Текст книги "Большая Советская Энциклопедия (ЛЕ)"
Автор книги: Большая Советская Энциклопедия
Жанр:
Энциклопедии
сообщить о нарушении
Текущая страница: 58 (всего у книги 64 страниц)
Лёсс
Лёсс (нем. Löss), неслоистая, однородная известковистая осадочная горная порода светло-жёлтого или палевого цвета. Преобладают частицы 0,01—0,05 мм; глинистые частицы < 0,005 мм присутствуют в количестве 5—30%; некоторое количество частиц 0,01—0,05 мм представлено агрегатами, образовавшимися при коагуляции коллоидной части породы. Пористость Л. 40—55%; пронизан тонкими канальцами (макропорами, следами растительных остатков). По своему составу Л. относится обычно к суглинкам, реже к супесям. Крупные частицы в Л. состоят преимущественно из кварца и полевого шпата, в меньшем количестве – из слюд, роговой обманки и т. д.; в отд. прослоях изобилуют зёрна вулканического пепла, переносившегося ветром на сотни км от места извержения. Тонкие частицы в Л. состоят из различных глинистых минералов (гидрослюда, каолинит, монтмориллонит). В Л. иногда встречаются известковистые конкреции (местные названия: журавчики, дутики, погремыши), раковины наземных моллюсков и кости млекопитающих, особенно грызунов и мамонта.
Л. распространён в Европе, Азии, Северной и Южной Америке, преимущественно в степных и полупустынных районах умеренного пояса. Л. залегает в виде покрова – от нескольких м до 50—100 м – на водоразделах, склонах и древних террасах долин.
Вопрос о происхождении Л. ещё не получил общепринятого решения. Его образование связывали с различными геологическими процессами (на суше – с деятельностью ветра, дождевых и талых снеговых вод, почвообразованием и выветриванием, вулканизмом, осаждением космической пыли, осадкообразованием в озёрах и морях) и стадиями породообразования. В 1877 немецкий учёный Ф. Рихтгофен доказал субаэральное (на суше при ограниченной роли воды) происхождение китайского Л. Популярны теории эолового (В. А. Обручев), почвенного (Л. С. Берг) и комплексного (эоловые, делювиальные и почвенно-элювиальные процессы в засушливом климате) происхождения Л. В Л. имеются прослои с ясно выраженным почвенным профилем – погребённые почвы, которые свидетельствуют о более тёплых и влажных (межледниковых) эпохах, чем время лёссообразования (ледниковые эпохи).
Л. является материнской породой чернозёмных и серозёмных почв. Он используется для изготовления кирпича («сырец», «саман») и цемента, для отсыпки тела дамб и плотин. После увлажнения Л. под давлением собственного веса или веса сооружений часто уплотняется, происходят просадки грунта, что может вызывать аварии сооружений (см. Просадочные явления).
Лит.: Обручев В. А., Избранные работы по географии Азии, т. 3, М., 1951; Ларионов А. К., Приклонский В. А., Ананьев В. П., Лёссовые породы СССР и их строительные свойства, ч. 1, Л., 1959; Берг Л. С., Избр. труды, т. 3, М., 1960; Кригер Н. И., Лесс, его свойства и связь с географической средой, М., 1965; Cailleux A., Les loess et limons éoliens de France, P. – Liége, 1954; Guenther E. W., Sedimentpetrographische Untersuchung von Lössen, Tl 1, Köln – Graz, 1961; Richthofen F. von, China, Bd 1, B., 1877.
Н. И. Кригер.
Лессепс Фердинанд Мари де
Лессе'пс (Lesseps) Фердинанд Мари де (19.11.1805, Версаль, – 7.12.1894, Шене, департамент Эндр), французский дипломат, предприниматель. По образованию юрист. В 1825—49 занимал различные дипломатические посты в ряде стран Европы и Африки, в том числе Египте в 1831—37. Используя личные связи с представителями египетского двора, Л. в 1854 получил от правителя Египта Саида-паши концессию на сооружение Суэцкого канала, организовал Всеобщую компанию Суэцкого канала. В 1859—69 руководил строительством этого канала. В 1879—89 возглавлял акционерное общество по прорытию Панамского канала, которое потерпело скандальное банкротство в результате крупных хищений (см. «Панама»). В 1893 Л. был приговорён парижским судом к 5 годам тюремного заключения, но приговор вскоре был отменен.
С 1875 Л. – почётный член Английского королевского общества, в 1884 избран член Французской академии.
Лессинг Готхольд Эфраим
Ле'ссинг (Lessing) Готхольд Эфраим (22.1.1729, Каменц, Саксония, – 15.2. 1781, Брауншвейг), немецкий драматург, теоретик искусства и литературный критик-просветитель. Основоположник немецкой классической литературы. Родился в семье пастора. Образование получил в Лейпцигском (1746—48) и Виттенбергском (1748) университетах. Переехав в Берлин, отказался от духовной или университетской карьеры и от покровительства знати, вёл полуголодное существование независимого литератора. В 1760—65 секретарь губернатора Силезии, прусского генерала Тауэнцина. Совершил неудавшуюся попытку основать театр в Гамбурге (1767—68). Окончил свои дни в скромной должности библиотекаря брауншвейгского герцога. Основной пафос деятельности Л. – борьба с идеологией абсолютизма за создание демократической национальной культуры как средства политического объединения страны, уничтожения феодализма и сословности. Утверждая в ранних анакреонтических песнях право человека на радости жизни, Л. в баснях и эпиграммах зло высмеивал нравы знати и немецкого филистерства. В борьбе с классицизмом создал первую в Германии семейную «мещанскую» драму «Мисс Сара Сампсон» (1755) и комедию с национальными характерами «Минна фон Барнхельм» (1767), в которой просвещённая мораль торжествует над сословными и региональными предрассудками. В трагедии «Эмилия Галотти» (1772) гневно осудил деспотизм и произвол феодальных князей. Просветительская проблематика определяет и публицистическую деятельность Л. (сотрудничество в газете «Фоссише цайтунг», 1751—55; издание «Театральной библиотеки», 1754—1758, и др.). Против церковной реакции и религиозной нетерпимости, в защиту гуманности и общечеловеческого равенства направлена драматическая поэма «Натан Мудрый» (1779). Важнейшая заслуга Л. – обоснование учения о динамике и полноте отражения жизни как первоосновах поэзии («Лаокоон», 1766), защита теоретических принципов реалистического театра и драмы. В борьбе с аристократическим придворным театром Л. отстаивал правдивость и простоту театральных и драматургических форм («Гамбургская драматургия», 1767—69). В философии Л. явился одним из родоначальников материалистической традиции в Германии. Н. Г. Чернышевский посвятил Л. спец. монографию (1857). Высокую оценку деятельности Л. дали К. Маркс, Ф. Энгельс, Ф. Меринг. В 1888—1943 в Берлине существовал «Лессинг-театр».
Соч.: Sämtliche Schriften, 3 Aufl., Bd 1—23, Stuttg., 1886—1924 (Bd 22, Tl 2, 1919, содержит перечень литературы о Лессинге с 1749 по 1919); Gesammelte Werke, Bd 1—10, В., 1954—58; в рус. пер. – Собр. соч., т. 1—10, СПБ. 1904; Драмы, М. – Л., 1937; Гамбургская драматургия, М. – Л., 1936; Лаокоон, или О границах живописи и поэзии, М., 1957.
Лит.: Чернышевский Н. Г., Лессинг, его время, его жизнь и деятельность, Полн. собр. соч., т. 4, М., 1948; Гриб В. P., Жизнь и творчество Лессинга, в его кн.: Избр. работы, М., 1956; Фридлендер Г., Лессинг, М., 1957; Меринг Ф., Легенда о Лессинге, в его кн.: Литературно-критические статьи, т. 1, М. – Л., 1934; RiIIa Р., Lessing und sein Zeitalter, B., 1960; Seidel S., G. E. Lessing, 1729 – 1781. Eine Einführung in sein Leben und Werk, B., 1963; Ritzel W., G. E. Lessing, Stuttg. – [u. a.], 1966; Guthke K. S., Der Stand der Lessing-Forschung. Ein Bericht uber die Literatur von 1932—1962, Stuttg., 1965.
Г. М. Фридлендер.

Г. Э. Лессинг. «Минна фон Барнхельм». Илл. Д. Н. Ходовецкого (офорт, 1769).

Г. Э. Лессинг.
Лессинг Дорис Мей
Ле'ссинг (Lessing) Дорис Мей (р. 22.10.1919, Иран), английская писательница. Детство и молодость провела в Африке (Южная Родезия). С 1949 живёт в Лондоне. Автор антиколониальных романов «Трава поёт» (1950), дилогии «Марта Квест» (1952, русский перевод 1957)11 «Приличный брак» (1954) и африканского путевого дневника «Возвращение домой» (1957). Лучшее в творчестве Л. – сборники реалистических рассказов и повестей о нравах колониальных кругов Южной Африки. В середине 50-х гг. Л. пережила идеологический кризис, наиболее полно выразившийся в романе «Золотой дневник» (1962). Пьеса «Играй с тигром» (1962) и сборник рассказов «Мужчина и две женщины» (1963) трактуют тему безнадёжности современного стоицизма.
Соч.: African stories, L., 1964; Briefing for a descent into Hell, L., 1971; Landlоcked, L., 1965. в рус. пер. – Повести, М., 1958.
Лит.: История английской литературы, т. 3, М., 1958; Ивашева В. В., Английская литература. XX в., М., 1967; Brewster D., D. Lessing, N. Y., [1965].
Лессинг Карл Фридрих
Ле'ссинг (Lessing) Карл Фридрих (15.2.1808, Бреслау, ныне Вроцлав, Польша, – 5.6.1880, Карлсруэ), немецкий живописец. С 1826 жил в Дюссельдорфе (где учился в АХ), с 1858 – в Карлсруэ. Виднейший представитель дюссельдорфской школы, писал романтические пейзажи («Горный пейзаж», 1847, Музей изобразительных искусств, Лейпциг) и большие исторические полотна, отмеченные стремлением к исторической и психологической правдивости образов. Картины на темы движения гуситов («Проповедь гуситов», 1836, Национальная галерея, Берлин) созданы под влиянием подъёма немецкого демократического движения. Ф. Энгельс приветствовал обращение Л. к идеям социализма.
Лит.: Маркс К., Энгельс Ф., Соч., 2 изд., т. 2, с. 520; Hütt W., Die Düsseldorfer Malerschule. 1819—1869, Lpz., 1964.

К. Ф. Лессинг. «Королевская чета, оплакивающая смерть дочери». 1830. Эрмитаж. Ленинград.
Лессировка
Лессиро'вка (от нем. Lasierung), тонкие прозрачные или полупрозрачные слои красок, которые наносятся на просохшие или просыхающие краски картины, чтобы изменить, усилить или ослабить цветовые тона, обогатить колорит, добиться его единства и гармонии. Л. обычно заканчивалось исполнение картины живописцами 16—19 вв. См. также Живопись.
Лесснер Фридрих
Ле'сснер (Lessner) Фридрих (27.2.1825, Бланкенхайн, близ Веймара, – 1.2.1910, Лондон?), деятель немецкого и международного рабочего движения, друг К. Маркса и Ф. Энгельса. По профессии портной. Член Союза коммунистов. Участник Революции 1848—49 в Германии.
В 1852 во время Кельнского процесса против коммунистов был приговорён к 3 годам заключения в крепости. После освобождения эмигрировал в Лондон. В 60-х гг. активно участвовал в работе 1-го Интернационала, был член его Генерального совета и делегатом многих конгрессов. Последовательно отстаивал линию К. Маркса и Ф. Энгельса. Принимал участие в английском рабочем движении. Приветствовал Революцию 1905—07 в России. Автор воспоминаний о встречах с Марксом и Энгельсом (в русском переводе см. в кн.: Воспоминания о Марксе и Энгельсе, 1956).
Лит.: Синельникова И., Ф. Лесснер, в сборнике: Маркс и Энгельс и первые пролетарские революционеры, М., 1961.
Лёссовидные отложения
Лёссови'дные отложе'ния, осадочные породы, внешне напоминающие лёсс и по составу относящиеся к суглинкам и супесям. Л. о. отличаются от лёсса наличием слоистости и прослоев галечников, более глинистым составом, включением раковин пресноводных моллюсков. Часто Л. о. залегают в виде небольших прослоев в аллювиальных галечниках (см. Аллювий). Л. о. распространены в различных ландшафтных зонах. В центральной и северной частях Восточно-европейской равнины они известны под названием покровных суглинков. Л. о. могут иметь различное происхождение, представляя собой эоловые отложения, аллювий, делювий, элювий. Л. о. и лёсс объединяют под названием лёссовых пород. Некоторые исследователи не отделяют Л. о. от лёсса и не используют понятие лёссовые породы. Л. о., подобно лёссу, иногда обладают просадочными свойствами.
Лит. см. при ст. Лёсс.
Лёссовое плато
Лёссовое плато', Лёссовая провинция, природная область в Китае, в средней части бассецна р. Хуанхэ. Ограничена на Ю. хребта Циньлин, на В. хр. Тайханшань, на С. пустыней Ордос, на С.-З. пустыней Алашань, на З. восточными отрогами Куньлуня. Площадь около 430 тыс. км2, преобладающие высоты 1200—1500 м. В пределах Л. п. имеются отдельные хребты (Люпаньшань, Люйляншань, Утайшань и др.), гребни которых местами достигают 2500 м и более. В геологическом отношении Л. п. представляет собой впадину, заполненную мощной толщей мезозойских отложений, перекрытых лёссами. Мощность лёссов обычно колеблется от 100 до 200 м, возрастая на С. до 250 м. Рыхлые толщи лёссов подвергаются интенсивной эрозии. Сеть оврагов в некоторых районах достигает 5—6 км на 1 км2 при глубине 100—150 м. На С. преобладают лёссовые гряды и увалы, вытянутые в направлении господствующих ветров, с общей глубиной расчленения до 300—400 м; на Ю. развиты плоские и пологоволнистые плато, изрезанные оврагами. Климат умеренный с сухой холодной зимой и жарким летом. Средняя температура января от —8°С на С. до —4°С на Ю., июля – от 22°С на С. до 24°С на Ю. Осадков от 500 мм в год на В. до 250 мм на С.-З. Большая часть их выпадает во время летнего муссона (июль – сентябрь), обычно в виде ливней, стимулирующих развитие эрозии. Реки текут часто в глубоких ущельях и выносят огромное количество наносов. Годовой объём твёрдого стока р. Хуанхэ ниже Л. п. превышает 1,3 млрд. т. Почвы на лёссах характеризуются высоким плодородием, но в большинстве своём они смыты. Естественная растительность (лесостепь на Ю.-В., сухая степь на С.-З.) сохранилась лишь в местах, неудобных для возделывания. Вся поверхность распахана, лёссовые склоны высотой до 1000 м и более искусственно террасированы. Возделываются хлопчатник, просо, гаолян, пшеница. Месторождения каменного угля, железной руды, нефти, горючих сланцев, гипса, соли. Л. п. (особенно долина р. Вэйхэ) имеет высокую плотность населения. Важнейшие города – Сиань, Тайюань, Ланьчжау.
В. Т. Зайчиков.
Лессония
Лессо'ния (Lessonia), род бурых водорослей из порядка ламинариевых. 5 видов, главным образом в холодных и умеренных морях Южного полушария, где Л. образует настоящие подводные леса; в Северном полушарии известен 1 вид – в Охотском море. Слоевище длиной до 4 м, состоит из разветвленного ствола с ризоидами при основании и пластинами на концах ветвей.
Лестер
Ле'стер (Leicester), город в Великобритании, в восточном Мидленде, на р. Сор. Административный центр графства Лестершир. 283,5 тыс. жителей (1971). Крупный транспортный узел. Трикотажная и обувная промышленность, производство машин для этих отраслей, а также электротехнических изделий, станков; химическая промышленность. Университет.
Лестершир
Ле'стершир (Leicestershire), графство в Великобритании, на равнине Мидленд, в бассейне р. Трент. Площадь 2,2 тыс. км2. Население 771,2 тыс. человек (1971). Административный центр – г. Лестер. Входит в индустриальный район Средней Англии. Трикотажная, кожевенно-обувная, машиностроительная промышленность. Добыча каменного угля и железной руды. В сельском хозяйстве развито преимущественно интенсивное животноводство (крупный рогатый скот и овцы).
Лестница существ
Ле'стница суще'ств, распространённая среди натуралистов и философов 18 в. идея иерархического расположения тел природы, начиная от самых простых неорганических тел (минералы) и кончая наиболее сложными живыми существами. Идею об усложнении форм природы высказал Аристотель в 4 в. до н. э. Во 2-й половине 18 в. Л. с. построил Ш. Бонне, поместив выше человека ангелов, архангелов и т. д. Теологические построения Бонне резко критиковали французские материалисты (Д. Дидро, Ж. Робине и др.), а также рус. философ-материалист А. Н. Радищев. Впервые историческое объяснение существования живых тел различной степени сложности дал Ж. Б. Ламарк; Л. с. он рассматривал как результат эволюции организмов (см. Ламаркизм). Окончательно утвердил идею развития органического мира от простого к сложному Ч. Дарвин. См. также Дарвинизм.
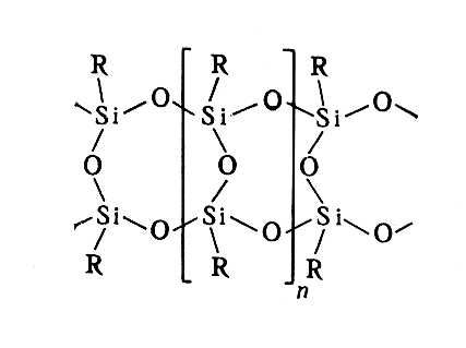
Лестничные полимеры
Ле'стничные полиме'ры, полимеры со сдвоенной цепью, полимеры с регулярной линейной сеткой, высокомолекулярные соединения полициклической структуры, построенной из конденсированных циклов. Л. п. получили своё название из-за сходства схемы проекции плоскости макромолекулы с лестницей.
В зависимости от химического состава основной цепи Л. ц. могут быть органическими (карбоциклическими и гетероциклическими), элементоорганическими и неорганическими. По термической, химической и радиационной устойчивости Л. п. превосходят линейные полимеры аналогичного состава. Это обусловлено тем, что для разрушения основной цепи макромолекулы линейного полимера достаточно разорвать одну химическую связь (рис., а), в то время как для разрушения цепи Л. п. необходим разрыв двух (рис., б) или более (рис., в) связей. Высокая термостойкость присуща и др. полимерам с регулярным расположением циклов в цепи, связанных друг с другом через один общий атом, – спирополимерам.
Структурные модели и структуры спирополимеров и некоторых Л. п. с регулярной линейной сеткой приведены ниже.
Л. п. могут быть синтезированы как циклизацией соответствующих линейных полимеров, так и непосредственно полимеризацией или поликонденсацней мономеров.
Техническое применение большинства Л. п. осложняется их недостаточно высокой механической прочностью. Кроме того, Л. п. очень трудно перерабатывать, т. к. они нерастворимы и неплавки. Л. п. используются в виде волокон, плёнок и покрытий, устойчивых к действию тепла, света, радиации и химических реагентов.

Структурная модель спирополимера

Структурная модель лестничного полимера со сдвоенной цепью.

Структурная модель спирополимера. Неорганический хлористый палладий.

Структурная модель спирополимера. Органический полиспирокеталь.

Структурная модель лестничного полимера со сдвоенной цепью. Структура полимера.

Типы разрывов основных цепей линейных и лестничных полимеров.

Элементоорганический полисилоксан.
Лесхоз
Лесхо'з в СССР, предприятие лесного хозяйства. Л. делят на лесничества. Л. организуют рациональное и неистощительное пользование лесами, улучшают их породный состав, повышают продуктивность с помощью осушительных работ, рубок ухода, реконструкции малоценных насаждений и др.; занимаются возобновлением леса, облесением песков, эродированных и др. земель. Л. отпускают лес лесозаготовителям и осуществляют контроль за правильным его использованием; охраняют леса от пожаров, порубок и хищений и т. д. Л. также ведут лесозаготовки, организуют производство товаров народного потребления из древесины и наиболее полное использование продуктов побочного пользования в лесу (сенокошение, сбор грибов, ягод, лекарственных трав и др.). Л. оказывают помощь колхозам и др. держателям леса и контролируют правильное его использование. Территория Л. занимает обычно от нескольких тыс. га в малолесных районах до сотен тыс. га в лесистых и малонаселённых районах СССР.
Лесьмян Болеслав
Ле'сьмян (Leśmian) Болеслав (22.1. 1877, Варшава, – 5.11.1937, там же), польский поэт, член Польской академии литературы (1933). Окончил юридический факультет Киевского университета (1903). В 1901—07 сотрудничал в польской и русской периодике. В 1911 основал в Варшаве экспериментальный Художественный театр. Начав творческий путь как представитель польского символизма, Л. стал одним из оригинальных польских лириков 20 в. Для его сборников «Сад па распутье» (1912), «Луг» (1920), «Лесное деяние» (опубликовано посмертно, 1938) и др. характерно слияние условного, сказочного мира с реальным, стремление, иногда окрашенное мистицизмом, «раствориться» в природе. Л. принадлежит также обработка мотивов народных сказок «Сказания о Сезаме» (1913), «Приключения Синдбада-Морехода» (1914).
Соч.: Wiersze wybrane, Warsz., 1955; в рус. пер. – Стихи. [Вступ. статья А. Гелескула], М., 1971.
Лит.: Богомолова Н. А., Болеслав Лесьмян, в кн.: История польской литературы, т. 2, М., 1969; Trznadel J., Twо'rczość Leśmiana, Warsz., 1964; Studia о Leśmianie, [Warsz., 19711 (библ. с. 412—13).

Б. Лесьмян.
Лесюэр Жан Франсуа
Лесюэ'р, Лесюёр (Lesucur, Le Sueur) Жан Франсуа (15.2.1760, Дрюка-Плесьель, близ Абвиля, – 6.10.1837, Париж), французский композитор, хоровой дирижёр и музыкальный писатель, член Института Франции (1813). Работал хоровым дирижёром, с 1786 возглавлял капеллу Собора Парижской богоматери. С 1793 профессор, затем инспектор Национального музыкального института (с 1795 – консерватория). В годы Великой французской революции создал ряд хоровых песен и гимнов для массовых празднеств, в том числе «Песнь триумфов Французской республики». В период консульства Наполеона был капельмейстеров при его дворе. В 1818 вернулся в консерваторию. Среди учеников Л. – Г. Берлиоз, Ш. Гуно, А. Тома. Л. принадлежат 9 опер, в том числе «Пещера» (1793) – один из образцов жанра «оперы спасения».
Лит.: Радиге А., французские музыканты эпохи Великой французской революции, пер. с франц., М., 1934, с. 129—43; Lamy F., Jean-François Le Sueur, P., 1912.








