проблема этого представления стала очевидной, когда начали сравнивать возможности. Например, можно было задаться вопросом, какова вероятность того, что вместо той Вселенной, которую мы наблюдаем, возник только Млечный Путь. Несмотря на то что вероятность очень мала, она на несколько порядков выше, чем вероятность возникновения всей вселенной. Чтобы увидеть, почему это так, достаточно привести аналогию с письмом.
Представим себе, что проводится эксперимент с обезьянами, которых сажают перед пишущей машинкой. Приматы станут нажимать на клавиши произвольно, производя километры нечитабельных цепочек символов. Однако время от времени будет возникать какое-нибудь узнаваемое слово. Если предположить, что обезьяны нажимают на клавиши абсолютно произвольно и что в их распоряжении только 26 букв латинского алфавита, мы можем вычислить вероятность того, что они напишут определенное слово. Например, чтобы получилось слово "aqua", нужно, чтобы первая буква была "а", у которой одна из 26 возможностей возникнуть; то же самое для следующей буквы, так что у сочетания "aq" будет возможность возникнуть, равная 26 в квадрате. Каждая новая буква разделит вероятность того, что будет получаться это слово, на 26.
Если дать обезьянам достаточно времени, в итоге рано или поздно они напишут "Британскую энциклопедию". Однако вероятность того, что это произойдет, равна 26, возведенным в степень количества символов, которые в ней содержатся. То есть она чрезвычайно далека. Вероятность получить слово "aqua", в сравнении с этим, хотя и очень мала, но невообразимо больше. Поскольку в "Британской энциклопедии" миллионы символов, пропорция между вероятностью того, что возникнет слово "aqua" или указанное произведение, будет числом с миллионами цифр.
Пропорция между вероятностью того, что возникнет галактика или целая вселенная, подобна той, что образуется между словом "aqua" и "Британской энциклопедией": первое невообразимо больше вероятно, чем второе. Итак, если бы живое существо должно было бы находиться в статистической флуктуации внутри вселенной в состоянии тепловой смерти, наиболее вероятно, что это произошло бы в отдельной галактике, а не во вселенной, подобной наблюдаемой.
Однако можно пойти дальше. Вероятность того, что возникнет только Солнечная система, а не Млечный Путь, намного больше, чем вероятность появления всей Вселенной, на самом деле несравнимо больше. Следуя этой линии рассуждений, можно дойти до минимальной совместимой с жизнью сущности, которую стали называть "больцмановским мозгом", хотя это выражение было введено спустя долгое время после его смерти, оно было предложено английским астрофизиком Артуром Эддингтоном (1882-1944) в 1930-е годы.
"Больцмановский мозг" – это разумное существо, возникающее в результате статистической флуктуации вселенной в состоянии тепловой смерти. Поскольку у целого тела намного больше атомов, чем только у мозга, второе намного более вероятно, чем первое, и они оба намного более вероятны, чем вселенная, подобная наблюдаемой. Итак, согласно модели, предложенной Больцманом, наиболее вероятно, что человек – это только мозг, возникнувший из-за статистической флуктуации во вселенной в состоянии тепловой смерти, и что все его воспоминания и ощущения ложны. Обратное почти невозможно.
Конечно же, никто в научном сообществе не верит, что это тот случай, так что тот факт, что некая теория предполагает большое число больцмановских мозгов, рассматривается как аргумент против нее. Проблема в том, что некоторые космологические модели, предложенные на сегодняшний день, дают в результате переизбыток больцмановских мозгов, из-за чего от них придется отказаться, если не будет найдено какое-либо решение в этом плане.
Кроме возражения, представленного выше, было еще одно, из-за которого вселенная Больцмана также не оказалась бы удачной, и это также связано с теорией вероятностей. Оно состоит в том, чтобы задаться вопросом, сколько различных "прошлых" породило бы Вселенную, которую мы наблюдаем сегодня. Когда мы видим разбитый стакан, мы предполагаем, что он упал на пол и что сначала он был целым. Точно так же, когда мы видим свет звезд и галактик, нормально думать, что он действительно исходит от светил, которые находятся далеко от Земли. Человеческий мозг создан таким образом, что предполагает, что воспоминания были вызваны прошлым, которое соотносится с ними, а не что они возникли спонтанно. Однако это необязательно должно быть так. Вера в то, что наиболее очевидное объяснение действующей конфигурации Вселенной в том, что она эволюционировала из состояния меньшей энтропии (более упорядоченного), входит в состав нашего набора инстинктов, но у нее нет причин соотноситься с реальностью.
Итак, если спросить себя, сколько возможных конфигураций порождает наблюдаемую Вселенную, оказывается, что ответ – это огромное число. Среди них большое число – беспорядочные конфигурации с высокой энтропией: так получается, поскольку наиболее энтропические конфигурации также самые вероятные. Прямой способ получить настоящее – это взять будущее состояние и инвертировать все скорости молекул и таким образом вернуться в актуальное состояние. Это совпадает с предложением Лошмидта, которое Больцман сразу понял.
Из всех этих рассуждений можно сделать вывод, что если только не постулировать временную асимметрию с самого начала, теория Больцмана предполагает, что наша Вселенная эволюционировала на основе состояния высокой энтропии. То есть несмотря на то что мы видим свет далеких звезд и галактик, это всего лишь огромное совпадение: статистические флуктуации околоземного пространства создали сценарий, согласно которому кажется, что Вселенная началась с Большого взрыва (Big Bang) и в течение 15000 миллионов лет эволюционировала, чтобы дойти до современного состояния, но на самом деле наблюдается лишь продукт аномалии, происходящей от вселенной с чрезвычайно высокой энтропией, которая по случайности породила наблюдаемый сценарий. Точно так же воспоминания каждого индивида не являются реальными, это всего лишь продукт случайности, спонтанной организации мозга, которая вызывает веру в прошлое, которого никогда не существовало.
От этих выводов может закружиться голова. Человеческий мозг настолько настроен на то, чтобы рассуждать с позиции асимметрии времени, что почти автоматически возвращается к этому образу мысли. Парадоксы, к которым ведет видение "начиная с никакого момента", как его называет Прайс, сложны для понимания и еще более сложны для углубления в них из-за этой перекошенной конфигурации. Поэтому нет ничего удивительного в том, что ученые один за другим (включая Больцмана в некоторых случаях) попали под временной уклон, не осознавая этих асимметрических предположений, которые они благоразумно считали очевидными.
ТЕОРИЯ СТРУН
Теория струн возникла при попытке примирить теорию квантовой механики и общую теорию относительности; квантовая механика и специальная теория относительности уже были объединены в стандартной модели физики частиц. В теории струн частицы больше не считаются точками, а описываются как небольшие струны (отсюда название) очень маленькой длины. Они могут быть замкнутыми, как петля, или открытыми. Использование струн вместо точек, как в стандартной квантовой теории, решает различные математические проблемы, которые приводят к бесконечностям при попытке осуществить вычисление. Теория струн считается жизнеспособным кандидатом для объединения квантовой механики и общей теории относительности, поскольку предсказывает существование частицы, гравитона, обладающей характеристиками, необходимыми для появления гравитационного взаимодействия. В стандартной модели две частицы взаимодействуют в одной точке, как на изображении слева. В теории струн точечные частицы заменяются петлями струн, как показано на изображении справа. Тот факт, что взаимодействие уже происходит не в вершине, а на протяженной площади, решает многие математические проблемы.

Идеальный пример – это состояние молекулярного хаоса, которым воспользовались как Больцман, так и Максвелл в нескольких статьях о кинетической теории: предположение о том, что скорости двух молекул не связаны до столкновения, однако связаны после него, предполагает временной предрассудок, из которого следует асимметрия второго начала. Если бы ученые предположили обратную гипотезу (скорости связаны в прошлом, но не связаны в будущем), они бы получили инвертированное второе начало термодинамики, где энтропия возрастала бы к прошлому, а не к будущему.

Диаграмма эволюции Вселенной, начиная с Большого взрыва. Временная асимметрия видна очень четко. Это изображение, предложенное НАСА, иллюстрирует знания о Вселенной, полученные благодаря спутнику WMAP, который измерил остаточное излучение Большого взрыва с беспрецедентной точностью.
ПРОБЛЕМА ВРЕМЕННОЙ АСИММЕТРИИ СЕГОДНЯ
Сегодня проблема временной асимметрии остается, хотя было осуществлено несколько немного умозрительных попыток решить ее. Теория струн, главный кандидат сегодня на замещение устаревшей стандартной модели, кажется, усугубляет ситуацию, а не улучшает ее.
Спустя некоторое время после смерти Больцмана была предложена теория Большого взрыва, которая утверждала, что Вселенная возникла на этапе большой плотности и температуры и быстро расширилась от того состояния до современных размеров. Идея Больцмана о Вселенной в состоянии тепловой смерти была оставлена в пользу современной космологии, в которой космос рассматривается как динамическая сущность, прошедшая через многие фазы и направляющаяся, согласно последним экспериментальным результатам, также к тепловой смерти из-за ускоренного расширения.
ВСЕЛЕННАЯ ГОЛДА
Вселенная Голда – это космологическая модель, предложенная Томасом Голдом, в которой энтропия начинает уменьшаться, как только Вселенная достигает максимального размера. Преимущество этой модели заключалось в симметричности с точки зрения времени, таким образом исключается необходимость объяснять низкую энтропию в прошлом. Однако не было ясно, какой механизм способен заставить материю вернуться в состояние более низкой энтропии, и поэтому вселенная Голда не входит в состав космологии, принятой сегодня. Как показано на рисунке, для вселенной Голда характерна идеальная временная симметрия.

Однако теория Большого взрыва не решала проблему энтропии. С учетом симметрии лежащих в основе законов, все еще существовала необходимость объяснить, почему на одном временном конце Вселенная находилась в состоянии чрезвычайно низкой вероятности (Большой взрыв), в то время как на другом она была в состоянии очень высокой вероятности. В качестве ответа на эту проблему Томас Голд (1920-2004) предложил модель, в которой Вселенная расширяется от изначального Большого взрыва, пока не доходит до максимального размера, после которого начинает сжиматься, пока не доходит до Большого сжатия (Big Crunch), где вся материя сокращается до одной точки.
РОДЖЕР ПЕНРОУЗ
Работа сэра Роджера Пенроуза, так же как и работа Стивена Хокинга (р. 1942), помогла заложить основы общей теории относительности Эйнштейна, особенно в том, что касается знания о черных дырах и идеи, что Вселенная должна была начаться с состояния, в котором плотность материи становится бесконечной и законы физики перестают действовать. Пенроуз также разработал теорию твисторов, альтернативный способ представления релятивистского пространства-времени, который облегчает многие вычисления. Он также изобрел невозможные геометрические формы, такие как треугольник Пенроуза, который вдохновил художника Маурица Корнелиса Эшера (1898-1972) на создание знаменитых литографий. Кроме физики и математики, Пенроуз совершил значительное вторжение в область философии разума. Пользуясь теоремами математической логики, он утверждает, что человеческий разум невозможно смоделировать с помощью компьютера.

Роджер Пенроуз (р. 1931) предложил другое решение, в котором Вселенная в своем конечном состоянии производит новый Большой взрыв. В его предложении к концу жизни космоса материя настолько разжижена, что ее распределение можно считать однородным, то есть одинаковым во всех положениях и направлениях пространства. Из-за однородности становится возможным изменение масштаба, что означает переоценку размеров, так что огромное расстояние точно соответствует крошечному. Итак, Вселенная в состоянии тепловой смерти максимального размера и энтропии точно соответствует Большому взрыву, где как размер, так и энтропия минимальны. Таким образом, космос будет проходить через множество циклов, в которых расширение порождает следующее расширение, без начала и конца.
Модель Пенроуза повлекла за собой множество неподтвержденных прогнозов, таких как излучение микроволн – электромагнитного излучения, которое пропитывает всю Вселенную. На данный момент его предложение представляется удачной попыткой, но кажется, что оно не вытеснит доминирующую теорию.

РИС. 1

РИС. 2
Другое предположение, призванное исключить проблему временной асимметрии, было высказано Шоном Кэрроллом (р. 1966) в 2004 году вместе с тогда еще аспиранткой Дженнифер Чен. Кэрролл предположил, что Большой взрыв – это всего лишь результат статистической флуктуации Вселенной в состоянии тепловой смерти. Однако вместо того чтобы рассматривать спонтанное создание всей Вселенной, как в модели Больцмана, он сосредоточился на появлении некой особенности, способной породить космос. Из-за того что размер этой особенности намного меньше размера больцмановского мозга, она намного более вероятна, чем последний, так что проблемы больцмановских мозгов не возникало. Загадка о том, почему энтропия так низка в прошлом, также была решена напрямую: несмотря на то что Вселенная, из которой она возникает, имеет очень высокую энтропию, энтропия области, в которой случится следующий Большой взрыв, чрезвычайно мала из-за ее размера. Итак, общая энтропия продолжит увеличиваться (с учетом «материнской» вселенной и «дочерней» вселенной), но, несмотря на это, обитателям «дочерней» вселенной покажется, что начальное состояние будет иметь очень низкую энтропию (см. рисунок 1).
Модель Кэрролла считается сильно умозрительной даже им самим, и нужно будет дождаться новых достижений в космологии и физике частиц, чтобы узнать, верно ли его предположение. Однако все эти попытки показывают, что ящик Пандоры, открытый Больцманом, все еще распахнут и ждет, пока кто-нибудь даст окончательное объяснение временной асимметрии. На данный момент физики продолжают пользоваться понятийным аппаратом Больцмана в его варианте, и он продолжает давать адекватные ответы на все вызовы, которые ему бросают.
БИТВА МЕЖДУ МАХОМ И БОЛЬЦМАНОМ В XX ВЕКЕ
Хотя атомизм казался умирающей теорией в конце XIX века, в то время как энергетика побеждала в академических кругах, начало XX века все изменило. Значительная часть ответственности за этот поворот лежит на Альберте Эйнштейне, который в одной из своих знаменитых статей 1905 года объяснил «броуновское движение» на основе атомной гипотезы.
Броуновское движение было открыто биологом Робертом Броуном (1773-1858), когда тот наблюдал в микроскоп за движением пыльцевых зерен в жидкости. Броун понял, что они следуют произвольной траектории, и нет никакого признака того, что могло бы ими двигать. На рисунке 2 показано броуновское движение частицы, смоделированное с помощью компьютера.
Для Эйнштейна объяснение этого явления было очевидно. Если предположить, что жидкость состоит из молекул, движущихся на большой скорости в произвольных направлениях, казалось ясным, что пыльцевое зерно будет подвергаться непредсказуемым воздействиям, которые будут бросать его в разных направлениях. Тогда тип траектории должен зависеть от частоты воздействий и средней скорости и массы частиц жидкости. Прогнозы Эйнштейна были подтверждены в 1913 году физиком-экспериментатором Жаном-Батистом Перреном (1870-1942), за это открытие он получил Нобелевскую премию по физике в 1926 году.
Последующее развитие квантовой механики нанесло последний удар по энергетике и окончательно закрепило атомные идеи Больцмана. В течение XX века было выяснено, что атомы не только бесспорно существуют, но они также состоят из других, еще более элементарных частиц. Эти новые открытия противоречили первоначальному атомизму Демокрита, но не атомизму Больцмана и Максвелла, ученые ограничивались утверждением, что материя состоит из атомов, но ничего не говорили об их неделимости.
Квантовая механика также послужила тому, чтобы придать более прочные основания вероятностной теории Больцмана. Как было показано в предыдущей главе, он опередил свое время, пользуясь дискретизацией энергии при расчете числа возможных микроскопических состояний для некоего макроскопического состояния. Эта уловка помогла ему посчитать состояния, не сражаясь с бесконечными величинами, а еще избежать эргодической гипотезы, согласно которой частица должна пройти через достаточное время через все возможные значения энергии.
Квантовая механика прояснила, что уловка Больцмана не была уловкой, что речь идет о важном свойстве природы. Энергия атомов дискретна и не может принимать любое значение; то же самое справедливо для электромагнитного излучения черного тела, как выяснил Планк, или для колебаний твердого тела. Эту дискретизацию назвали "квантизацией", словом, которое происходит от названия самой важной теории XX века, наряду с теорией относительности Эйнштейна.
ЭКСПЕРИМЕНТ С ДВОЙНОЙ ЩЕЛЬЮ
Связь между квантовой механикой и вероятностью идеально показана в эксперименте с двойной щелью. Он состоит из источника частиц, обычно электронов, первого экрана с двумя маленькими щелями и второго экрана, о который ударяются электроны после прохода через одну из щелей, как показано на рисунке. Замечено, что если испускать электроны по одному, невозможно предсказать, где произойдет удар; но при накоплении тысяч ударов наблюдаемая модель – такая же, как и та, что выдают две волны, взаимодействующие между собой. Однако вначале электроны не могут взаимодействовать друг с другом, поскольку они испускаются по одному. Но тогда откуда получается модель интерференции? Квантовая механика отвечает, что интерферирует волновая функция электрона, в которой содержится вся информация о вероятности частицы находиться в том или ином состоянии. Только при наблюдении, когда электрон ударяется об экран, эта волновая функция «рушится» и дает определенное значение. То есть в квантовой механике взаимодействия между частицами описаны их волновой функцией, которая является всего лишь выражением вероятности того, что они будут находиться в том или ином состоянии; точнее, это ее квадратный корень. Итак, вероятность оказывается основополагающим понятием теории, поскольку именно она вступает во взаимодействие и интерферирует.

Другим аспектом, оправдывающим методы Больцмана, было использование вероятностей. Это рассматривалось Больцманом как способ работы с огромными множествами частиц, которые по-другому никак нельзя представить математически. С приходом квантовой механики вероятность стала играть главную роль, перейдя из царства больших скоплений атомов в царство отдельных частиц. Было обнаружено, что поведение материи в небольшом масштабе непредсказуемо, точнее говоря, его можно предсказать только в статистическом виде. Кроме того, эта произвольность не связана с отсутствием информации или недостатком используемого оборудования, это характерное свойство материи.
СПЕЦИАЛЬНАЯ ТЕОРИЯ ОТНОСИТЕЛЬНОСТИ
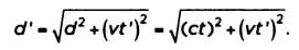
Специальную теорию относительности Эйнштейна можно свести к двум постулатам: во-первых, два наблюдателя, которые движутся друг относительно друга на постоянной и равномерной скорости, будут наблюдать идентичные законы физики, а во-вторых, скорость света постоянна и равна с для любого наблюдателя. Требование, чтобы скорость света была постоянной, обязывает полностью переформулировать традиционное видение пространства и времени. Простой способ убедиться в этом – провести мысленный эксперимент: устанавливаются два параллельных зеркала, и фотон (частица света) «путешествует» между ними обоими, как показано на рисунке 1. Для неподвижно стоящего наблюдателя, если оба зеркала разделены расстоянием d, время t, за которое фотон преодолеет расстояние между ними, равно t = d/c, то есть расстоянию, разделенному на скорость света. Однако теперь предположим, что наблюдатель перемещается относительно зеркал на некоторой скорости v в левую сторону. Тогда он будет наблюдать, что зеркала движутся вправо относительно него, как показано на рисунке 2. Расстояние, пройденное зеркалом за время t', замеренное наблюдателем в движении, равно vt'. Но теперь фотон не проходит расстояние d, он проходит по гипотенузе треугольника со сторонами vt' и d. Это расстояние будет равно:

Воспользовавшись отношением d' = ct' и возведя обе стороны в квадрат, получаем:
(ct)2 = (ct)2 + (vt')2.
Если переписать уравнение и выразить t', в итоге получается формула временного растяжения:

Итак, мы видим, что время, обозреваемое вторым наблюдателем, больше, чем время, обозреваемое первым, несмотря на то что речь идет в точности об одном и том же событии. Подобные рассуждения приводят к выводу, что длины также не остаются постоянными, а изменяются в зависимости от скорости наблюдателя. Эффекты относительности начинают значительно ощущаться при скоростях, близких к скорости света, в то время как их практически не существует в повседневной обстановке.

РИС. 1

РИС . 2
Статистическая физика Больцмана была идеально определена в свете новой теории: для множества молекул в сосуде существует конечное число сочетаний для их значений энергии и положений, заданное ограничениями, которые накладывает квантовая механика. Результат столкновений действительно произволен, так что использование вероятности полностью оправдано. На самом деле введение квантовой механики также решало другие проблемы, такие как эргодическая гипотеза: поскольку существует конечное число возможных значений энергии, становится ясно, что рано или поздно молекула пройдет через них все.
Кажется, что этот сценарий означает полную победу Больцмана над Махом, но во второй половине XX века вскрылись некие неожиданности, из-за которых чаша весов, по крайней мере слегка, наклонилась в сторону последнего.
Изменение пришло из-за попытки "примирить" квантовую механику и специальную теорию относительности Эйнштейна. В последней пространство и время рассматриваются как часть одного и того же корпуса, называемого "пространство-время", в котором происходят все события во Вселенной. Одним из самых вызывающих прогнозов теории Эйнштейна было то, что один и тот же факт мог проявляться по-разному с позиции двух наблюдателей, которые будут двигаться с разной скоростью. Например, человек, который поедет на поезде, измерит длину своего вагона и получит в результате сто метров, в то время как человек, который поедет со скоростью, близкой к скорости света, получит меньший результат. Это логическое противоречие оказалось верным и было подтверждено экспериментально во многих случаях; на самом деле работа спутников GPS во многом построена на нем.
Теория относительности Эйнштейна также знаменита формулой E = mc2, согласно которой масса и энергия соотносятся и могут трансформироваться одна в другую. Это перекликалось с идеями Маха и, казалось, противоречило концепции Больцмана. Тот факт, что два наблюдателя могут получить разные результаты измерения в зависимости от скорости, стал вызовом для недавно зародившейся квантовой механики. Это было связано тем, что сама энергия частицы также зависела от скорости, на которой наблюдатель двигается относительно нее. Из-за соответствия между массой и энергией одна и та же масса частицы, казалось, меняется, когда ее наблюдают с позиции различных скоростей; действительно, если переместиться с достаточно большой скоростью относительно нее, то этой энергии будет достаточно, для того чтобы создать одну или более частиц той же массы. То есть там, где один наблюдатель видит только одну частицу, другой может увидеть тысячи, в зависимости от их относительных скоростей.
Это условие было очень сложно применить к квантовой механике, которая основывалась на так называемом уравнении Шрёдингера, предложенном им самим для описания поведения электронов и атомов, которое относилось только к одной частице. Решение пришло с введением понятия "поле". Поле – это некая абстрактная сущность, которая распространяется по пространству и которая сначала ассоциировалась с неким типом силы. Идея поля была разработана, чтобы преодолеть ньютоновское понятие действия на расстоянии, которое вызывало некоторое философское беспокойство у ученых с момента его появления. Вместо него было высказано предположение, что тело (например, Земля) создает вокруг себя нечто, называемое "гравитационным полем", невидимую сущность, которую можно было наблюдать только по тому действию, которое она производила на другие тела, погруженные в него. Любой объект внутри гравитационного поля Земли чувствует на себе силу притяжения к планете, которая зависит от его расстояния до ее центра.
Другое классическое поле (в том смысле, который имелся до развития квантовой механики) – это электромагнитное поле. Магнит создает магнитное поле вокруг себя, и его действие изменяет ориентацию всех магнитов в нем; точно так же электроны в атоме вращаются вокруг ядра, благодаря действию электрического поля, которое создают его протоны.
Квантовая механика взяла классическое понятие поля и приспособила его к новой реальности, где энергия дискретна, а поведение материи вероятностно. В этом новом свете частицы стали считаться маленькими возбуждениями поля, имеющими некоторые характеристики (такие как масса или заряд), определенными самой квантовой природой поля. Электромагнитное поле, например, порождает фотоны, частицы, которые каким-то образом передают электрическую силу и должны рассматриваться не как фундаментальные сущности, а как выражение лежащего в основе электромагнитного поля, которое проявляется в маленьких возбуждениях, ведущих себя как частицы.









![Обложка: Честь Воина [CИ]](/files/books/110/no-cover.jpg)