Текст книги "Вся физика в 15 уравнениях"
Автор книги: Бруно Мансулье
сообщить о нарушении
Текущая страница: 5 (всего у книги 7 страниц)
Я обнаружил это в 1996 г., в то время когда был физиком, глубоко погруженным в свою область и не очень следившим за тем, что происходило во внешнем мире. Как и у большинства моих коллег, я располагал слишком малым количеством времени, чтобы осматриваться по сторонам, но мне была любопытна эпистемология, в частности различные интерпретации квантовой механики. Это стало темой для многих долгих дискуссий со старыми друзьями Эрве[43] и Жаном. Летом 1996 г. газета Le Monde[44] опубликовала важную серию статей с заголовком «Прогресс – это устаревшая концепция?» Я уже был наслышан о подобных заявлениях, особенно в журнале La Recherche[45], который в те времена предлагал большую сцену постмодернистским философам. Сначала я рассматривал их только как дебаты между профессиональными философами, да и к тому же у меня совершенно не было времени обращать внимание на эту мышиную возню. Но когда саму идею прогресса поставила под сомнение ежедневная и уважаемая газета, это настолько потрясло меня, что я решил поглубже изучить данную тему.
Вначале я открыл для себя «постмодернистскую» эпистемологию и ее лозунг о том, что «Наука – это социальный институт», шокирующий любого рационального ученого, воспитанного в культе просвещения и прогресса. Я некомпетентен в социологических и философских вопросах, но здесь также наблюдал странное притягивание в болтологические рассуждения сугубо математических понятий, таких как «неопределенность», «хаос», «неполнота».
Эта сборная солянка из терминов и понятий казалась мне точным симптомом того, что именно так называемые философы хотели подвергнуть осуждению: элитарное общество, где признание своей ограниченности интерпретируется как слабость или даже недостаток. Неужели? После двух столетий поступательного и неудержимого прогресса, происходившего без особых заумных вопросов, примерно в конце XIX в. наука достигла уровня осознания самой себя достаточно высокого, чтобы задавать вопросы о соответствующих инструментах (математике), методах (дифференциальном исчислении) и интерпретации мира (объектов). Это слабость? Должно ли это бросать вызов понятию прогресса? Я думаю, что нет. Напротив, это показывает определенную зрелость или даже истинную мудрость.
Если не слишком вырывать их из контекста, то слова «неопределенность», «хаос» и «неполнота» только покажут нам, что природа (что бы мы ни вкладывали в это слово, объективна реальность или нет) не такова, как нам прямо говорят наши чувства. Могут быть рассмотрены и другие интерпретации, и понятия положения, скорости и события будут выглядеть совершенно иначе за пределами нашего окружения. Возможны и другие способы измерения вероятности, энергии, корреляций, иные способы рассуждений и, наконец, другие формы прогресса. Связывать эти ограничивающие нас открытия с возможным понижением уровня науки – значит отказывать человеку в праве думать и обвинять его в слабости, как только он выражает сомнение.
Глава 12
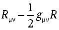
Уравнение Эйнштейна и общая теория относительности

Большие буквы R, G, T убедительны: мы уже не среди зыбких квантовых состояний ф, а в жесткой и вечной геометрии. Индексы m и n, расположенные попарно у основания больших символов, – это не апподжатуры[46], а обозначения координатных осей, образующих сетку, измеряющую пространство и время.
Жестко? Не так чтобы очень. Это уравнение описывает, как пространство-время искажается под действием материи, имеющей массу. В частности, левая часть уравнения

описывает свойства пространственно-временной сетки: размер ячейки и ее кривизну, в то время как в правой части стоит переменная величина Tμν описывающая распределение массивной материи или энергии на этой сетке.
Доминирующие эффекты для космологии
После открытия в 1917 г. общей теории относительности Альбертом Эйнштейном пространство (на самом деле пространство-время) перестало быть однородной и неизменной сеткой. Это все еще сетка, но деформированная, сжатая, раздутая, изогнутая и скрученная там, где присутствует материя.

Эти искажения и искривления изменяют траектории движения небесных (и земных!) объектов: мы интерпретируем это как силу, которую называем «гравитацией». Уравнение Ньютона раньше говорило:
«Объекты, имеющие массу, притягивают друг друга».
Эйнштейн внес следующую поправку:
«Массивные объекты искривляют пространство-время вокруг себя. Другие объекты чувствуют это искривление, и результат взаимодействия кажется притяжением».
В нашей повседневной среде решения уравнений Эйнштейна очень мало отличаются от решений уравнений Ньютона, и яблоки падают именно там, где их ожидают. Единственным и хорошо известным примером практического использования общей теории относительности являются спутниковые системы геопозиционирования, такие как GPS или Глонасс: положение приемника GPS/Глонасс на Земле определяется по измерению времени задержки прохождения радиосигналов от нескольких спутников к приемнику. Это должны быть очень точные измерения расстояния между движущимися и неподвижными объектами, кроме того, находящимися в гравитационном поле Земли. Релятивистские эффекты в этом случае становятся вполне заметными, и они были учтены, когда данные системы разрабатывались.
Даже в масштабах Солнечной системы отклонения от закона Ньютона очень малы: крошечное смещение световых лучей, мизерное продвижение Меркурия по своей орбите…
Сила общей теории относительности проявляется только на очень больших пространственных или временных масштабах. Объединяя взаимодействием пространство, время и материю, она дает физикам возможность изучать геометрию и структуру всей Вселенной. Современная космология родилась из этого уравнения в результате развития приборов наблюдения.
Описание всей Вселенной
В течение первых лет учебы в университете я читал различные научно-популярные статьи и книги, посвященные общей теории относительности, но спецкурс по данному предмету у меня был только на последнем курсе магистратуры. Этот первый реальный контакт произвел на меня сильнейшее впечатление, и я помню чувство восхищения строгостью геометрии, необъятностью расстояний и действующих сил, плавным, непрерывным характером уравнения…
В сущности, это не более того, что каждый может почувствовать, глядя на небо, полное звезд. Паскаль признавался: «Вечная тишина этих бесконечных пространств пугает меня». И поверьте, понимание уравнения Эйнштейна не приносит никакого успокоения! Обратив взгляд на небо, человека действительно может охватить благоговейный трепет, или же он просто удовлетворит свое тщеславие узнаванием созвездий, планет Солнечной системы или еще чем-то. Космология сводится к изучению реальности гигантских расстояний и временных интервалов, а также к количественному, чувственному, личностному ощущениям размера и места человека во Вселенной.
Опираясь на общую теорию относительности и благодаря длинной цепи наблюдений и астрономических измерений с Земли и со спутников, космология пытается описать эволюцию Вселенной. Это революция, которая началась в конце 1920-х гг., когда священник Жорж Леметр[47] предложил решение уравнений Эйнштейна в виде непрерывно расширяющейся Вселенной и предсказал некоторые наблюдаемые на Земле следствия такого расширения. Спустя два года измерения Эдвина Хаббла, по-видимому, подтвердили гипотезу Леметра. До сего момента Вселенная считалась вечной и неизменной; внезапно мы обнаружили, что это, скорее всего, не так.
Расширение и Большой взрыв
Это расширение означает, что две отдаленные точки во Вселенной, например галактики, удаляются друг от друга. Позвольте мне развеять распространенное заблуждение, что это расширение означает «взрыв в бесконечном пространстве из крошечного объема». Нет, вполне возможно иметь бесконечные размеры и в то же время подвергаться расширению. Чтобы визуализировать это, вам просто нужно нарисовать бесконечную прямую линию, без ограничений слева или справа. Мы можем удалить все точки друг от друга, умножив расстояния в два раза, таким образом, линия растягивается сама в себя. Нет проблем, поскольку нет ограничений… Это именно то, что происходит с нашей Вселенной, но в трех пространственных измерениях (длина, ширина, высота). Может показаться странным, что вычисляемое с легкостью для прямой линии становится сложнее для трехмерного пространства!
Итак, нынешняя Вселенная расширяется. И поскольку она ведет себя более или менее как газ, то постепенно остывает[48]. Но что произойдет, если мы прокрутим фильм назад, двигаясь во времени, начиная с сегодняшнего дня? Мы увидим, как Вселенная сжимается и нагревается. Мы могли бы представить себе, что, если бесконечно продолжить этот процесс, плотность и температура Вселенной станут бесконечными в бесконечное время в прошлом. Но уравнения говорят немного о другом: если возвращаться назад во времени, скорость увеличения плотности и температуры возрастает настолько, что плотность становится бесконечной строго в определенное время в прошлом. Если точно, то эта сингулярность существовала краткий миг – согласно современным расчетам, примерно 13,8 млрд лет назад. Это и есть знаменитая модель Большого взрыва.
Эволюция Вселенной
После появления общей теории относительности и благодаря развитию ядерной физики были установлены механизмы свечения и производства энергии звездами. Ученые также поняли, что почти все химические элементы, окружающие нас сегодня, не существовали при рождении Вселенной, а были произведены в ядерных реакциях в процессе эволюции звезд или во время их взрывов, таких как сверхновые звезды. Это придает конкретный смысл выражению «мы все – звездная пыль»… Только несколько «первичных» элементов, таких как водород и гелий, появилось в самые первые минуты существования Вселенной, и модель Большого взрыва способна описать условия синтеза этих первых атомных ядер. Измерение в середине XX в. относительного содержания различных элементов в космосе обеспечило весьма яркое (вот уж действительно!) подтверждение модели Большого взрыва. С тех пор при помощи многочисленных наблюдений и измерений эта модель многократно проверялась на прочность и все эти испытания выдерживала на «отлично».
Если мы отбросим креационистские тезисы и начнем полагаться только на экспериментальные наблюдения, то сама идея «возраста Вселенной» будет выглядеть революционной. Если опираться на человеческий опыт, то что может быть более постоянным, чем движение планет и звезд? Смена времен года, положения планет, затмения – все указывает людям, что их пребывание на Земле – лишь крошечный миг в неизменной Вселенной. Согласитесь, наша жизнь очень коротка по сравнению с почти 14 млрд лет Вселенной, но благодаря нашему знанию мы поняли, что Вселенная не всегда была такой, как сейчас. И мы смогли это осознать лишь благодаря размышлениям и наблюдениям. В результате чего вновь освободили самих себя от чувств и интуиции…
Черные дыры: лаборатория… в воображении
Благодаря современной технике для оптических наблюдений с их компьютерной обработкой некоторые эффекты общей теории относительности теперь можно увидеть наглядно, причем самым впечатляющим образом: световые лучи от далеких галактик, следуя за пространственно-временным континуумом, искаженным присутствием материи, проецируют гравитационные миражи, грандиозные светящиеся дуги или множественные изображения типа гало. Не так давно, используя необычайно чувствительный измерительный прибор[49], физики обнаружили прохождение через Землю гравитационных волн, возникших при слиянии двух очень далеких черных дыр. Это наблюдение опять-таки оказалось очередным подтверждением общей теории относительности.
Хорошо известные широкой публике черные дыры являются прямым следствием уравнения Эйнштейна. Они представляют собой настолько сконцентрированную массу, что пространство-время искривляется, формируя замкнутую поверхность, из-за которой наружу не могут вырваться даже лучи света. Теперь нам кажется, что эти дыры есть везде, начиная с центра нашей галактики, Млечного Пути, где находится черная дыра «среднего» размера весом почти 4 млн солнечных масс – пустяк по сравнению с 17 млрд солнечных масс самой гигантской черной дыры, известной на сегодня…
Черные дыры – это в первую очередь необычные астрофизические объекты, но они также являются прекрасной областью исследований для фундаментальной физики. В чрезвычайно компактном мире черной дыры, замкнутом на себя, все законы меняются. Это касается также и понятия об информации: что происходит с информацией о природе, энергии, направлении движения частиц или объектов, когда они попадают в черную дыру?
Данная загадка до сих пор смущает ученых, тем более что благодаря Стивену Хокингу мы знаем о медленном испарении черных дыр… и, как только черная дыра полностью испаряется, куда исчезает информация, которую несли все поглощенные ею частицы? Наверное, здесь надо заметить, что испарение Хокинга является чисто квантовым эффектом, а общая теория относительности находится в ужасном противоречии с квантовой механикой. Черная дыра – действительно лучшее место, чтобы противопоставить, пусть пока лишь мысленно, два столь разных представления о мире: общую теорию относительности, идеальную, гладкую и геометрически выверенную, и квантовую механику, такую странную, зыбкую и неопределенную.
Здесь и сейчас
Революционным аспектом в открытии общей теории относительности стала, пожалуй, возможность (или, по крайней мере, намерение) рассматривать всю Вселенную как объект для измерений и исследований. Может быть, это всего лишь очередная суета, и люди будущего будут относиться к нам так же, как мы относимся к нашим предкам из Средневековья, которые думали, что населяют плоскую землю под бархатным навесом, усыпанным хрустальными звездами.
Может быть. Но давайте подытожим эти честолюбивые умозаключения: благодаря наблюдениям и их интерпретации в рамках общей теории относительности Вселенная теперь имеет возраст (13,8 млрд лет), форму (однородно плоская, без кривизны), плотность (10-26 кг/м3, что соответствует примерно 6 атомам водорода на кубический метр, легко запоминающееся число!). Модель Большого взрыва позволяет описать эволюцию ранней Вселенной, начиная с нескольких наносекунд после ее рождения и до сегодняшнего дня.
Вселенная как измеримый объект все еще является чистым листом для различных видов творчества. Согласно некоторым теоретическим моделям, Вселенная может быть скручена или замкнута сама на себя; некоторые ее конфигурации таковы, что ни один автор научной фантастики не осмелился бы предложить такое! Однако все эти модели вступают в противоречие с наблюдениями, и кажется весьма вероятным, что наша Вселенная настолько простая и плоская, насколько это возможно.
И это все? Бесконечная плоская Вселенная, постепенно становящаяся все более разреженной и холодной? Некоторые ученые несколько разочарованы. Правда, вместо разочарований и сетований мы должны быть счастливы, что нам «повезло» жить в эпоху, когда силы, управляющие динамикой Вселенной, гармонично уравновешивают друг друга и когда она все еще содержит достаточно места и материи, чтобы разместить удобную галактику, в пригороде которой мы живем, на безопасном удалении от чудовищной центральной черной дыры…
Глава 13
Уравнение Дирака
(iY^d^ – m)ф = 0
Это уравнение все еще волнует меня, как ребенок… Самый красивый, самый чистый из всех. Более красивый, чем E = mc2, и не забрызганный кровью истории.
Даже если кто-то не любит математику или у кого-то ровные линии и рациональные пропорции вызывают некоторое неприятие, изящество символической записи этого уравнения не может не восхищать: гармоничная округлость γ, обходительное д, резкое i, деликатные индексы μ, записанные как апподжатуры[50], и окутанное глубокой тайной ψ.
Признаюсь, данное уравнение немного конфиденциальное, поскольку изучается лишь на последних курсах университета, требуя хорошей подготовки в области физики и математики, а именно теории относительности и квантовой механики.
И Дирак создал антиматерию
Как мы узнаем позже, Поль Дирак смог разглядеть в своем уравнении гораздо больше того, для чего оно изначально было создано: он открыл антиматерию, совершив опять же концептуальную и практическую революцию. В этом смысле уравнение Дирака является прекрасным примером власти разума над материей – любому фанату буддизма следует пройти пятилетний университетский курс, чтобы понять его суть.

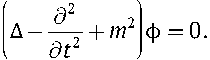
В 1928 г. квантовая механика и теория относительности уже базировались на хорошем теоретическом и математическом фундаменте. Но все попытки примирить или соединить их в единое целое оказывались неловкими и бесплодными. Для описания квантовой частицы при релятивистских скоростях[51] существовало уравнение Клейна-Гордона:

Однако оно так и осталось чисто теоретическим упражнением, поскольку оказалось неприменимым к каким-либо известным частицам вроде электронов или протонов, составляющих атомы. В любом случае вы согласитесь со мной, что с графической точки зрения это уравнение – явная неудача, особенно с его неуклюжими дробями, значком ∆ и полноватой ф.
Причина, по которой оно неправильно описывает электрон, связана в том числе с наличием у этой частицы дополнительного свойства, называемого спином. Само это слово[52]дает повод для использования наглядного представления о спине как о моменте импульса некоего волчка. На самом деле спин – это чисто квантовая характеристика, которая не требует наличия твердого вращающегося тела: элементарная частица, которая по определению является точечной, может иметь спин, что, в частности, относится и к электрону.
Именно спин влияет на то, как частица взаимодействует с магнитным полем: можно определить спин электрона, определив изменение характера его движения в магнитном поле определенной конфигурации. В эксперименте при измерении всегда возвращается одно из двух значений (а не непрерывное множество значений!), которые обычно связаны с двумя спиновыми состояниями электрона, обозначаемыми стрелочками вверх (↑) или вниз (↓).
В далеком 1928 г. (когда это открытие сделал Поль Дирак) спин был уже хорошо известен в течение нескольких лет и получил удовлетворительное квантово-механическое описание. Однако уравнение Клейна-Гордона игнорировало это понятие: всем казалось невозможным описать электрон как квантовый и релятивистский одновременно, хотя обе эти теории уже произвели революцию в физике!
Уравнение должно делать свое дело
Благодаря своему гениальному озарению Дирак понял, что уравнение Клейна-Гордона, возможно, слишком незатейливое и непременно где-то скрывает в себе этот коварный спин.
Он предположил, что оператор
может быть разложен на два множителя в виде (D)х(D), где каждый из множителей (D) будет зависеть от спина, а их произведение – нет.
Простая аналогия: возьмите число 4. Я мог бы получить его, взяв квадрат числа 2: 4 = (2) х (2). Но я мог бы также взять квадрат числа -2: 4 = (-2) х (-2). При возведении в квадрат я потерял информацию о знаке между +2 и -2. Точно так же уравнение Клейна-Гордона потеряло информацию о направлении спина.
Дирак понял, что он действительно может выполнить разложение оператора и записать такой множитель (D), если он рассмотрит компоненты электрона с положительным (↑) и отрицательным (↓) спином по отдельности, но для этого необходимо гармонично объединить их с помощью коэффициентов ϒμ, которые вы видите в его уравнении. Попутно он обнаружил забавные математические свойства данных коэффициентов, для которых A х B не равно B х A…
Нет, этим рассказом я не пытался полностью объяснить происхождение уравнения Дирака. Я его привел лишь для того, чтобы дать вам почувствовать, что само создание уравнения оказалось возможным благодаря глубокой культуре, острому воображению и неограниченной свободе мышления.
Творение Дирака описывает электрон и допускает немедленное использование, например для точного расчета энергетических уровней в атомах, в полном согласии с измерениями[53].
Полностью физическое решение
На этом история могла бы закончиться, Дирак наверняка получил бы свою Нобелевскую премию, а его уравнение преподавали бы в университетах. Но самое лучшее было впереди.
Внимательно изучая результаты, полученные с помощью уравнения, Дирак заметил, что возможны два типа решений. В одном выходило, что оно описывало электроны, как его создатель в первую очередь и хотел. А во втором являлось математической функцией, которую невозможно было интерпретировать в терминах электронов. Согласно этому решению, такие частицы должны были иметь отрицательную энергию…
Вы должны понимать, что такая ситуация довольно часто встречается в физике. Чтобы смоделировать какое-то явление, ученые, прикладывая массу усилий и ум, создают неплохую систему уравнений. Если этот шаг успешен, то физическая величина, или функция, ради получения которой строилась модель, получается в результате решения этой системы уравнений. Но иногда у них существуют и другие решения, которые не несут никакого физического смысла, например имеют отрицательную энергию. Это ложные решения, но они совершенно не портят начальной ценности уравнения. Нужно лишь сопроводить инструкцию по эксплуатации предупреждением: «.при выполнении расчетов будьте осторожны, дабы исключить ложные, нефизические решения».
Это то, что сделал бы любой средний или даже очень хороший физик, который изобрел новое уравнение. Но Дирак в этот момент остановился и задумался. Что собой представляет это дополнительное нефизическое решение? В чем может заключаться физический смысл электрона с отрицательной энергией? И он понял, что дополнительное решение может успешно описывать реальную частицу с той же массой и энергией, что и электрон, но с противоположным электрическим зарядом.
Дирак поверил в свое предположение. Это новое решение не было ложным. Все слишком хорошо согласовывалось, чтобы быть бесполезным: это неожиданное решение должно описывать реальную частицу, которая действительно существует в природе. Дирак изобрел античастицы: позитрон стал античастицей электрона, антипротон – античастицей протона. Позитрон и антипротон могут объединиться, чтобы сформировать антиатом, который, в свою очередь, может образовывать антимолекулы…
Антиматерия существует!
Благодаря этому основополагающему шагу Дирака было создано антивещество, мир, который оказывается отражением обычной материи. Дирак также понял, что можно создавать пары частица-античастица из чистой энергии, и наоборот, частица и ее античастица при встрече аннигилируют в энергию.
Когда Карл Андерсон в 1932 г. наблюдал в космических лучах след «электрона», но с противоположным зарядом, он знал, что только что экспериментально открыл позитрон, предсказанный Дираком. С тех пор мы наблюдали античастицы всех известных частиц. Частицы и античастицы изучаются на равных основаниях в физических экспериментах. Позитрон нашел применение в медицине: визуализация внутренних органов с помощью ПЭТ-сканирования, или позитронно-эмиссионной томографии. Аналогичный метод используется и для контроля материалов.
Если рассматривать данный процесс с теоретической точки зрения, то существование античастиц знаменует собой революцию. Поскольку пара частица-античастица может быть создана из чистой энергии, это означает, что события, в которых ее выделяется достаточно много и она сконцентрирована в малом пространстве, способны создавать такие пары. Понаблюдаем за столкновением двух частиц A и B: если энергия столкновения достаточно велика (плюс выполнено еще несколько других условий), то это может привести к рождению в данном процессе электрон-позитронной пары:
A + B → A + B + e+ + e.
Следовательно, в реакциях между элементарными частицами их число не сохраняется! Это здорово отличает квантовую интуицию от «классической», в которой элементарные частицы представляются бильярдными шарами. Вместо этого мы играем в довольно странный бильярд, где шары появляются на столе и исчезают после каждого удара!
Веруя в уравнение
Эти же рассуждения распространяются на любую известную или даже на еще неизвестную частицу: обладая достаточной энергией, можно создать ее как пару частица-античастица. Для полноты картины позвольте мне добавить, что некоторые частицы, такие как фотон (не имеющий электрического заряда или каких-либо других зарядов), являются своими собственными античастицами и в такой реакции могут быть получены только однократно[54].
Столкновения между известными частицами, таким образом, стали способом поиска новых элементарных частиц и новой физики: этот принцип лежит в основе экспериментов, проводимых на больших ускорителях, таких как БАК[55]в ЦЕРНе, в котором сталкиваются протоны со сверхвысокими энергиями. Вопреки тому что могла бы предположить классическая интуиция, исходящие частицы, наблюдаемые после столкновения двух протонов, не являются фрагментами исходных протонов. Они оказываются частицами, созданными только из энергии столкновения.
Как может одно-единственное уравнение мгновенно расширить область познания, намного превзойдя то, для чего оно было придумано? Не оттого ли, что оно содержит в себе б0льшую часть истины? Или все же оно раскрывает только те факты, которые мы уже знаем, не интерпретируя их?
Но откуда же тогда у Дирака была такая вера в свое уравнение? Почему его (необъятная) культура и опыт ученого заставили избегнуть инстинктивной реакции обычного физика на отрицательную энергию и постараться отделить фундаментальное (существование античастиц) от побочного (отрицательная энергия, если не знать, что это античастица)?
Графически элегантное и посылающее нам полные глубокого смысла сообщения, лаконичное в своем языке и творческое в своем дизайне, уравнение Дирака волнует меня, как самая красивая поэзия. Ничто лучше не описывает процесс рождения пары частица-античастица, чем бессмертные строки «…мы созданы из вещества того же, что наши сны…»[56].
Глава 14
Диаграммы Фейнмана

Эту главу я хочу посвятить не одному конкретному уравнению, как все предыдущие, а некой специальной системе анализа небольших графических эскизов, используемых для облегчения представления и решения всех уравнений, управляющих движениями и взаимодействиями элементарных частиц. Это так называемые диаграммы Фейнмана, названные в честь их изобретателя Ричарда Фейнмана (1918–1988). Они представляют собой язык, который может делать наглядными некоторые чрезвычайно сложные вычисления. Хотя сами по себе эти диаграммы никак не изменяют основную теорию, их роль состоит в существенном облегчении расчетов, а затем и самого способа рассуждений настолько, что они доминируют во всей физике элементарных частиц. Это отличная возможность задать вопрос о том, что стоит на первом месте: теория или ее представление? Какую роль играют ментальные образы, пусть даже самые абстрактные, в нашем понимании природы?
Основой всей современной физики элементарных частиц стала так называемая квантовая теория поля, то есть теория релятивистских полей. Она родилась из более или менее гармоничного союза специальной теории относительности (E = mc2) и квантовой механики.

После уравнения Дирака, первого впечатляющего шага вперед, квантовая релятивистская теория довольно быстро развивалась, и сами понятия «частица», «взаимодействие» и даже «вакуум» претерпели радикальные изменения. Одним из самых поразительных следствий уравнения Дирака стало то, что число частиц не сохраняется в результате взаимодействий. Квантовая механика уже бросила вызов всем интуитивным понятиям, таким как положение, скорость, энергия, частота, но до этого момента частица оставалась частицей.
После Дирака и открытия античастиц ничто уже не мешало тому, чтобы во время взаимодействия энергия превратилась в пару частица-античастица. В 1930-х гг. ученые напридумывали множество уравнений, позволяющих рассчитать вероятность взаимодействия частиц, которые учитывали в том числе и эти эффекты. Однако данные расчеты были долгими и слишком громоздкими. Используемые переменные считались математическими операторами, которые подчинялись сложным и неэлегантным математическим правилам. Лишь особо квалифицированным в математических расчетах физикам удалось получить теоретические предсказания для простейших взаимодействий между электронами, фотонами и атомными ядрами, которые были эффектно подтверждены экспериментами: преобразование фотонов высокой энергии в электрон-позитронные пары, излучение фотонов электронами, проходящими вблизи ядра, и т. д.
Тяжелейшие расчеты…
Воодушевленные этими первыми успехами, физики предприняли попытки выполнить еще более амбициозные расчеты, но вскоре поняли, что в некоторых случаях вероятность взаимодействия, получаемая в результате, имеет тенденцию становиться… бесконечной. Проблема оказалась в том, что квантовая часть теории допускает флуктуации энергии, а релятивистская – преобразование энергии в материю. То тут, то там всплывают реальные или «виртуальные» частицы, число и энергию которых невозможно контролировать, и вычисления теряют всякий смысл. Потребовались годы проб и ошибок (с конца 1930-х до примерно 1960-х гг.), чтобы создать теорию и овладеть практикой так называемой «перенормировки», довольно подозрительной процедуры с точки зрения чистой математики. Но благодаря ее применению физический смысл уравнений был сохранен, и эффективность релятивистской квантовой теории поля восстановлена[57].
Таким образом, вычисления сделались чрезвычайно утомительными, уравнения стали представлять собой длиннейшие цепочки математических операторов, и для подсчета всего одной-единственной вероятности взаимодействия простой учет уравнений и их членов становился ограничивающим фактором.
Небольшая схема для длительного расчета
И тут появился Ричард Фейнман. Фантастически одаренный физик, он совершил несколько фундаментальных научных открытий. В начале 1950-х гг. Ричард был ярким молодым человеком, который только что принял участие в «Манхэттенском проекте» – программе создания ядерного оружия в Лос-Аламосе. В частности, для разработки бомбы впервые потребовались численные расчеты на самых первых цифровых вычислительных машинах. Эти компьютеры имели довольно ограниченные функции, работали слишком медленно, а их программирование происходило каким угодно способом, но только не элементарным. Фейнман использовал всю свою изобретательность, выявляя повторения, зависимости и взаимозависимости, но осуществил вычисления самым оптимальным образом.




























