Текст книги "Вся физика в 15 уравнениях"
Автор книги: Бруно Мансулье
сообщить о нарушении
Текущая страница: 6 (всего у книги 7 страниц)
Вернувшись после войны к фундаментальной физике, он вскоре устал от утомительных релятивистских квантовых вычислений и начал искать в этой теории некую структуру, своего рода язык. Вскоре он заметил, что каждый объект можно сопоставить с простым классическим образом, например такие вот стрелочки:

для распространения электрона (слева) и фотона (справа), а также:

для поглощения или испускания фотона электроном.
Он сформулировал правила для вычислений и соответствующие им правила – для диаграмм.
Наконец, перевел в диаграммы уже известный к тому времени расчет. Например, вероятность рассеяния фотона на электроне получается из следующей формулы, уже достаточно сложной:

которая может быть представлена довольно простой схемой[58]:

На этом этапе диаграммы Фейнмана были все еще просто вспомогательной утилитой. Оказалось, что проще подсчитывать диаграммы, визуальные отличия которых друг от друга гораздо легче контролировать, чем уравнения, похожие друг на друга как две капли воды. В конце концов, эти конструкции стали настоящим языком. Это идеальный инструмент: диаграммы предлагают перевод сложных вычислений в простую и интуитивно понятную визуальную форму.
Мощный язык
Успех диаграмм Фейнмана был оглушительным и немедленным. Перенормировка, процедура, которая позволяет придать смысл бесконечным в ином случае вычислениям, легко иллюстрировалась в терминах диаграмм, до такой степени легко, что вполне серьезно можно было задаться вопросом: что более фундаментально – математическая теория или диаграммы? Сам Фейнман внес существенный вклад в математический аппарат процедуры перенормировки.
С тех пор почти невозможно, войдя в кабинет физика элементарных частиц, теоретика или экспериментатора, не увидеть на доске несколько диаграмм Фейнмана.
Разработанная в первую очередь для квантовой электродинамики (т. е. электромагнитных взаимодействий между электронами, позитронами, фотонами, ядрами…) релятивистская квантовая теория поля вскоре включила в себя все взаимодействия (электромагнитное, сильное и слабое взаимодействие) и все элементарные частицы[59]. Каждый раз метод диаграмм и перенормировок оказывался легко адаптируемым к новым полям и частицам, по-прежнему представляя сложные процессы интуитивно, скрывая вычисления, разработка которых часто была бы чрезвычайно долгой и наверняка не очень интересной, за исключением их результата.
Например, образование и распад бозона Хиггса на ускорителе БАК в ЦЕРНе может быть рассчитано по диаграмме, изображенной в начале главы.
Благодаря своему точному и наглядному языку описание в виде диаграмм оказалось невероятно полезным для численных расчетов. Поясню саму процедуру: представим себе, что исходя из фундаментальных принципов теоретик изобрел новую теорию[60], и мы хотели бы сравнить предсказания этой теории с теми результатами, которые получены при наблюдениях за столкновениями элементарных частиц на ускорителе, скажем на БАКе ЦЕРНа. Если эта теория обладает предсказательной силой, то она позволит определить характеристики элементарных частиц и законы их взаимодействия. Чтобы вычислить экспериментально проверяемые величины, теоретиками формулируются правила расчета коэффициентов взаимодействия для различных типов диаграмм Фейнмана, возможных для конкретного события – столкновения, рождения или распада. Эти правила называются «правила Фейнмана». Другие физики после переводят эти правила в компьютерный код и добавляют их в специальные программы, которые могут автоматически генерировать все возможные диаграммы Фейнмана, необходимые для вычислений. Наконец, экспериментаторы на БАКе используют результаты расчета моделированных событий по данной программе и сравнивают их с результатами, измеренными для реальных событий, наблюдаемых при столкновениях частиц. Сегодня этот набор программ достиг удивительных результатов, воспроизводя в моделях всю известную квантовую физику, включая ее самые тонкие эффекты.
Сны о диаграммах Фейнмана
В науке есть и другие случаи, когда диаграммы представляют собой вычисления или структуры, такие как диаграммы Венна в теории множеств, диаграммы Янга и Дынкина в теории групп, а также за пределами чистой науки, например в жонглировании, где пересечения рук отмечены в диаграммах… Но я не думаю, что любая из этих систем приобрела тот же статус языка, что и диаграммы Фейнмана в физике частиц.
Философы-структуралисты, прежде всего Клод Леви-Стросс, также отваживались описывать человеческие взаимодействия с помощью диаграмм, но без особого успеха, по крайней мере на мой вкус. Жак Лакан, конечно, всегда стремившийся к научному признанию, призвал на помощь диаграммы, но трудно увидеть там точное и недвусмысленное описание эффекта или понятия. Я уверен, что любой психоаналитик, который не читал (и не запоминал в подробностях) «Экриты»[61], не сможет без ошибки сообщить мне смысл той или иной его схемы. Но для физика каждая диаграмма Фейнмана – это всегда представление уникального и неповторимого уравнения.
Мы думаем, говорим и прежде всего воображаем с диаграммами Фейнмана. Мне даже довелось помечтать с диаграммами Фейнмана в какой-то сложный период личной жизни, и в то же время это был момент напряженной профессиональной деятельности. Как бы наивная мечта, в которой я попытался описать с помощью диаграмм некоторые сложные личные выборы. Мечтая, я действительно понимал, что эти проблемы трудно перенормировать, что множественный выбор включает в себя большое количество диаграмм, возможно, бесконечно много. Увы, методы теории поля мало помогают в человеческих делах. Потому после пробуждения осталось лишь довольно неприятное ощущение стерильной смеси между сном и реальностью, между частным и профессиональным мирами…
К счастью, эти мечты были довольно редки, удивительно редки, по крайней мере для меня.
Глава 15 Стандартная модель

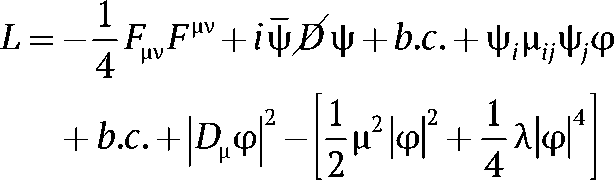
Эта довольно сложная формула лежит в основе так называемой Стандартной модели в физике элементарных частиц, лучшей теории, которую мы имеем на сегодняшний день для описания фундаментальных кирпичиков природы и структуры их взаимодействий между собой. Короче говоря, уравнения Стандартной модели – это все, что позволяет элементарным частицам взаимодействовать, собирать и строить Вселенную, которую мы знаем, начиная от момента Большого взрыва и до сегодняшнего дня.
Данное уравнение получило достаточную известность настолько, что его печатают на сувенирных футболках и кружках, продаваемых в ЦЕРНе, крупнейшем исследовательском центре физики элементарных частиц недалеко от Женевы, расположенном на границе Франции и Швейцарии.
В кафетерии ЦЕРНа
Я впервые приехал в ЦЕРН в 1979 г., в самом начале моей работы над докторской диссертацией[62], когда пришлось сопровождать моего научного руководителя Марселя Баннера. Наша команда из CEA-Saclay[63] построила прототип детектора, который мы хотели проверить в работе в пучке частиц.

Мы прибыли в ЦЕРН в понедельник утром и сразу же отправились в тот экспериментальный зал, куда планировалось отведение пучка частиц. Я знал ЦЕРН только по текстам и фотографиям, и у меня едва хватало времени, чтобы бросить мимолетный взгляд на реальный вид этого зала, длинных коридоров без потолка между серыми бетонными блоками с непонятными аппаратами, обвитыми кабелями и трубами.
В отведенном для нас пучковом канале почти ничего не было: мы могли видеть только трубу, из которой будут вылетать частицы, а за ней – только пол и две стены, все из сырого бетона. Марсель спросил меня, смогу ли я справиться с перфоратором. На что я ответил «Конечно, да». Затем он вложил мне в руки чудовищный агрегат для сверления отверстий в бетоне. Да, на самом деле требуется определенное количество детекторов, которые будут регистрировать время прибытия и положение частиц пучка. Эти «счетчики» устанавливаются на полу и вдоль стен по всей линии прохождения пучка, от выводного канала от самого ускорителя до зоны, где устанавливалось наше оборудование.
Поэтому я начал свое первое пребывание в ЦЕРНе с того, что… без устали бурил отверстия в довольно прочном бетоне! Марсель был трудоголиком, и работа продвигалась вперед без единой минуты отдыха: установка счетчиков, прокладка кабелей на десятки метров в сторону маленькой диспетчерской, где находился компьютер, который будет записывать тестовые данные, настройка всей электроники, настройка усилителей, логических схем, тестирование программного обеспечения для сбора данных… Прибыв в понедельник утром, мы завершили установку только около полудня среды, прерываясь лишь на то, чтобы перекусить по-быстрому в соседнем кафетерии. Все было в рабочем состоянии, готово к приему первых пучковых частиц и испытанию нашего прототипа детектора.
Я находился в очень странном состоянии: мои руки болели, все тело казалось еще тряслось от могучего перфоратора, голова переполнена всевозможной информацией, которую я узнал, глядя как мой руководитель стремительно настраивает сложнейшую электронику. Перед тем как лечь спать, мы зашли выпить пива в главный кафетерий, и я рухнул в кресло перед кофейным столиком. Вокруг, конечно, все говорили: кто на английском, кто на других языках. Держа в руках кофе, люди беседовали, спорили, строчили что-то на бумажных салфетках. Через пару столиков от меня Мюррей Гелл-Манн (Нобелевская премия в 1969 г.) болтал с Карло Руббиа (тот уже слыл известным физиком, хотя на тот момент еще не получил свою Нобелевскую (она нашла его в 1984 г.)). В таком вроде бы и странном состоянии слабости, но в то же время в ясном сознании я подумал: «Это место силы».
Лагранжиан возвращается
Вернемся к уравнению Стандартной модели. Уравнение вида L =… указывает на то, что это лагранжиан, оператор, который мы уже встречали в главе 2. Правильная теория лагранжиана содержит математическое описание составляющих материи и их взаимодействий. В случае лагранжиана Стандартной модели первые два его члена соответствуют, грубо говоря, электромагнетизму после изобретения уравнения Дирака: один описывает фотоны, другой – электроны.
В следующих членах выражения для лагранжиана вы заметите символ ф, который обозначает «поле Хиггса», более известное как «бозон Хиггса». Эта новая частица, необходимая для самосогласованности Стандартной модели, возникла в 1964 г. в более простом виде, а затем, спустя несколько лет, уравнение уже приняло форму, приведенную выше.
Между 1930-м и 1960-м гг. ядерная физика и физика элементарных частиц достигли большого прогресса. Все началось с экспериментов по изучению космических лучей – элементарных частиц, что приходят с неба. Затем ученые стали производить опыты на ускорителях, благодаря чему были открыты новые элементарные частицы, которые уже не являлись составляющими обычной материи, а также новые взаимодействия.
Теория также развивалась, или скорее теории, так как поначалу каждый вновь открытый тип взаимодействия требовал своей собственной теории: электромагнетизм описывал электроны и фотоны, слабые взаимодействия описывали радиоактивные распады, а сильные взаимодействия – сцепление внутри атомных ядер. Примерно в 1960 г. физики наконец-то смогли понять, что между этими взаимодействиями есть некое сходство, однако им не удавалось объединить их в одну согласованную общую структуру. В частности, оказалось, что хотя теории электромагнетизма и слабых взаимодействий очень близки, но все же они разделены непреодолимым препятствием.
В 1964 г. появились две статьи, которые стали решением данной проблемы. Первая была написана двумя бельгийскими теоретиками Робертом Браутом и Франсуа Энглертом, а вторая – шотландским теоретиком Питером Хиггсом. Ключевым моментом стало введение нового «поля» со странными свойствами: само его существование изменяет свойства всех других частиц, в том числе их массу и взаимодействия. Эта новая теория самым изящным образом обошла стену, отделявшую электромагнетизм от слабых взаимодействий: это действительно одно взаимодействие, но простое наличие поля Хиггса заставляет их проявляться по-разному в двух различных формах. Такая «маскировка» аккуратно и последовательно действует на все частицы.
Самое главное, что теория сформулировала ряд неожиданных предсказаний, проверить которые на ускорителях частиц можно будет или сейчас, или в будущем. Говорилось, что предполагается обнаружить частицу под названием Z0, похожую на фотон, но с очень большой массой (по тем временам), примерно в 100 раз больше массы протона. Кроме того, это новое поле проявилось в виде еще одной новой частицы, которая довольно быстро стала известна под названием «бозон Хиггса».
Таким образом, было устранено основное препятствие, и построена Стандартная модель вслед за эволюцией ускорителей частиц: некоторые уже известные частицы были гармонично включены в эту структуру (мюоны, нейтрино). Следом последовало открытие других частиц, таких как кварки, из которых состоят протоны и нейтроны, а затем еще несколько новых типов кварков, которые каждый раз красиво находили свое место в структуре модели. В 1984 г. частицу Z0 обнаружили в ЦЕРНе, а в 1995 г. последний и самый массивный кварк Стандартной модели был идентифицирован в лаборатории Ферми неподалеку от Чикаго.
Охота на Хиггса
Но где же бозон Хиггса? Стандартная модель описывала все его свойства… кроме самого важного с экспериментальной точки зрения – его массы. С большим трудом удалось нащупать диапазон возможных масс с самым высоким значением далеко за пределами досягаемости ускорителей 1970-х гг. Поэтому каждый раз, когда новый ускоритель вступал в действие, физики охотились за Хиггсом, но как-то бессистемно, так как они не знали, хватит ли энергии, чтобы произошло его рождение в эксперименте. В 1989 г. (14 июля – легко запоминающаяся дата для французов[64]!) ЦЕРН запустил в эксплуатацию LEP, огромный электронно-позитронный коллайдер диаметром 8,6 км. До 2000 г. LEP достиг впечатляющего количества измерений, которые завершили и усовершенствовали Стандартную модель, однако Хиггс оставался вне досягаемости.
Уже в 1984 г. несколько десятков физиков провели семинар в Лозанне, чтобы обсудить nocт-LEP-эру: почему бы не смонтировать в том же туннеле протон-протонный коллайдер, БАК, который и заменит LEP, и сможет позволить достичь гораздо более высоких энергий? Пусть даже ускоритель LEP и откроет Хиггса, все равно БАК поможет лучше изучить его свойства в Стандартной модели. Если этого и не произойдет, то БАК, обладая достаточной энергией, чтобы охватить весь возможный диапазон масс, почти наверняка позволит обнаружить бозон Хиггса, если тот действительно существует.
Так как я являлся аспирантом (в 1984 г. защищал диссертацию), то смог присутствовать на том самом семинаре. Атмосфера действительно была восторженной и творческой, но я не могу сказать, что мы по-настоящему верили, что БАК будет построен… Мы тогда только начинали осознавать огромные проблемы, связанные с разработкой и реализацией столь мощного проекта. Как на стороне ускорителя, так и на стороне детекторов, которые будут построены для наблюдения этих столкновений, технологии должны были стать намного совершеннее, чем ноу-хау того времени. От магнитного поля и точности детекторов к скорости электроники и количеству данных, что необходимо обрабатывать, и т. д. Нами было сделано всего лишь несколько предварительных оценок нерешенных на тот момент проблем, и каждый раз результат выглядел ужасающим. Однако если присмотреться повнимательнее и учесть вполне предсказуемый технологический прогресс, то почему бы и нет?
Яркое подтверждение
Остальное уже хорошо известно: десятилетие инженерного проектирования и дипломатии, чтобы убедить глав государств – членов ЦЕРНа и некоторых других стран; затем еще одно десятилетие строительства в ЦЕРНе и в большом количестве лабораторий во всем мире. И вот в 2008 г. на ускорителе БАК был наконец-то получен первый пучок. А в 2011 и 2012 гг. после столь суматошного запуска ускоритель и эксперименты на нем достигли высокого уровня производительности. У команд появилась возможность для активных поисков бозона Хиггса при многочисленных столкновениях протонов.
4 июля 2012 г. (важная дата для США[65]!), после более чем 20-летней подготовительной и всего лишь 2-летней работы БАКа, директора ЦЕРНа призвали к проведению внеочередного семинара в Большом зале под названием «Поиск бозона Хиггса на БАКе в экспериментах ATLAS и CMS». ATLAS и CMS – это две большие коллаборации (каждая включает около 3000 физиков), которые используют два огромных детектора, расположенных в двух противоположных точках вдоль кольца БАКа и в которых, собственно, и происходят столкновения протонов. Их сотрудники независимы и даже являются конкурентами, а полученные ими предварительные результаты держатся в строгом секрете.
Как и все мои коллеги из ATLAS, я знал результат, который доложит наш представитель Фабиола Джанотти[66], но не владел информацией, что скажет Джои Инкандела[67] из CMS. Только генеральному директору ЦЕРНа и обоим представителям коллабораций были заранее известны все результаты. Анализ данных, проведенный непосредственно нашей коллаборацией, подтвердил существование новой частицы, которая действительно очень напоминала бозон Хиггса. Мы могли бы предполагать, что раз такой семинар организован с приглашением представителей прессы и делегатов государств-членов, то и нашими конкурентами также получен положительный результат. Когда мы вошли в аудиторию, Питер Хиггс и Франсуа Энглерт, приглашенные ЦЕРНом[68], уже находились там. Но будут ли эти два результата совместимы? Для нас, специалистов, было важно, каковы в деталях доказательства, полученные другой коллаборацией, если таковые имеются. Мы были готовы сравнить каждый зафиксированный распад, каждое число с тем, что получили в наитруднейшем эксперименте.
Джои почти целый час представлял доклад о результатах CMS. После него Фабиола доложила о тех результатах, которые получила ATLAS. Зал наполнился долго нескончаемыми аплодисментами, а мы отправились на пресс-конференцию, после завершения которой каждого из нас, представлявшего ту или иную страну, журналисты попросили прокомментировать произошедшее. Это продолжалось еще в течение нескольких часов.
Ближе к вечеру у меня появилась возможность остаться наедине с самим собой и, немного расслабившись, отдохнуть в тихом месте. Я вновь находился в состоянии замешательства и как бы пограничном состоянии сознания из-за явной нехватки сна после всех дней и ночей, отданных для того, чтобы подвергнуть тщательному анализу полученные данные. Мне вспомнился первый визит в ЦЕРН, те самые дыры в бетоне. Мы вновь оказались здесь в 2012 г., и бозон Хиггса, изобретенный теоретиками в 1964 г., теперь был экспериментально подтвержден. Его масса составляла 125 ГэВ, что примерно в 130 раз больше массы протона. Теперь я мог спокойно идти спать.
Эпилог
Ограничения Стандартной модели… и физика будущего

Стандартная модель была завершена экспериментальным подтверждением существования бозона Хиггса. Питер Хиггс и Франсуа Энглерт в 1993 г. получили Нобелевскую премию. Но приключения на этом не закончились.
Фактически я кое-что ранее недосказал: лагранжиан, показанный в предыдущей главе, – это всего лишь шаблон для Стандартной модели. На практике данная модель содержит множество произвольных параметров и несколько случайных ограничений. Потому ее полный лагранжиан выглядит примерно как формула, что приведена на следующей странице[69]!
Выше же показано уравнение, о котором все физики могут пока только мечтать: идеально обтекаемое, с нулевыми свободными параметрами, «уравнение всего сущего» в некотором смысле. Как вы можете видеть, мы все еще довольно далеки от этого с нашей Стандартной моделью!
Неужели стандартная?
Прежде чем очертить ее ограничения, хотелось бы вернуться к самому названию «Стандартная модель». Это выражение интересно, потому что говорит о науке в самых разных смыслах. Она становится глобальной, поскольку все физики в мире используют один и тот же формализм, одни и те же обозначения. Они договорились, что определенная теория является общей для всех и что она объясняет экспериментальные измерения, выполненные до настоящего времени.

Здесь можно было бы видеть форму «диктатуры», где отвергается любая «нестандартная» идея. Действительно, как и многие мои коллеги, я получаю письма или послания от людей, которые думают, что открыли скрытый смысл мира, утверждая, что их отвергает мировая элита, отчего они лишены возможности опубликовать свои труды, да и вообще являются жертвами интеллектуальной тирании научного сообщества. В их воображении «Стандартная модель» – не что иное, как лживая догма[70].
А ведь все как раз ровно наоборот! Эта всеобщая стандартизация стала опять же формой смирения и открытости. Мы договариваемся о том, что является стандартным, стараясь как можно лучше обсудить, что может относиться к нестандартному. Модель постоянно анализируется, исследуется, препарируется, причем в мельчайших деталях. Изучили ли мы все предсказания, по крайней мере проверяемые? Можем ли мы представить себе новый эксперимент, который способен проверить Стандартную модель каким-либо иным способом?
Большая согласованность модели позволяет проверить ее с самых разных точек зрения: в столкновениях протонов сверхвысоких энергий на БАКе, при высокоточных измерениях на нескольких атомах или, опять же, из космических наблюдений. Откуда бы оно ни исходило, как только проводится новое измерение, научное сообщество сразу же сверяет его со Стандартной моделью. Согласуется ли оно с предсказанием модели для этого эффекта или нет? Вопреки идее тех, кто осуждает потенциальный научный империализм, мечта каждого физика – не подтвердить официальную теорию, а наоборот, найти в результатах каждого нового эксперимента определенный признак того, что Стандартная модель ошибочна[71].
Кроме того, даже если мы используем Стандартную модель каждый день, нам хорошо известны ее ограничения и несовместимость. Казалось бы, что с открытием бозона Хиггса в 2012 г. глава «Элементарные частицы» стала выглядеть полной и законченной, однако ее основные составляющие все еще пока остаются необъясненными. Например, материя состоит из двенадцати элементарных частиц, принадлежащих к трем семействам по четыре частицы в каждом: первое семейство – это то, из чего состоит обычная материя, а два других – копии первого, содержащие существенно более массивные частицы с аналогичными свойствами[72]. Почему существуют эти три семьи? Этого, увы, никто не знает. Мы можем лишь видеть, что модель хорошо описывает результаты экспериментов; в частности, существование этих трех семейств подразумевает наличие неких тонких симметрий в модели, которые нельзя было бы наблюдать, если бы существовало только одно или два семейства и которые действительно были экспериментально замечены.
Массы частиц, интерпретируемые как интенсивность их взаимодействия с полем Хиггса, являются свободными параметрами теории наряду со всеми другими интенсивностями. Мы, к сожалению, можем их измерить только экспериментальным путем. Таким образом, всего можно насчитать 27 свободных параметров теории, которые поддаются экспериментальной корректировке. Математический аппарат теории фундаментальных взаимодействий хорошо формализован и изучен, но почему он именно такой, а не какой-то другой?
Итак, мы имеем в руках связную и мощную теорию, которая была проверена десятками разнообразных измерений и ни разу не доказана ошибочной, по крайней мере на малых масштабах расстояния, в мире элементарных частиц. Единственное «но», с чем нам придется смириться, – это некоторая доля произвольного выбора, возникающего из необходимости экспериментального определения свободных параметров модели[73].
Но где же гравитация?
Еще один недостаток: современная квантовая теория поля не включает в себя гравитацию. Ее описание вполне себе существует в рамках классической общей теории относительности, которую нам так и не удалось переписать в квантовой версии. Это не имеет никакого значения в мире элементарных частиц, где гравитационные силы чрезвычайно слабы по сравнению с другими взаимодействиями. В человеческом масштабе обе теории могут сосуществовать, не общаясь: наши частицы, атомы подчиняются Стандартной модели, тогда как тело в целом подчиняется гравитации. В масштабе звезды эти две теории все еще хорошо разделены и влияют друг на друга лишь через глобальные, простые эффекты, такие как сохранение энергии.
Однако существует серьезная проблема: астрономические наблюдения показывают, что поведение галактик, их скоплений и Вселенной в целом не подчиняется законам Стандартной модели и общей теории относительности. Это не тот случай, когда пара «Стандартная модель плюс общая теория относительности» кажется неправильной в этих масштабах, но она оказывается, по крайней мере, неполной. Чтобы получить верное описание Вселенной, эти две теории необходимо дополнить несколькими компонентами и, в частности, объяснить, что скрывается за знаменитой «темной материей» и не менее известной «темной энергией». Благодаря точным астрономическим измерениям мы почти уверены, что эти две сущности не могут быть описаны нынешней Стандартной моделью и нынешней общей теорией относительности. Можно привести различные модели для их обозначения, но ни одна из них не описывает всего, да к тому же они не в состоянии решить многие проблемы одновременно. Ни одна модель не превосходит другие; следовательно, ни одна не достигла статуса новой Стандартной модели.
Итак, с одной стороны, у нас есть две теории, которые не взаимодействуют друг с другом, а с другой – есть необъяснимые наблюдения. Большинство физиков считает, что когда-нибудь будет найдено общее решение этих двух проблем: и квантовой теории гравитации, и природы «темной материи» и «темной энергии». Кто знает, быть может, это решение будет заключаться в гораздо более масштабной «смене парадигмы», и мы – или наши внуки – начнем высмеивать наивность теорий XX в.
Окончательное уравнение?
Пока же мы продолжаем использовать этот неполный и несовершенный инструмент. Так происходит всегда, когда человек находится на переднем крае научного прогресса. Потребуется немало времени, проведенного в сомнениях, колебаниях, а также различных экспериментов, неправильных измерений, которые позже будут исправлены, более или менее хорошо написанных работ, бесплодных или плодотворных усилий, крупных или малых открытий в областях, очевидно, столь же различных, как космология и физика элементарных частиц на ускорителях, чтобы однажды вся эта мешанина из терминов могла быть заменена парой красивых символов, обозначающих элегантную и гармоничную теорию, такую как уравнение в начале этой главы:

Здесь ψ – фундаментальный объект природы, основная составляющая частиц, полей, скаляров, спиноров, солитонов, струн, мембран, кривизны, топологии…
А фундаментальный оператор
расшифровывается как основное уникальное правило, закон.
Это равенство = 0, потому что таков наш способ описания существования мира: объект, подчиненный закону. Траектория, равновесие. Внутри
может случиться очень многое. Энергия превратится в материю, кривизна пространства-времени станет энергией, флуктуации начнут развиваться, черные дыры – расти и испаряться, а сама Вселенная – рождаться и исчезать (или же, наоборот, оставаться вечной). Короче говоря, все содержится в
.
Это реальность? Действительно ли существует Вселенная с подобным уравнением в качестве закона? Или это уравнение – всего лишь представление нашего времени, которое столь малые умы спроецировали на Вселенную или даже только на самих себя?
Вопрос увлекательный, но несколько напрасный, так как едва будет воздвигнуто это чудесное интеллектуальное здание, в его фундаменте появятся трещины. Новое крошечное измерение, которое не будет входить в известные рамки, или даже мысленный эксперимент, который укажет на какое-то внутреннее противоречие, и мы тут же добавим новые члены и новые параметры в уравнение
, тем самым отказавшись от его чистоты, которая на ту пору станет уже бесполезной, и продолжим работать дальше:

– до следующей научной революции, до следующей смены парадигмы…
notes
Примечания
1
Евклид сформулировал закон отражения правильно, однако ошибался относительно направления распространения света, – он был уверен, что лучи «света» испускаются глазами!
2
Не очень долго: самая первая оценка скорости света была предложена в 1676 г. Олафом Ремером, заметившим, что когда Земля удалена от Юпитера на б0льшее расстояние, затмения спутника Юпитера Ио наблюдаются на 22 мин позднее расчетного времени. Еще один невероятный вывод! Ремер получил не очень точное (220 000 км/с), но конечное значение, правильное по порядку величины!
3
Закон преломления в своей оригинальной форме был получен Ферма из условия минимального времени движения для частицы, пересекающей границу раздела двух сред с различными скоростями движения. Этой частицей может быть, например, человек, идущий из точки А, расположенной в лесу, в точку Б, расположенную на поле, через границу лес/ поле. Если скорости движения по полю и в лесу различны, то в предположении минимального времени хода окажется, что оптимальная точка выхода на поле не лежит на прямой АБ. Решив простейшую систему уравнений, нетрудно получить в такой постановке задачи искомый закон преломления. – Прим. перев.
4
Возможно, использование y связано с желанием обобщить понятие ускорения на основе наиболее распространенного примера – ускорения свободного падения, обозначаемого g.
5
Эта простейшая форма записи закона всемирного тяготения описывает гравитационную силу, возникающую между двумя точечными телами. Для расчета силы притяжения двух массивных тел на не очень большом расстоянии используется обобщенная формула, представляющая сумму гравитационных сил между всеми точками тел. Такая сумма называется интегралом. – Прим. перев.
6
И все-таки она вертится (итал.)
7
В том смысле, что массы планет не изменяются и никакие новые массивные небесные тела не прилетают извне. – Прим. перев.
8
150 млн км – это примерно радиус земной орбиты в Солнечной системе.
Однако такая неопределенность отнюдь не означает, что Земля может врезаться в Солнце. Неопределенность координат состоит из трех компонентов: вдоль орбиты, вдоль радиуса и перпендикулярно плоскости эклиптики. Неопределенность координат вдоль радиуса до Солнца существенно меньше и составляет несколько десятков тысяч километров, что, вообще говоря, не страшно. А вот неопределенность в 150 млн км вдоль эллипса орбиты Земли означает, что мы не знаем, какое время года будет на Земле через 100 млн лет, – ранняя весна или середина лета. – Прим. перев.




























