Текст книги "Во времена фараонов"
Автор книги: Леонард Котрелл
Жанр:
История
сообщить о нарушении
Текущая страница: 24 (всего у книги 27 страниц)
Для придания статуе окончательной формы использовались металлические инструменты. Но так как их изготовляли из меди, которую доводили термообработкой до твердости мягкой стали, расход металла был очень велик. Однако нам ничего не известно о материалах и методах, которые использовали египтяне для полировки.
Они применяли также бронзовые пилы для твердых скальных пород, таких, как гранит и базальт. Я видел срезы шириною в ярд. Это означает, что пилы были по крайней мере длиной шесть футов. В этом случае должен был использоваться какой-то абразив, но какой – мы не знаем.
Такие приемы использовались еще в эпоху Древнего царства и даже раньше.
Египтяне обрабатывали несколько пород камней. Прежде всего известняк, залежи которого протянулись от Каиpa до Эсне. Мелкозернистый известняк, твердый и похожий на мрамор, они добывали в Кау и Бени-Гассане. Затем песчаник, гранит нескольких сортов – розовый, серый и черный. Добывали также алебастр, главным образом в Хатнубе, вблизи Тель-эль-Амарны. Главный карьер для добычи базальта, который они часто использовали для мощения полов храмов во времена Древнего царства, находился в Файюме.
Главным источником гранита был Асуан в Верхнем Египте, где и сейчас можно видеть, каким образом древние египтяне откалывали огромные строительные блоки от скалы. Способ этот состоял в следующем: в скале пробивалась галерея, в которую согнувшись мог войти человек, затем твердым, тупым инструментам, наподобие кирки, рабочий прорубал узкие вертикальные траншеи, отделяя блок от скалы со всех сторон, кроме основания. В основании блока пробивали глубокие щели под клинья. В эти щели молотками загоняли металлические клинья и били по ним до тех пор, пока блок не откалывался от основания. Если щели под клинья располагались таким образом, что невозможно было нанести по клину сильный удар, то применялся другой метод. В щели плотно загоняли деревянные клинья, которые затем пропитывали водой. Древесина впитывала воду, расширялась и отделяла кахмень. Энгельбах проверил этот способ и обнаружил, что расширение дерева происходит за десять часов.
В Асуане можно видеть тысячи таких щелей для клиньев, некоторые довольно больших размеров. Египтяне более позднего поколения, чем строители пирамид, когда сносили памятпики своих предков, использовали те же самые способы откалывания гранитных блоков.
Однако задолго до того, как блоки будут вырублены в каменоломне и обработаны каменщикахми, другие люди должны были провести сложные математические расчеты, чтобы определить объем необходимого строительного материала для строительства пирамиды и с величайшей точностью спроектировать ее. Например, они измеряли угол наклона горизонтальной плоскости на единицу высоты, который назывался секед. Чтобы разрезать облицовочный камень под нужным углом, они отмеряли по вертикали один локоть, а затем выставляли по горизонтали секед. Затем каменщик прочерчивал линию, которая показывала, в каком направлении нужно резать камень. Интересно, что многие линии, проведенные египетскими каменщиками, сохранились на постройках до наших дней. Я видел в карьерах каменные блоки, грубо расписанные знаками, означающими бригаду, ответственную за блок.
Такие реликты приближают к пам рабочих Древнего Египта. Помню, как во время моего последнего посещения Египта, направляясь в Саккара, я увидел часть недавно обнаруженной Закарием Гонеймом пирамиды. Сооружение относится к 2700 г. до н. э. Оно было, вероятно, построено Секхемхетом, наследником царя Джосера, воздвигшего Ступенчатую пирамиду, которую признают самой древней каменной постройкой, в мире. Гонейм раскопал значительную часть засыпанной пограничной стены высотой 15 футов. Песок покрывал ее 5000 лет, поэтому прекрасно сохранилась поверхность известняка. На белой известняковой стене, блоки которой выглядят так, словно они были вырезаны вчера, видны тонкие красные линии – отметки горизонтальной плоскости. Древние египтяне окунали веревку в красную краску, растягивали ее и прикладывали к стене так, как это делают каменщики в наши дни.
Еще более необычно выглядят также выполненные красной краской незаконченные рисунки, которые рабочие малевали на стене в минуты отдыха. Вот рисунок, изображающий охоту на льва: человечки, похожие на кегли, преследуют животное с копьями в руках. Вот портрет ливийца в длинном, необычном одеянии и в высоком головном уборе. Такого человека они, вероятно, видели где-нибудь на краю пустыни. Я стою в свежевырытой траншее, смотрю на освещенные солнцем рисунки, на белую стену, и у меня невольно возникает чувство, что рабочие Секхемхета только что ушли на обед и могут вернуться в любой момент.
Несмотря на то что математические расчеты, которые использовались при проектировании отдельных построек, не дошли до нас, все-таки по математическому папирусу Ринд мы можем судить о тех задачах, которые себе ставили и решали древние египтяне. Р. У. Слоули в книге «Наследие Египта» приводит несколько примеров, в которых использует современную терминологию.
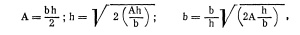
Задача.Треугольник данной площади имеет высоту, которая в 2,5 раза больше основания. Найти основание и высоту…
Комментарий.Вероятно, свойства равнобедренного, если не любого треугольника, которые описываются формулами, приведенными ниже, были известны египтянам. Однако не легко доказать это заключение по имеющимся в нашем распоряжении данным:

где A-площадь, Ь-основаиие и h-высота.
Другой пример, который приводит Слоули:
Задача.Найти площадь круга диаметром 9 локтей.
Комментарий.Решение (из задачи, приведенной в папирусе) предполагает использование следующего правила: отнять 1/9 от величины диаметра и результат возвести в квадрат. Полученное число будет равнозначно л (отношению длины окружности к ее диаметру), т. е. 3,1605… Площадь вычислялась разбивкой поверхности на квадраты для того, чтобы получить приближенное значение числа я, равное 3,1415.
Я приношу извинения читателям, которые, так же как и я, находят этот комментарий несколько запутанным, но он вызывает еще большее уважение к древним египтянам.
Знание математики было необходимо при решении задач, связанных со снабжением материалами, распределением работ и пищи для воинов и трудового люда. Давайте вернемся на время к нашему другу писцу Гори, о котором мы говорили в главе VII. Он вынужден был сделать выговор своему подчиненному Аменемопе, «армейскому писцу», за его невежество в военном деле. В другой части того же самого папируса он просит Аменемопе объяснить ему, как узнать количество материала, необходимое для строительства рампы.
Предположим, что ты умный писец и тебя поставили во главе войска! Нужно построить рампу 730 локтей длиной, 55 локтей шириной, со 120 перегородками, набитую соломой и укрепленную брусьями, 60 локтей высотой в наивысшей точке, 30 локтей в середине, с… 15 локтей и его… 5 локтей. Военачальник спрашивает, сколько нужно для этого кирпичей. Писцы собираются, но среди них нет одного знающего. Все они бросаются к тебе и говорят: «Мой друг, ты умный писец! Реши нам быстро задачу! Твое имя всем известно. Пусть найдется здесь хотя бы один, который превзойдет остальных тридцать! Не говори, что ты чего-то не знаешь. Ответь нам, сколько кирпичей нужно для этого». Смотри, размеры лежат перед тобой. Каждая перегородка 30 локтей и 7 локтей ширины…
Бедный Аменемопе! Когда он должен был рассчитать количество провианта, необходимое для его армии, то оказался в тупике.
Вспомогательные войска, которыми ты командуешь, насчитывают 1900 человек, (а также) 520 шардаыа, 1600 кехек, 100 машау-аша, 880 негров – всего 5000 человек, не считая военачальников. Тебе доставили в подарок хлеб, скот и вино. Людей много, а провизии для них мало. 300 пшеничных хлебов, 1800… хлебов, 120 коз различных пород, 30 мер вина. Воинов так много, а провизии недостаточно. Ты получаешь провизию и направляешь ее в лагерь. Армия снабжена. Провизию быстро делят, и каждый воин получает свою порцию. Бедуины смотрят на это тайком и говорят: «Софер йод» [жаргонное выражение. Ироническая фраза, вероятно, означает «О мудрый писец…»).
Наступил полдень. В лагере становится жарко. Они говорят: «Время выступать. Не гневайся, о командир вспомогательных войск. Мы должны еще долго маршировать. Почему нет хлеба? Наш ночлег еще далеко».
Аменемопе в отчаянии начинает бить воинов, но они потом отомстят ему, пожалуются на него правителю.
Ты приходишь, чтобы дать пищу! Но придет время, и кто-то останется без царского писца. То, что ты берешься бить нас, – нехорошо. Он услышит это и пошлет тебя на смерть…
Любой военачальник, которому поручили бы снабжение армии продовольствием, посочувствовал бы Аменемопе. Возможно, все это произошло не из-за плохого знания им арифметики. Скорее всего, другой полк получил «высвободившийся» рацион. После этого небольшого отступления давайте вернемся к строительству пирамид. Некоторые каменные блоки, из которых они построены, весят десятки тонн. Кладка выполнена настолько виртуозно, что, как пишет Питри,
…средняя толщина шва с восточной стороны облицовочных камней северной грани равна 0,02 дюйма. Поэтому среднее отклонение среза камня от прямой линии не превышает 0,01 дюйма на длину 75 дюймов… этого шва. Поверхность камней площадью 35 квадратных футов не только тщательно обработана, но и плотно прилегает друг к другу…
Как были установлены эти огромные блоки с такой точностью? Из механических приспособлений у древних египтян были только рычаг и каток. Они еще не знали блока, так что каменные глыбы нельзя было подтянуть наверх и осторожно поставить на место. Тот факт, что блоки не были найдены, еще не доказывает, что они не существовали вообще. Одпако к этому выводу нас подводят и другие факты. Например, на рисунках, изображающих древнеегипетские суда, на топе мачты блоки отсутствуют. Реи выталкивали наверх. На рисунках некоторых гробниц изображены матросы за этим занятием. Вместе с тем, если бы египтяне использовали блоки, то им были бы необходимы захваты или «анкерные болты», для того чтобы зацепить глыбу. Тогда на глыбах должны были остаться следы, но таких следов не обпарулчено.
Строительство велось, вероятно, следующим способом. Сначала выравнивали основание, для чего «вокруг площадки, которую нужно было выровнять, выкапывали ров и заливали его водой. Во многих точках измеряли высоту площадки относительно зеркала воды и ровняли площадку» (Р. Энгельбах). Тогда можно объяснить ту небольшую ошибку в выставке платформы, которая частично проходит под великой пирамидой. Платформа идеально ровная, но с северно-восточной стороны поднята на 6 дюймов относительно юго-восточной стороны. Вероятно, платформу выверяли при северо-восточном ветре, в результате чего появилась ошибка.
Камни втаскивали на деревянных салазках по пасыпи, ведущей к пирамиде. Первый ряд укладывали на естественное скальное основание. Когда выравнивали верхнюю часть Цервого ряда, на него клали следующий ряд. Для этого к верхней части его пристраивали наклонную плоскость. По наклонной плоскости втаскивали каменные глыбы и рычагами устанавливали их в нужное положение. Когда был уложен второй ряд камней, наклопную плоскость надстраивали до уровня следующего ряда. С каждым рядом наклонная плоскость становилась все длинней и длинней, так как угол наклона должен был оставаться неизменным. Энгельбах полагает, что тонкий слой известкового раствора, который заливался между камнями, способствовал получению почти идеально ровной кладки.
Такой же способ использовался при строительстве храмов с их колоннами и пилонами. Тщательное планирование, скудный набор механических приспособлений и хорошая организация многочисленной рабочей силы позволяли это делать.
Речной транспорт в значительной степени облегчал строительство. Египтяне редко перевозили тяжелые грузы на большие расстояния по суше, так как всю страну пересекает река. Лодки, как мы уже видели выше, играли очень важную роль в их жизни. Суда больших размеров строились даже в додинастическую эпоху (до 3200 г. до н. э.). В одной записи, относящейся к правлению Снофру (III династия), упоминается лодка длиной 100 локтей (172 фута), а во времена XVIII династии лодки могли перевозить груз до 650 тонн. Суда были самых различных типов: военные, грузовые для перевозки скота и даже частные «яхты»… Сохранилось много изображений строителей лодок, которые всегда пользовались большим спросом.
Однако вначале строители находились в трудном положении из-за отсутствия подходящей древесины, так как доски для обшивки лодок было невозможно изготовлять из таких местных деревьев, как смоковница. Поэтому египетские судостроители разработали специальную конструкцию, при которой использовались короткие доски. Геродот пишет об этом так: «…вырезают доски локтя в два длиною, складывают их вместе как кирпичи; затем эти ряды двухлоктевых бревен скрепляют проходящими насквозь гвоздями, деревянными, густо вбиваемыми. Сколотивши таким образом плот, кладут на него связывающие доски поперек. Ребер такое судно не имеет вовсе; пазы изнутри законопачиваются папирусом». [61]61
Перевод Ф. Г. Мищенко.
[Закрыть]
Распоры предохраняли борта лодки от разрушения, а прочные канаты, привязанные к каждому концу распора и проходящие через неподвижные опоры по бортам корпуса, создавали нужную жесткость в продольпом направлении. В таких лодках египтяне совершали дальние путешествия и перевозили большие грузы. Однако и здесь нужно быть осторожным и не дать древнеегипетским художникам ввести нас в заблуждение. Например, они изобразили пятисоттонный обелиск на палубебольшой лодки. В этом случае лодка была бы очень неустойчивой. Вероятно, такие большие грузы сплавляли на плотах.
Плотницкое дело, в котором египтяне были большие мастера, обязано своим развитием кораблестроению. Совершенное владение техникой обработки дерева уже было достигнуто во времена I династии. Мы можем судить об этом по дошедшим до нас резным и инкрустированным шкатулкам. К местным породам дерева можно отнести смоковницу, иву, тамариск, персеюи сиддер(по-арабски набк). До 3000 г. дон. э. начали импортировать кедр, кипарис, ель, тис и бук, а позднее эбеновое дерево. Почти все виды соединений, которые используют современные плотники, были уже известны 5000 лет назад. Детали гробов III династии соединены вполдерева, в ус и потайной ус. В то время (2800 г. до н. э.) египтяне изготовляли фанеру, состоящую из шести слоев дерева различных пород. Гвозди были обычно деревянные, но для закрепления фанеровки использовались крошечные золотые гвоздики. Соединение типа шип – паз было также хорошо известно в этот ранний период и широко использовалось для соединения узких досок, которые изготовлялись из отечественной древесины. Колесницы, легкие и прочные, с двойными спицами в колесе, представляют собой прекрасные образцы плотницкого искусства.
Практически у египтян не было только одного современного плотницкого инструмента – рубанка. Но они изготовляли свои изумительные изделия с помощью тесла и не нуждались в рубанке. В египетских гробницах сохранилось много образцов плотницкого инструмента: наугольники, уровни, стамески, деревянные молотки и пилы, которые очень мало отличаются от своих современных двойников.
Даже высокоученые древнеегипетские писцы питали к этим прекрасным ремесленникам величайшее уважение. [62]62
Здесь автор ошибается. См. предисловие.
[Закрыть]Один из писцов Среднего царства пишет о рабочих-металлургах:
Но видел я медника за работой его у отверстия печи его, причем пальцы его как у крокодила, а он более смраден, чем рыбья икра.
О резчике по дереву тот же самый писец пишет:
Несмотря на то что на протяжении длительного периода египетской цивилизации многочисленную рабочую силу, насчитывающую сотни тысяч человек, представляли ткачи, они остались невоспетыми. А. Эрман говорит:
…Они щедро расточали все свое мастерство, на какое только были способны, чтобы получить тончайшее и белейшее полотно, и достигли в этом большого совершенства. Стоит только напомнить читателям, что белоснежные одежды представителей высших классов были настолько тонки, что сквозь них просвечивало тело. Некоторые их полотна можно было бы сравнить с нашим шелком.
Хлопок, конечно, еще не был известен, поэтому ткачи использовали исключительно лен. Египтяне начали возделывать лен очень рано. На росписях гробниц эпохи Среднего царства изображены большие чаны, в которых кипятили лен. Сначала стебли очищали от оболочки, а затем били по ним молотками до тех пор, пока они не становились мягкими. Потом полученные таким образом волокна очищались от мусора. Во времена Среднего царства процесс очистки производился руками. На росписях изображены люди, старательно отбирающие волокна и складывающие их вместе перед тем, как свить нитку. Но во времена Рехмира ткачи уже пользовались гребнями.
В Британском музее есть несколько образцов ткацких станков и челноков; в них использовался тот же самый принцип, что и в современных станках, только все, конечно, делалось вручную. Нитки сначала смачивали, а затем свивали с помощью веретена. Рядом, на земле, стоял горшок с грубыми нитками. Прядильщик пропускал нитку через руку или вилку. Нужно было обладать высоким мастерством. На одном из рисунков мы видим женщин, управляющих двумя веретенами одновременно, и каждая при этом сучила две нитки из двух различных сортов льна. Они ухитрялись делать это, балансируя на табурете, практически без одежды, чтобы два веретена и нити не запутались в их платьях.
Египтяне достигли также высокого мастерства в обработке шкур. Красивые шкуры применялись для производства сидений для стульев, ими обтягивали щиты и колчаны. Особенно ценилась шкура леопарда.
Однако позволить себе тончайшие льняные одежды могли только богачи. Бедняки довольствовались самыми грубыми тканями и кожами животных.
Кроме того, египтяне делали прекрасные веревки (необходимые для транспортировки огромных памятников), фаянс и стекло. До нас дошли куски веревки, изготовленные из пальмового волокна, толщиной 5 дюймов. По прочности эти веревки не уступали нашим. Производство фаянса также достигло очень высокого уровня. Египтяне изготовляли его из истолченного в порошок кварца, смешивали его с клейким веществом (вероятно, с содой), а потом обжигали. Из фаянса делали вазы и такие статуэтки, как хорошо известные фигурки ушебти, найденные в сотнях гробниц. Они пользовались изделиями из стекла, но дутье им оставалось неизвестным вплоть до прихода римлян. Египтяне обматывали стеклянными стержнями конус, а затем снова нагревали, сплющивали и полировали. Иногда их отливали, как при изготовлении стеклянной подпорки для головы, найденной в гробнице Тутанхамона. Золото добывали в большом количестве в Нубии и других местах. Изделия египетских ювелиров близки тончайшим работам-итальянских мастеров эпохи Возрождения. Золото использовали для покрытия огромного количества самых разнообразных предметов. Его было так много, что Тушратта, царь Митанни, писал Аменхотепу IV (Эхнатону):
Пришли мне много золота, больше золота, потому что в стране моего брата, [т. е. Эхнатона], золото такая же обычная вещь, как пыль…
Золотой гроб Тутанхамона – величайшее произведение древнеегипетских ремесленников – весит 300 фунтов. Во времена царя Шешонка (XXII династия) общий вес золота и серебра, отданных храму, превышал 20 тонн.
Изделия египетских ремесленников прославили их на века. Нас поражает и удивляет замечательная золотая маска Тутанхамона, но мы никогда не узнаем, кто ее создал. Тысячи людей, трудившихся на строительстве пирамид, воздвигших колонны в Карнакском храме, создавших алебастровые вазы, шкатулки, ипкрустированные эбеновым деревом, и слоновой костью, ожерелья из сердолика и ляпис-лазури, оставили о себе память в виде этих творений. И только случайно археолог находит в мусоре около пирамид кусок веревки, корзину рабочего или какие-нибудь медные инструменты – безмолвных свидетелей труда безвестных миллионов, которые работали на избранных.
Глава XI
МАГИЯ И МЕДИЦИНА
Прошло несколько месяцев, и вот мы снова находимся в большом доме везира Рехмира. Однако общая атмосфера дома сейчас сильно отличается от той, что запомнилась нам после нашего первого визита. С женской половины не слышатся звуки музыки. Слуги молча выполняют свои обязанности, и никто из них не поет. Когда мы видим Рехмира, идущего с женой по двору, то замечаем, что вид у них очень озабоченный. Нофрет, старшая дочь везира, заболела лихорадкой.
Давайте последуем за родителями, когда они входят в спальню своей дочери. Другие члены семьи уже там: Тахает со своим мужем Синухетом (за то время, что мы не виделись с ними, они успели пожениться) и старший сын Менхеперра-Сонеб со своей женой. Они стоят недалеко от кровати, на которой лежит Нофрет. Ее лицо покраснело и блестит от пота. Она положила руку на лоб и стонет. Ее бьет дрожь, и она без конца повторяет: «Мне холодно… мне холодно…»
Рядом с кроватью стоит придворный лекарь с помощниками. Однако он не смотрит на Нофрет. Он склонился над небольшим столиком, на котором лежит амулет, завязанная узлом веревка, и маленькие кувшинчики с лекарствами. Лекарь делает пассы над амулетом и веревкой, быстро повторяя заклинание. После этого он берет амулет и прикрепляет его к рубашке девушки, повыше сердца. Веревкой он обматывает ее лоб. Сделав несколько пассов над пациенткой, он направляется к родственникам. Все покидают комнату, оставив только служанку присматривать за больной.
– Через день, если Амон будет милостивым, – говорит лекарь, – демон покинет ее…
За пятьсот миль от того места, в пустынной долине вблизи Оронта, в палатке лежит военачальник отряда колесниц Сенмут. Он без сознания. Несколько часов пазад, находясь в арьергарде армии фараона, в узкой теснине, он попал в засаду. Бедуины бросили огромные валуны на дорогу, заблокировав проход, а затем стали осыпать воинов камнями. Не имея возможности маневрировать, воины соскочили с колесниц и бросились врукопашную. Это была отчаянная схватка, в которой молодой Кенамон отличился храбростью и находчивостью.
В начале битвы враги предприняли атаку специально на Сенмута, чей чин легко мояшо было определить по его одежде и знаменосцу. Он сам и его колесничий были ранены первыми же стрелами. Лошади были убиты, а колесница опрокинулась. Полуослепший от крови, залившей глаза, Сенмут оказался окруженным копейщиками бедуинов. Он убил двоих, прежде чем третий обрушил на его шлем тяжелый удар палицы. Сенмут упал как раз в тот момент, когда Кенамон, заметивший его безнадежное положение, пробивался к нему с отрядом копейщиков. Бедуины были отогнаны. Но еще до этого Кенамон послал несколько отважных воинов вместе с трубачами на прорыв вражеского окружения, чтобы они оповестили о напат дении основные силы армии. Некоторым смельчакам удалось прорваться. Тутмос услышал отдаленные звуки труб в долине и послал на выручку пехоту. После тяжелого и кровопролитного сражения бедуины отступили в горы, оставив сотню убитых и умирающих. Затем Кенамон принес своего друга, который был без сознания, в палатку главного лекаря. Он стоял и с тревогой смотрел на забинтованное лицо друга, пока врач при свете масляных светильников делал операцию.
Здесь уже не было никакой магии. Сначала лекарь очистил рану, остановил кровь и ловко сшил рассеченные ткани. Затем он внимательно осмотрел пациента и обнаружил, что левая рука и нога Сенмута парализованы. Лекарь исследует ссадины на черепе, убеждается, что на черепе трещин нет, и приходит к выводу, что паралич вызвало давление на мозг, которое нужно ослабить.
Хирургические инструменты лекаря лежат на столе рядом с кроватью: кривые ножи различной формы, сверла и пилы. С помощью небольшой острой пилы лекарь снимает часть черепа и удаляет оболочку, чтобы вскрыть мозг. Затем осторожно удаляет запекшуюся кровь и очищает поврежденную ткань, пришивает удаленную оболочку и ставит на место часть черепа, заклеивает его и забинтовывает голову.
Когда лекарь закончил, уже светает. Ржание лошадей и отдаленные звуки труб слабо разносятся в неподвшкном воздухе. На немой вопрос Кенамона лекарь отвечает:
– Сейчас ничего не могу сказать. Еще рано делать выводы.
Он кладет руку на грудь Сенмута.
– У него здоровое сердце. Он должен выжить, но еще долго не сможет двигаться. Он должен остаться здесь на несколько недель. А потом его можно будет перевезти в Кадеш.
На встревоженном лице Кенамона появляется улыбка. Лекарь кладет руку на плечо молодого человека и добавляет:
– Не печалься, сын мой. Как у всех солдат, у него очень прочный череп…
Нереально? Нет, не совсем. Такие операции древние египтяне делали даже в додинастические времена. Найден ряд черепов со следами трепанации. Пациенты иногда выживали после таких операций, о чем говорит тот факт, что отсеченная часть черепа срасталась с соседними костями. О других операциях, таких же сложных, как эта, которые делали египетские лекари-хирурги, нам известно из хирургического папируса Эдвина Смита. Папирус датирован началом Нового царства (приблизительно 1500 г. до н. э.). Эта самая древняя в мире книга по хирургии приводит сорок восемь случаев, начиная с ушибов черепа и кончая повреждениями позвоночника, методически систематизирует их.
Этот замечательный документ доктор П. Г. Собхи Бей, профессор медицины, описывает так:
Каждому случаю предшествует краткий заголовок, содержащий диагноз, затем следует другой, более подробный диагноз, краткий, но четко сформулированный план операции, а иногда и консервативного лечения. В большинстве случаев более поздний [египетский] комментатор добавил к ним пояснительные заметки для того, чтобы растолковать трудные для понимания термины или неясные места, содержащие в оригинале устаревшие слова и выражения.
Следовательно, этот папирус был, вероятно, одним из стандартных учебников, которые использовались в египетских медицинских школах, и существовал, разумеется, намного раньше даты, проставленной на рукописи. Фактически ему могло быть 5000 лет.
Есть и другие медицинские папирусы. В папирусе Эберс рассматриваются нарывы, киста и другие подобные болезни, в папирусе Кахун затронуты вопросы гинекологии. Часть папируса Честер-Битти посвящена рецептам и лекарствам при болезнях прямой кишки и геморрое. Папирус Хёрст содержит 250 рецептов или отрывки из них. Остальные папирусы находятся в Британском музее и в Турине. Некоторые из этих папирусов содержат одинаковые отрывки текста и, вероятно, переписаны с одной и той же работы лекаря.
Можно ли предположить, что египтяне были хорошо осведомлены о строении человеческого тела? Конечно, они знали анатомию намного лучше, чем другие древние народы, благодаря широко распространенному обычаю бальзамировать и мумифицировать трупы. Уоррен Доусон в книге «Наследие Египта» пишет:
Этот обычай прежде всего предоставил возможность накопить наблюдения в области сравнительной анатомии, потому что он помог практикующим познать аналогию между внутренними органами человеческого тела и животных. С внутренними органами Животных человек был уже давно знаком благодаря освященному веками обычаю резать животных для приготовления пищи или для принесения их в жертву. Знаменательно, что различные иероглифические знаки, обозначающие части тела и особенно внутренние органы, изображают органы млекопитающих, а не человека. Это доказывает, что знания анатомии млекопитающих у египтян были древнее, чем знание анатомии человека. Кроме того, они установили существенное сходство между строением человека и животных.
В языке древних египтян существовало не менее 200 анатомических терминов, которые доказывают, что они могли распознавать и различать большое число органов человека, которые менее осведомленные люди рассматривали бы как единое целое. Они познали важную роль сердца:
Основа науки врача – знать работу сердца. К нему подходят сосуды, для каждого движения тела…
Но они не постигли кровообращение. Для обозначения мускулов, артерий и вен они использовали одно и то же слово: кровеносные сосуды, связанные с сердцем, они называли тем же самым словом, что и мускулы. Они думали также, что сердце – вместилище разума и чувств, и придавали значительно меньшее значение головному мозгу, несмотря на то что знали, как повреждение мозга влияет на работу определенных мышц тела. Они считали сердце настолько важным органом, что бальзамировщики вновь вкладывали его в тело покойного перед погребением, в то время как другие внутренние органы удалялись и бальзамировались отдельно. Одпако, как говорит Уоррен Доусон,
…кое-какие верно подмеченные наблюдения древних египтян наводят нас на мысль, что в очень древние времена была предпринята серьезная попытка попять строение и функционирование тела и его органов, а также влияние повреждений на их работу. Было, например, замечено (как мы знаем из папируса Эдвина Смита), что мозг окружен оболочкой и что его полусферы имеют извилины, что повреждение мозга приводит к нарушению контроля над определенными мышцами тела, напряжению лицевых мышц и другим последствиям… что некоторые повреждения можно с успехом лечить, а другие, наоборот, совершенно не поддаются лечению.
Возникает вопрос: почему египтяне, делавшие такие серьезные операции при лечении ран, обращались к магии, когда сталкивались с внутренними расстройствами, у которых пе было очевидной причины? Почему малярию Нофрет лечили с помощью магии, а контузию Сенмута вполне реальными средствами? Следует помнить, что для египтян не существовало четкой границы между магическим и физическим. Для них это было одно и то же. Если бы Сенмут заболел малярией, то лекарь использовал бы те же самые средства, какие использовал его коллега в Фивах для лечения Нофрет.
Ответ, вероятно, должен быть таким: там, где не было очевидной причины болезни, ее приписывали злому духу, поселившемуся в теле больного. Задача врача в этом случае заключалась в изгнании демона либо с помощью заклинаний, колдовства, либо с помощью лекарств, первоначально выбранных скорее за свои магические качества, чем терапевтические. Фактически медицина развивалась из магии, и нужно быть очень смелым человеком, чтобы утверждать, что в наше время магия полностью исчезла из медицинской практики. Только сейчас мы это называем психотерапией.
Так, в египетских папирусах Эберс и Хёрст лекарь обращается с речью к демону, поселившемуся в теле больного, т. е. он полагает, что недуг вызван ядом, который выделяет демон, находящийся в теле пациента. Если заклинания были неэффективны, то прибегали к помощи необычайно отвратительной еды, чтобы вынудить злой дух покинуть тело. Современные люди, жалующиеся на то, что им приходится глотать неприятные на вкус лекарства, должны быть благодарны судьбе, что живут не в Древнем Египте. Там им бы предложили истолченных (или живых) насекомых, экскременты или другие отталкивающие снадобья растительного или животного происхождения. Эти древнеегипетские рецепты случайно через греческие, римские или арабские медицинские учебники попали в Европу и возродились в магических формулах средневековых колдунов. В форме народных суеверий они дожили и до наших дней. Магическая формула богинь судьбы Макбета могла быть почти полностью почерпнута из рецепта, помещенного в книге египетского врача:




























