Текст книги "Делай как коуч. Книга для тех, кто хочет достичь гениальных результатов в жизни"
Автор книги: Юрий Мурадян
Соавторы: Ольга Рыбина
сообщить о нарушении
Текущая страница: 4 (всего у книги 11 страниц) [доступный отрывок для чтения: 5 страниц]
Особенности обучения взрослых
Мы уже говорили, что коучинг – партнерство двух взрослых людей. И хотя коучи могут работать и с детьми, но это особая аудитория, которая требует своего подхода. Мы же сконцентрируемся на специфике работы со взрослыми.
Главная задача коуча – адаптировать человека к новым целям, научить его мозг мыслить по-новому. Фактически – научить его учиться, а это для взрослого человека оказывается весьма непросто.
Мы привыкли ассоциировать процесс обучения с детским возрастом, однако это не совсем так. Умение запоминать и использовать новые знания определяется нейропластичностью, то есть способностью мозга меняться под действием опыта. И она сохраняется на протяжении всей жизни, хотя разные функции мозга имеют различный пик активности.
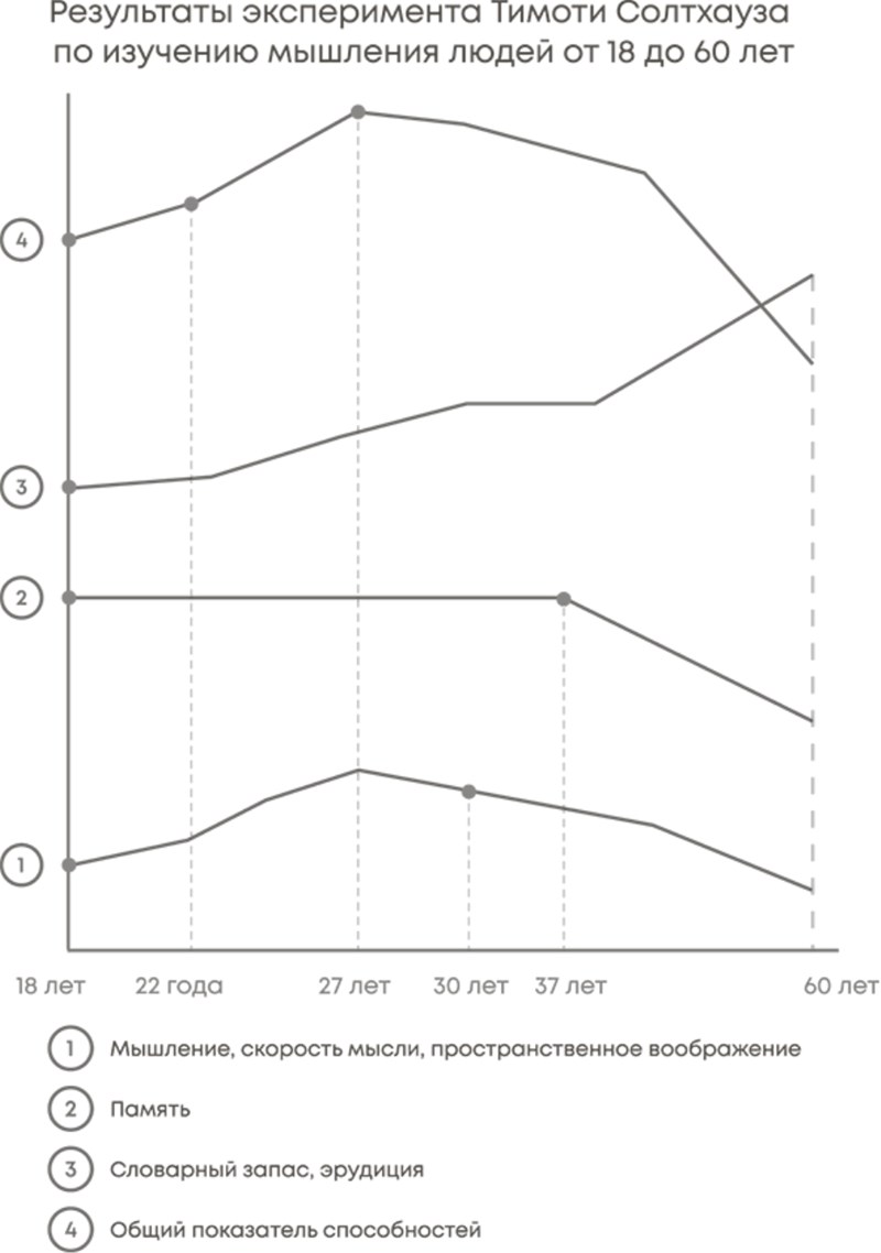
Профессор Тимоти Солтхауз из университета Виржинии выяснил, что с возрастом увеличиваются способности, основанные на накопленных знаниях, в то время как мышление, скорость мысли и пространственное воображение начинают постепенно ухудшаться ближе к тридцати годам.
На протяжении восьми лет он провел ряд экспериментов, в которых приняли участие около 2000 человек в возрасте от 18 до 60 лет. Им предлагалось решать головоломки, находить закономерности в последовательности букв и цифр и вспоминать определенные слова и символы. Результаты показали, что наилучшие способности проявляют люди в возрасте от 22 до 27 лет. При этом память человека оставалась неизменной до 37 лет, после чего начинала незначительно снижаться. А вот такие способности, как объем словарного запаса и эрудиция, улучшались вплоть до 60 лет.

Другие исследования показали, что обучение во взрослом возрасте способствует здоровью мозга.
Нейробиологи Калифорнийского университета в Ирвине представили первые наглядные доказательства того, что повседневные формы обучения оживляют нейронные рецепторы, которые помогают поддерживать работу клеток мозга на оптимальном уровне.
«Сохранение умственной активности по мере старения способствует поддержанию постоянной скорости передачи сигналов нейронами, что влияет на сохранение когнитивных функций», – отмечает Кристин Галл, профессор анатомии и нейробиологии.
Люди, которые занимаются умственным трудом, сохраняют когнитивные функции намного дольше. Вспомним, сколько таких примеров мы знаем из истории: Александр Флеминг открыл пенициллин в возрасте 47 лет, Мария Кюри получила чистый радий в возрасте 42 лет, Альберт Эйнштейн работал над теорией относительности, когда ему было 50 лет, а Николай Коперник завершил теорию движения планет в возрасте 60 лет.
Экономисты Бенджамин Джонс из Северо-Западного университета и Брюс Вайнберг из Университета Огайо проанализировали возраст нобелевских лауреатов XX–XXI веков, чтобы определить пик продуктивности. Оказалось, что большинство изобретений и открытий совершались в возрасте около сорока лет.
Научная деятельность предполагает умение быть открытыми новому, видеть нетривиальные пути решения задач, и эти функции оказываются доступными взрослому человеку. При этом процесс обучения взрослых отличается от обучения детей.
Термин «андрагогика», то есть наука об образовании взрослых людей, ввел еще в 1833 году немецкий учитель Александр Капп, но автором андрагогического подхода считается американский педагог Малкольм Ноулз. Он сформулировал основные принципы, которые должны помогать обучаться зрелым людям, и изложил их в своей книге «Взрослый ученик» (The Adult Learner), которая была впервые издана в 1973 году.
Согласно концепции Ноулза, есть несколько ключевых отличий обучения взрослых от обучения детей.
Во-первых, это практико-ориентированный подход. Зрелый человек просто не будет учиться, пока не поймет, как он сможет внедрить новые знания в свою жизнь, чтобы повысить ее качество. Кроме того, для него важно, чтобы новый материал был представлен на примере конкретных жизненных ситуаций, которые бы вписывались в его картину мира.
Оказалось, для того чтобы процесс получения новых знаний стал максимально эффективным, необходимо, чтобы человек выступал «движущей силой» обучения, то есть сам определял сроки и место обучения, брал на себя ответственность за процесс, а также устанавливал критерии оценки результата.
Для успешного обучения взрослому следует найти внутреннюю мотивацию к получению новых знаний, то есть изначально определить, за чем конкретно он идет в этот процесс. Мотивы могут быть самыми разными: продвижение по службе, выход на новый финансовый уровень, гармонизация сфер жизни. Главное – четкое понимание, как новые навыки помогут закрыть его актуальные потребности.
Треугольник партнерства Рыбиной – Мурадяна
Эти принципы легли в основу структуры профессиональной коуч-сессии, которая определяется списком ключевых компетенций.
Список необходимых действий коуча для создания контракта на сессию
1. В партнерстве с клиентом и заинтересованными сторонами формирует общий план и цели на коучинг.
2. В партнерстве с клиентом определяет совместимость коуча и клиента.
3. В партнерстве с клиентом определяет или подтверждает, чего клиент хочет достичь в ходе сессии.
4. В партнерстве с клиентом определяет, на что, по мнению клиента, нужно обратить внимание или что нужно рассмотреть, чтобы достичь желаемого результата сессии.
5. Выступает партнером для клиента при определении или уточнении критериев измерения успеха всего коучингового процесса или отдельной сессии
6. Выступает партнером клиента в управлении временем и фокусом внимания в сессии.
7. Продолжает вести коучинг в направлении желаемого для клиента результата до тех пор, пока клиент не выберет другое направление.
8. В партнерстве с клиентом завершает коучинговые отношения, отдавая должное ценности этого опыта.
Список необходимых действий коуча для развития клиента в процессе коучинга
1. Выступает партнером для клиента при постановке целей, проектировании действий и определении параметров ответственности, которые интегрируют и расширяют новые знания (выводы).
2. Признает и поддерживает автономию клиента при постановке целей, проектировании действий, определении способов управления ответственностью.
3. Поддерживает клиента в выявлении возможных результатов или выводов из определенныхпошаговых действий.
4. Приглашает клиента подумать, как двигаться вперед, включая размышления о ресурсах, поддержке и возможных препятствиях.
5. Выступает партнером для клиента, чтобы резюмировать, чему научился клиент и что он узнал в рамках сессий или между сессиями.
6. Отмечает прогресс и успехи клиента.
Известный американский психолог Карл Роджерс сформулировал психологические особенности взрослых людей, которые следует учитывать при построении процесса обучения.
Люди изначально обладают большим потенциалом к обучению. Необходимо создать среду, в которой этот потенциал сможет раскрыться. Для эффективного обучения важно, чтобы человек чувствовал себя в безопасности и его личности ничего не угрожало. В процессе обучения задействуются все аспекты личности человека, в результате чего происходят изменения в самоорганизации и самовосприятии. Большая часть обучения заключается в практике.
Эти принципы также нашли свое отражение в коучинговых компетенциях. Таким образом, коуч в процессе проведения сессии способствует созданию условий, которые максимально раскрывают способности к обучению именно у взрослых людей.
Процесс совершенствования навыков никогда не прекращается. Его можно представить в виде спирали, где каждый последующий виток похож на предыдущий, но проходит на более высоком уровне.
Психолог Альберт Бандура, основатель социальной теории обучения, выделил четыре этапа, которые человек проходит на каждом витке этой спирали.

1. Неосознанная некомпетентность
Это то, о чем мы даже не подозреваем. Сюда попадают те области знаний, с которыми человек еще никогда не сталкивался.
Например, студент может не знать о программах анализа и подсчета данных и вести сложные вычисления вручную. Или маленький ребенок пока не знает о существовании самоката и преспокойно гуляет пешком.
2. Осознанная некомпетентность
На самом деле, это самый важный этап. Когда мы узнаем о собственном незнании, нам открывается огромное пространство для деятельности. Теперь мы принимаем решение, хотим ли перейти на следующий этап или нет, и в случае с положительным ответом ищем те пути, которые помогут нам в этом.
Например, студент может пройти обучающие курсы онлайн, с программой, или попросить друзей объяснить ему основные моменты; ребенок просит маму купить самокат и научить его кататься.
3. Осознанная компетентность
Мы уже овладели определенными знаниями и навыками, но пока прикладываем немало усилий, чтобы внедрить их в жизнь. Студент сидит ночи напролет, чтобы запомнить все последовательности команд, а ребенок, хоть и катится на самокате, но пока медленнее, чем ходит пешком.
4. Неосознанная компетентность
Эту стадию можно назвать мастерством. Мы настолько хорошо овладели новым навыком, что применяем его, уже не задумываясь. Студент загружает сложные расчеты в программу и идет заниматься другими делами, а ребенок едет на самокате, болтая по дороге с мамой.
СОКРАТ ГОВОРИЛ: «Я ЗНАЮ, ЧТО НИЧЕГО НЕ ЗНАЮ,НО ДРУГИЕ НЕ ЗНАЮТ ДАЖЕ ЭТОГО»
Но вдруг ребенок замечает перед собой подростка, который выполняет на самокате сложные трюки. В голове возникает вопрос: «Так можно было?» – и он переходит на новый виток спирали.
Задача коуча в процессе работы с клиентом – вывести его на стадию осознанной некомпетентности, то есть подсветить те области, о которых клиент пока не догадывается, и дальше, в партнерстве с ним, пройти остальные стадии вплоть до неосознанной компетентности – мастерства. В результате клиент, как мастер, создает из своей жизни шедевр.
Одним из важных инструментов в работе коуча, который помогает клиенту обучаться на основе собственного прошлого опыта, является модель экспериментального обучения Дэвида Колба. Она состоит из четырех повторяющихся этапов действия и мышления.
1. Конкретный опыт
Возникновение новой ситуации и приобретение нового опыта или переосмысление уже существующего.
2. Осмысление опыта
Происходит анализ полученного опыта, при котором человеку важно понять, какие положительные и отрицательные моменты были в произошедшей ситуации, на что она повлияла, к каким последствиям привела.
3. Теоретическая модель
В процессе анализа прошлого опыта вырисовывается новый путь решения, происходит генерация идей и выбор идеи, наиболее подходящей под поставленную задачу.
4. Применение на практике
Пришло время поэкспериментировать и проверить пригодность созданной модели.

В результате последнего этапа человек получает новый опыт и заходит с ним на второй круг. Так, шаг за шагом, он выстраивает рабочую модель, которая будет полностью базироваться на его опыте и подходить под конкретные поставленные условия. Но успешное прохождение цикла Колба возможно лишь в том случае, если на каждом из этапов достигнуты поставленные цели и проведен качественный анализ.
При этом не обязательно начинать с первого пункта. Войти в цикл Колба можно на любом из этапов, главное – сохранить их последовательность и желательно не ограничиваться одним кругом.
Цикл Колба – прекрасный пример того, как клиент при поддержке коуча может идти к цели, обучаясь на собственном опыте и находя для себя уникальные решения поставленной задачи с привязкой к практике.
Роль ученика и роль лидера
Малкольм Ноулз в своей работе упоминает еще одно существенное отличие обучения взрослых. Для зрелого человека важно, чтобы новые знания вписывались в парадигму его устоявшегося мира. И у этого пункта есть темная сторона: за свою жизнь взрослые обычно накапливают большое количество негативных убеждений и внутренних ограничений, которые мешают им продвигаться к цели. Но расстаться с ними и увидеть их ошибочность бывает крайне сложно.
В отличие от детей, которые в силу своего развития впитывают новые знания, как губка, взрослые обладают критическим мышлением, призванным защищать устоявшиеся нормы и правила. И вместо того, чтобы начать искать новые, более эффективные способы решения поставленной задачи, человек начинает отстаивать свой устоявшийся багаж умений, опыта, ментальных установок.
Это часто выражается в форме критики: клиент перебирает варианты и тут же от них отказывается: этонаверняка не сработает, это слишком сложно, это, наоборот, кажется очевидным, чтобы пробовать. Так работают защитные механизмы нашей психики, которая воспринимает все новое как угрозу.
И здесь очень важная задача коуча состоит в том, чтобы поддержать клиента, помочь пройти через это внутреннее сопротивление и создать новый опыт, который поможет изменить систему мышления.
Для взрослого человека бывает важным сохранить свой авторитет и статус в обществе, где он играет определенную ролевую модель, например лидера или учителя. Получение же новых знаний предполагает совершенно иную модель – ученика. И далеко не каждый способен ее принять. Возникает внутреннее сопротивление, боязнь критики, страх оказаться некомпетентным в новой области знаний. Мало кто готов быть новичком после того, как добился определенных успехов в жизни. Однако именно способность начать с начала может помочь выйти на совершенно новый уровень.
Мэри Кэй Эш всю жизнь работала торговым агентом и только после выхода на пенсию в 45 лет основала косметическую компанию Mary Kay, которая стала к 2018 году шестой по величине компанией сетевого маркетинга в мире с оптовым объемом 3,25 миллиарда долларов США.
Момофуку Андо в 30-е годы прошлого века был владельцем собственной текстильной компании в Японии, но быстро обанкротился. Позже он открыл швейное производство, которое после Второй мировой войны также понесло существенные убытки и оказалось нерентабельным. Тогда, видя проблемы с продовольствием в послевоенной стране, он решил наладить производство лапши и выпустил на рынок первую упаковку с лапшой быстрого приготовления. На тот момент ему было 48 лет. Правда, эта разработка оказалась не по карману многим простым гражданам.
И только спустя 13 лет, после того как он стал выпускать лапшу в водонепроницаемых контейнерах из полистирола и снизил ее стоимость в несколько раз, его изобретение получило невероятную популярность по всему миру.
Вера Вонг до 18 лет профессионально занималась фигурным катанием и мечтала о спортивнойкарьере, но не смогла попасть в олимпийскую сборную. Еще в студенчестве она мечтала стать дизайнером, но после знакомства с редактором американского Vogue, пошла на стажировку в журнал. Вскоре она стала редактором моды и проработала в этой профессии 17 лет.
В 40 лет Вера решилась вернуться к своей мечте и открыла собственный салон свадебных и вечерних платьев. Сейчас Вера Вонг создает свадебные и вечерние платья для таких знаменитостей, как Виктория Бекхэм, Иванка Трамп, Ким Кардашьян и другие.
«Было ли сложно после 17 лет работы в Vogue запускать свое собственное дело, начинать все с нуля в 40? Я совру, если скажу, что нет. Ведь все двери, которые открыты перед вами при статусной работе, захлопываются, когда вы начинаете работать «сами по себе». Я чувствовала себя выпускницей-дебютанткой и любила шутить в интервью, что я не молодой дизайнер, а старый новый дизайнер», – вспоминает Вера.
Именно это пугает многих взрослых и мешает им принять роль ученика: почувствовать себя «выпускницей-дебютанткой» готов не каждый, кто уже имеет определенный статус в обществе. Однако сейчас отношение к образованию в зрелом возрасте постепенно меняется, и популярность завоевывает концепция Lifelong learning, то есть обучение длиною в жизнь.
Впервые термин Lifelong learning применили в 1926 году, а в 1972 году вышел доклад Эдгара Фора «Учиться жить», который был посвящен этому явлению. По мнению французского политика, непрерывное образование поможет сгладить неравенство и сократить разрыв между более развитыми и менее развитыми странами. Сегодня идея непрерывного образования приобрела еще большую актуальность.
Мир меняется слишком быстро, и человек не может адаптироваться к современным условиям без постоянного обучения. Согласно отчету Международного экономического форума, к 2025 году 40 % трудящихся будут вынуждены получить новые навыки, чтобы сохранить свое рабочее место.
Многие крупные компании поддерживают своих сотрудников в этом. Amazon в 2019 году объявил, что к 2025 году планирует потратить 700 миллионов долларов на обучение 100 тысяч сотрудников. В России «Сбер», «Газпром», ВТБ, «Росгосстрах», МТС и другие создают свои корпоративные университеты.

Самообразование также становится все более популярным, особенно с приходом на рынок онлайн-обучения. По данным исследования «Нетологии», доля людей, обучавшихся онлайн с 2019 по 2021 год, увеличилась почти в три раза – с 14,5 до 41,3 %. При этом инвестиции в EdTech в России постоянно растут. Так, например, в 2020‒2021 годах объем инвестиций частных фондов в EdTech-компании увеличился почти в 8 раз – с $11 млн до $86 млн.

Постепенно приходит понимание, что быть адаптивным и гибким к новым условиям, новой информации – необходимое качество для человека в современном быстро меняющемся мире. И коучинг – один из инструментов, который учит открываться неизвестному, чтобы накопленный годами ценный опыт не превратился в препятствие к дальнейшему росту, а стал фундаментом для него.
Глава 3
Запомни
В предыдущей главе мы поговорили о том, при каких условиях процесс обучения или получения новых навыков происходит у взрослых наиболее эффективно. Если резюмировать, зрелому человеку важно самому находить внутреннюю мотивацию, брать ответственность за процесс на себя и иметь возможность применять новые знания на практике.
Задача же коуча сводится к тому, чтобы создать комфортные условия для развития клиента, помочь ему найти ту самую мотивацию и сопроводить на пути реализации своих идей, подсвечивая те моменты, которые ускользают из его фокуса внимания. В этой главе мы подробно разберем, какие инструменты использует для этого коуч.
Треугольник коуча – авторская модель Мурадяна-Рыбиной: создаем пространство развития
Этот термин мы ввели в Академии «5 Prism», чтобы описать главные качества коуча, которые лежат в основе партнерства и доверительных отношений с клиентом.

Это:
• фактичность;
• недирективность;
• нейтральность.
В центре этого треугольника лежит партнерство, то есть равноправные, осознанные отношения, строящиеся на основе взаимной ответственности и нацеленные на достижение наилучших результатов.
Именно эти принципы помогают коучу обеспечить ту атмосферу, при которой клиент сможет максимально раскрыться и услышать собственный голос, чтобы найти для себя те решения, которые подходят именно ему.
Фактичное мышление: мышление, основанное на фактах
Этот термин Ольга Рыбина ввела в 2017 году, чтобы обозначить тип мышления, к которому стремятся в коучинге.
Дело в том, что многие из нас привыкли мыслить оценками, домыслами и интерпретациями. Картина мира каждого человека субъективна. В ее основе лежат наш жизненный опыт, воспитание, установки и психологические травмы, а также объем информации, которой мы обладаем.
Наш мозг обладает удивительным свойством мысленно достраивать часть до целого. Мы додумываем то, чего не знаем, на основании своего прошлого опыта, параллелей с другими схожими ситуациями или просто собственных предпочтений.
Такие шаблоны мышления называются когнитивными искажениями. Когда-то они помогали нашим далеким предкам быстро принимать стандартные решения. (Если в кустах что-то шуршит – замри, если у зверя оскалены зубы и взъерошена шерсть – будь готов, что он нападет.) Но сегодня окружающая действительность слишком отличается от первобытной. Старые готовые схемы все чаще оказываются неприменимы в новых условиях, а огромная вариативность современного мира совершенно не укладывается ни в какие шаблоны.
Поэтому, если начальник пристально на вас посмотрел, приподняв одну бровь, не надо думать, что это из-за вчерашнего отчета, и начинать срочно собирать вещи и писать заявление на увольнение.
Может быть, он:
• не выспался;
• страдает от головной боли;
• пытается вспомнить что-то важное;
• поссорился накануне с женой и ходит в плохом настроении;
• просто захотел так посмотреть.
Факт лишь в том, что начальник посмотрел и приподнял при этом бровь. Остальное – наши интерпретации. И чем меньше мы будем тратить на них времени, тем крепче будут наши нервы и отношения с окружающими.
Основываться только на фактах не так просто, особенно когда дело касается людей и их поступков. Давайте проверим это на примере.
Ниже мы приведем реальную историю, произошедшую несколько лет назад в США. Прочитайте ее медленно и после каждого абзаца спросите себя: «Что я думаю об этой ситуации? Что чувствую по отношению к участникам истории?»
28-летний житель Северной Каролины открыл стрельбу из винтовки в одной из пиццерий в Вашингтоне. К этому событию он готовился заранее и специально проделал путь в 560 километров, чтобы совершить задуманное.
К счастью, никто не пострадал. Полиция задержала нападавшего. Им оказался Эдгар Уэлч, отец двух дочерей. Позже он признался, что сделал это, чтобы освободить детей, которых насильно удерживал в подвалах и тайных комнатах под этой пиццерией хозяин заведения.
Полиция тщательно осмотрела все здание, ни подземных комнат, ни детей обнаружено не было. Оказалось, что Эдгар Уэлч стал жертвой теории заговора, которая получила название Pizzagate. В основе ее лежала идея о тайной связи между Хиллари Клинтон, неким обществом педофилов и владельцем пиццерии Comet Ping Pong.
Началом же этой теории заговора послужил пост в Твиттере, в котором автор ссылался на комментатора в социальной сети, а тот в свою очередь утверждал, что имеет достоверные данные от анонимного источника в полиции Нью-Йорка.
Если бы Эдгар Уэлч читал эту книгу, а не твитты в интернете, он бы с бOльшей вероятностью отличал домыслы от фактов и не дал бы втянуть себя в историю, которая привела его к реальному тюремному сроку.
Но если вы подумали, что сами никогда не оказались бы в подобной ситуации, вспомните, как менялись ваши мысли по ходу чтения этой короткой истории. Не пытались ли вы «навесить ярлыки» на ее героев? Если да, то следующее задание точно для вас. Попробуйте прожить один день, отмечая только факты и сознательно убирая все домыслы. Многие наши студенты говорят, что именно этот навык значимо повысил их качество коммуникации с близкими.
Это может быть не так просто, как кажется на первый взгляд. Отслеживайте у себя подобные фразы и мысли:
– Научись разговаривать нормально!
– Как мне общаться с такими бестактными людьми?
– Моя жена – транжира.
Мы обучаем коучей обращаться к фактам и мысленно перестраивать свои фразы так, чтобы в них не было оценок.
✓ Ты со мной не здороваешься, сразу начинаешь говорить о своих задачах.
✓ Как мне общаться с людьми, которые меня постоянно перебивают в диалоге?
✓ Жена вчера потратила половину моей зарплаты.
Если вы будете регулярно фокусироваться на фактах, то со временем натренируете навык фактичного мышления и будете с легкостью отделять реальные события от их интерпретаций, как делают это в своей работе коучи.









![Обложка: Честь Воина [CИ]](/files/books/110/no-cover.jpg)