Текст книги "Квантовая химия — ее прошлое и настоящее. Развитие электронных представлений о природе химической связи"
Автор книги: Сергей Семенов
Соавторы: Игорь Дмитриев
Жанр:
Химия
сообщить о нарушении
Текущая страница: 7 (всего у книги 10 страниц)
Иными словами, речь шла об отношении величин, а не о функциональном отношении Е = E(R). Особенность функциональной зависимости состоит в том, что она может включать "особые точки" (например, экстремумы), в которых объект переходит в особое состояние и происходит образование нового качества.
Для того чтобы расширить значение метода Хунда-Малликена, необходимо было прежде всего выйти за рамки чисто качественных полуэмпирических построений и найти способ количественного теоретического расчета. Новой постановке задачи способствовали работы Леннард-Джонса и Герцберга.
Развитие метода МО в работе Леннард-Джонса
Почти сразу после своего возникновения метод Хунда-Малликена подвергся критике со стороны многих исследователей. Так, Герцберг [53] отметил трудности, с которыми сталкивались попытки интерпретировать некоторые экспериментальные факты, например, распад молекулярного иона N2+ (основное состояние) на атом N (основное состояние) и ион N+ (возбужденное состояние) на основе указанного метода.
Более того, он указал путь, позволяющий усовершенствовать эту теорию. Основываясь на идее Гайтлера и Лондона, согласно которой атомные орбитали в молекуле отчасти сохраняют свою индивидуальность, Герцберг предложил в качестве рабочей гипотезы сохранять за отдельными электронами в молекуле те квантовые числа, которыми они характеризовались в разъединенных атомах. Идеи Герцберга нашли поддержку в работе Леннард-Джонеа [58]. Последний считал недопустимым сопоставлять электронам в молекуле квантовые числа состояний, которые не могут быть реализованы. Значительно важнее, по его мнению, знать, что происходит с молекулой при ее диссоциации, чем рассматривать мысленный, физически нереализуемый процесс сжатия молекулярного полиэдра до слияния ядер[27]27
К сожалению, эта правильная методологическая установка Леннард-Джонеа не смогла быть применена до конца в методе МО, который оказался не в состоянии даже качественно описать процесс диссоциации молекул.
[Закрыть]. Далее он обращает внимание на то, что систематика одноэлектронных состояний по Хунду и Малликену становится слишком сложной для молекул, включающих тяжелые атомы. Даже для атомов, высшие одноэлектронные состояния которых характеризуются главным квантовым числом 2, электронные оболочки пришлось бы обозначать символами 3dπ, 4pσ..., которые нелегко интерпретировать. Наконец, наиболее убедительным аргументом против использования квантовых чисел объединенного атома для описания многоатомной системы, приведенным Леннард-Джонсом, является абсурдность такого подхода в случае кристаллов. Так, куску свинца должен соответствовать объединенный атом с астрономическим зарядом ядра и всего лишь двумя 1s-электронами, двумя 2s-электронами и т. п., хотя ясно, что при образовании кристалла состояния 1s, а также состояния других электронов внутренних оболочек должны оставаться почти неизменными.
Предлагая характеризовать электроны в молекуле квантовыми числами разъединенных атомов, Леннард-Джонс полагал, что принцип Паули можно считать выполняющимся, если, например, два 1s-электрона принадлежат к одному ядру или два – к другому. Более того, он считает возможным в некоторых случаях относить завершенные (замкнутые) оболочки к отдельным атомам. Таким образом, Леннард-Джонс различает атомные и молекулярные уровни даже в молекулах, причем только последние он считает ответственными за образование химической связи, что было, вообще говоря, нетривиальным моментом, так как детального теоретического анализа электронной структуры молекул в то время еще не было сделано.
Далее Леннард-Джонс ввел широко используемые в настоящее время при качественном рассмотрении химической связи диаграммы, связывающие одноэлектронные уровни молекулы с соответствующими уровнями разъединенных атомов. Однако эти диаграммы, отличались от современных отсутствием разрыхляющих состояний. В этом состоит ограниченность подхода Леннард-Джонса, связанная, по нашему мнению, с не вполне правильным пониманием работы Гайтлера и Лондона. В самом деле, исключая разрыхляющие одноэлектронные состояния, Леннард-Джонс исходил из того, что они порождаются одноэлектронными состояниями атомов, одно из которых (или оба) дважды занято, тогда как по Гайтлеру и Лондону взаимодействие таких состояний не должно способствовать образованию химической связи. Однако этот аргумент нельзя признать справедливым по крайней мере по двум причинам.
1. Одноэлектронные уровни характеризуют энергию отдельных электронов, но не полную электронную энергию молекулы, которая отлична от суммы одноэлектронных. Взаимодействие замкнутых электронных оболочек приводит к расщеплению соответствующих одноэлектронных уровней, и хотя это расщепление практически не приводит к упрочению химической связи, оно может проявляться в спектрах молекулы.
2. Безусловно, ошибочным является исключение из рассмотрения разрыхляющего уровня, когда он заполнен только одним электроном, т. е. предположение о невозможности образования трехэлектронных связей, характеризуемых диаграммой вида

Существование таких связей с точки зрения простого метода Гайтлера-Лондона невозможно, но в действительности они реализуются (например, в ионе Не+2 и т. п.).
Историческая роль работы Леннард-Джонса состоит в том, что, во-первых, сопоставление одноэлектронных состояний в молекуле с соответствующими одноэлектронными состояниями разъединенных атомов и приписывание молекулярным электронам квантовых чисел образующих молекулу атомов заложило фундамент для развития метода МО ЛКАО – основного метода современной квантовой химии. Во-вторых, Леннард-Джонсом была высказана идея о разделении всех молекулярных электронов на электроны внутренних, замкнутых атомных оболочек и валентные электроны, определяющие в основном химические свойства молекулы аналогично тому, как это делалось в методе ВС. Эта идея используется, в частности, в современных полуэмпирических методах квантовой химии.
Формирование метода самосогласованного поля
Фундаментальное значение для разработки теории многоэлектронных систем имели работы Хартри, Гоунта и Фока, в которых был сформулирован метод самосогласованного поля (ССП). Основная идея этого метода по Хартри [47] состояла в том, что каждому электрону атома сопоставлялась некоторая одноэлектронная функция (орбиталь), аналогично тому, как в полуклассической теории атома Бора-Зоммерфельда предполагалось, что каждый атомный электрон движется по определенной орбите. Следует отметить, что в рамках квантовоме-ханической теории молекулярных спектров эта идея независимо развивалась Хундом и Малликеном, которые, однако, не предприняли попыток вычисления одноэлектронных функций, ограничиваясь, как мы видели выше, их классификацией по симметрии и энергии посредством задания соответствующих квантовых чисел.
Хартри опирался на трактовку одноэлектронной волновой функции ψ, данную Шредингером и развитую затем Клейном, согласно которой квадрат модуля |ψ|2 дает объемную плотность распределения электрического заряда в состоянии, описываемом функцией ψ. Отмечая, что такая интерпретация не является бесспорной, Хартри указывает в то же время, что она позволяет построить физически разумную модель как для стационарных состояний электронных оболочек атомов, так и для процессов излучения[28]28
Правильная вероятностная интерпретация физического смысла волновой функции была дана Борном в 1926 г. и вскоре стала общепринятой.
[Закрыть]. Принимая во внимание доказанную ранее Унзольдом теорему о сферической симметрии распределения заряда в замкнутых оболочках атомов, Хартри отмечает, что приближение центрального поля в квантовой механике является более удовлетворительным, чем в старой квантовой теории.
Хартри показал далее, что указанные допущения (одноэлектронное приближение и приближение центрально-симметричного поля) позволяют свести задачу к одномерному уравнению, определяющему движение одного электрона в центрально-симметричном некулоновском поле, создаваемом ядром и всеми прочими электронами:
(3.58)
где введенная Хартри радиальная функция Р(r) определяет радиальную плотность заряда на расстоянии г от ядра, т. е. P2dr при соответствующей нормировке функции Р является зарядом, локализованным в пространстве между двумя сферами радиусов r и r+δr; V – потенциал притяжения рассматриваемого электрона к ядру (с учетом его отталкивания от других электронов); величинае характеризует энергию электрона в состоянии, определяемом функцией Р; l – квантовое число орбитального момента импульса.
Основная трудность решения уравнения (3.58) состояла в том, что потенциал V определяется через искомые функции Р, так что уравнение оказывается нелинейным.
Хартри разработал метод решения таких уравнений, названный им процедурой самосогласования. Согласно этому методу сначала задается некоторое исходное поле (initial field), затем в это поле вносится поправка, учитывающая то, что данный электрон взаимодействует лишь с другими электронами, но не сам с собой, в результате чего получается соответствующий исходному полю потенциал V. С этим потенциалом уравнение (3.58) решается как линейное относительно Р. Соответствующее вычисленным радиальным функциям распределение заряда в атоме обусловливает новое поле, являющееся конечным для данной итерации процедуры самосогласования. Если это конечное поле достаточно близко к исходному, то решение уравнения (3.58) считается завершенным. В противном случае процедура повторяется с использованием конечного поля предыдущей итерации в качестве исходного поля последующей. Таким образом, процедура самосогласования может быть охарактеризована приводимой ниже диаграммой:

Разработанный им метод Хартри иллюстрировал расчетами для атома Не и ионов
. Выбор объектов не случаен, ибо теория была сформулирована лишь для атомов и ионов с замкнутыми оболочками. Кроме того, в ней не фигурирует явно полная многоэлектронная функция, методы построения которой были развиты позднее.
Теория Хартри, как было впервые показано Гоунтом в феврале 1928 г. [41], соответствует представлению полной N-электронной функции в виде простого произведения одноэлектронных функций
(3.59)
где xi – совокупность пространственных (xi, yi, zi) и спиновой (σi) переменных для i-го электрона.
Гоунт подчеркивает, что "полная волновая функция должна быть антисимметричной относительно любой перестановки пространственных и спиновых координат двух электронов, тогда как функции, не включающие спиновые переменные, могут иметь различный характер симметрии" [41, с. 329]. Простая же мультипликативная функция (3.59), очевидно, не удовлетворяет сформулированному условию антисимметрии. Гоунт показал, что в первом приближении полную антисимметричную функцию системы N электронов можно аппроксимировать суммой
(3.60)
где ∑ – символ суммирования по всем перестановкам переменных (x1, x2,..., xN), причем xi = (ri, σi); знак "+" относится к четным, а "-" – к нечетным перестановкам. Очевидно, что данное Гоунтом выражение (3.60) определяет детерминант, составленный из спин-орбиталей ψp(xa):
(3.61)
Независимо от Гоунта (и почти на год позже) такое представление многоэлектронной функции было предложено Слэтером (1929 г,) [80] и названо его именем (детерминант Слэтера)[29]29
Что, разумеется, является исторической неточностью.
[Закрыть].
В начале 1928 г. появилась работа Уолера и Хартри [83], в которой был дан анализ перестановочной симметрии многоэлектронной функции для систем как с замкнутыми, так и с открытыми оболочками. При этом полная функция системы строилась из бесспиновых орбиталей в виде произведения двух детерминантов. В один из них включались орбитали со спином вверх, а в другой – со спином вниз:

Такое представление функции
обеспечивает ее антисимметричность относительно перестановок в каждой из двух групп аргументов ri, разделенных вертикальной чертой. (Заметим, что волновая функция Уолера-Хартри не содержит спиновых переменных![30]30
Немного раньше аналогичное представление N– электронной волновой функции было введено Гайтлером [48]. Однако в последующих его работах оно не получило развития.
[Закрыть]) Однако функция (3,62) необладает определенной симметрией относительно перестановок аргументов между указанными двумя группами[31]31
В общем виде задача была решена Фоком (без использования детерминантов) в 1940 г. [26].
[Закрыть].
В основу современной теории самосогласованного поля легла работа Фока [39], впервые доложенная им 17 декабря 1929 г. на заседании Русского физико-химического общества и напечатанная в 1930 г. в журнале «Zeitschrift fur Physik» и в 1931 г. в «Трудах ГОИ». Фок показал, что при использовании функции Уолера-Хартри и вариационного начала «для волновой функции отдельных электронов получаются уравнения, которые отличаются от уравнений Хартри тем, что содержат члены, передающие так называемый квантовый обмен» [39, с. 126].
При сопоставлении двух методов построения волновой функции Гоунта-Слэтера и Уолера-Хартри необходимо отметить следующее:
а) первый обладает перед вторым тем преимуществом, что он строже учитывает антисимметрию полной многоэлектронной волновой функции относительно перестановок, а именно: однодетерминантная функция Гоунта-Слэтера антисимметрична относительно перестановок электронов не только с одинаковыми, но и с различными значениями спиновых переменных, в то время как в методе Уолера-Хартри электроны с различными значениями спиновых переменных считаются различимыми, и многоэлектронная функция в этом методе не обладает определенной симметрией относительно перестановок координат таких электронов[32]32
В этом смысле она не является ни симметричной, ни антисимметричной при перестановке координат, стоящих в выражении (3.62) по разную сторону от вертикальной черты, т. е. в разных детерминантах, а подчиняется циклической симметрии, установленной, как уже отмечалось, Фоком в 1940 г.
[Закрыть];
б) с другой стороны, как показал Фок, функция Уолера-Хартри может быть домножена на многоэлектронную спиновую функцию, являющуюся собственной функцией оператора к в то время как детерминантная функция Слэтера в общем случае не удовлетворяет этому условию. Второе из указанных обстоятельств обусловливает преимущество функции Уолера-Хартри, особенно при обобщении метода ССП на системы с ненулевым полным спиновым моментом. Такие системы широко изучаются в современной химии и биохимии как экспериментально, так и теоретически, поэтому интерес к методу Уолера-Хартри в последнее время возрос. Плодотворность идеи Фока об использовании вариационного начала также проявилась в полной мере в последние годы, когда были развиты методы прямой минимизации функционала электронной энергии.
В 1930-1940 гг. метод Хартри-Фока использовался в основном при расчетах атомных структур, что объясняется возможностью введения дополнительных упрощений, связанных со сферической симметрией задачи (приближение центрального поля).
В 1951 г. ученик Малликена Рутан сформулировал метод Хартри-Фока для молекулярных систем с замкнутыми оболочками [75]. Особенность метода Рутана, отличающая его от исходного метода ССП, состояла в представлении молекулярных орбиталей в виде линейной комбинации атомных. Таким образом, идеи, разработанные в 1920-1930 гг. в теориях Хунда-Малликена, Хартри-Фока, Леннард-Джонса и Слэтера, нашли свое выражение в рамках единого формализма.
С внедрением в начале 50-х годов в практику квантовохимических исследований быстродействующих ЭВМ начался качественно новый этап развития теории строения молекул. Основное внимание исследователей сосредоточилось не столько на качественных аспектах теории химической связи, сколько на развитии методов количественного расчета молекулярных свойств. Однако рассмотрение этой стороны развития теории не входит в нашу задачу. Мы ограничимся в дальнейшем обсуждением лишь некоторых новых результатов, относящихся к описанию структуры химической связи, а также квантовомеханической интерпретации понятий классической теории химического строения.
Глава 4. Современные методы исследования структуры химической связи
Матрица плотности и некоторые замечания о квантовомеханическом описании одкозяектронных и многоэлектронных состояний
В квантовой механике состояние частицы с энергией е описывается волновой функцией ψ(r), которая удовлетворяет уравнению Шредингера
(4.1)
При этом любому физическому состоянию частицы можно сопоставить множество волновых функций, отличающихся друг от друга множителем exp(iα) с вещественным параметром а, не зависящим от координат частицы. Иными словами, волновая функция ψ'(r) = exp (iα)ψ(r), и в частности ψ'(r) = – ψ(r) (α = π), так же как и ψ(r), будет собственной функцией гамильтониана с тем жезначением энергии ε. Если волновая функция ψ(r) нормирована на единицу:
(4.2)
то такому же условию нормировки будет удовлетворять волновая функция ψ'(r). Математические ожидания всех физических величин, представленных операторами
и вычисляемых как интегралы
(4.3)
также не меняются при рассматриваемом преобразовании. Именно это обстоятельство и доказывает, что волновые функции ψ и ψ' описывают одно и то же состояние частицы.
Действие оператора
на ψ(r) определяется по формуле
(4.4)
Функция μ в (4.4) называется ядром оператора
в его интегральном представлении. При таком представлении операторов
легко видеть, что математическое ожидание
(4.5)
определяется фактически не функцией ψ(r), а произведением двух ψ-функций
(4.6)
которое называется матрицей плотности для частицы, нахо дящейся в определенном состоянии. Строго говоря, матрица плотности ρ(r|r') не может быть матрицей в обычном смысле этого слова, если координаты r, нумерующие ее строки, и координаты r', нумерующие ее столбцы, не дискретны. Тем не менее термин «матрица плотности» для ρ(r|r') является общепринятым.
Матрица плотности становится истинной матрицей, если она представлена в некотором базисе функций Xk(r), т. е. определяется совокупностью матричных элементов Pkl, по которым можно воспроизвести ρ(r|r') согласно равенству
(4.7)
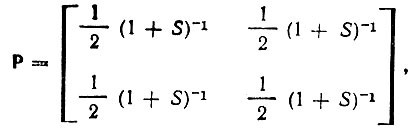
В качестве функций Xk(r) в квантовой химии чаще всего используются атомные орбитали, центрированные на ядрах атомов, образующих молекулу. Например, для молекулы Н2+ матрица плотности в двухцентровом базисе 1s-орбиталей атомов водорода имеет вид

где S – интеграл перекрывания базисных АО.
Матричные элементы Рkl получаются из коэффициентов разложения МО в базисе АО:

по формуле

Зависимость матрицы плотности ρ(r|r') от r и r' не следует понимать в том смысле, что она зависит от координат двух частиц.
В действительности r и r' представляют собой две различные (но возможно и совпадающие) точки пространства, в которых может быть локализована одна рассматриваемая частица. При этом плотность вероятности локализации ее в некоторой точке r равна диагональному элементу
. Именно эту функцию характеризуют часто используемые в квантовой химии карты распределения электронной плотности. Функция ρ(r) содержит информацию, достаточную для вычисления математических ожиданий тех весьма многочисленных физических величин, операторы которых не включают интегрирования или дифференцирования. Например, дипольный момент d электронной системы относительно центра координат представлен одноэлектронным оператором с ядром[33]33
Функция Дирака σ(r – r') относится к классу так называемых обобщенных функций и определяется равенством
)
[Закрыть]:
(4.8)
и определяется по формуле
(4.9)
Использование матрицы плотности вместо волновой функции устраняет указанную выше неоднозначность в квантовомехани-ческом описании состояния частицы. В то же время такое описание является более общим и позволяет характеризовать одночастичные состояния для систем, содержащих несколько различных или тождественных частиц, хотя точное описание этих состояний с помощью волновых функций невозможно.
Пусть некоторое состояние W-электронной системы задано антисимметричной нормированной функцией Ψ(x1,..., xN), где хi обозначает совокупность пространственных координат (ri) и спиновой переменной (σi) i-гo электрона. Тогда N-электронная матрица плотности ρN определяется аналогично одноэлектронной (4.6):
(4.10)
Диагональные элементы матрицы плотности ρN характеризуют вероятность того, что первый электрон локализован в точке x1, в то время как второй – в точке х2, третий – в точке х3 и т д. Конечно, в силу неразличимости электронов их нумерация является произвольной.
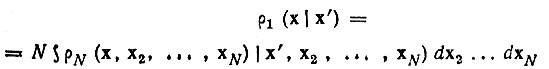
Рассматриваемые N электронов могут входить в состав системы включающей также и другие частицы. Например, молекулы состоят из электронов и атомных ядер, образующих единую систему. Пусть состояние последней определяется нормированной функцией Φ(x1,..., xN,ξ), причем ξ обозначает совокупность переменных всех частиц, не являющихся электронами (т. е. ядер). Состояние N-электронной системы в общем случае не может описываться Ψ-функцией и в этом смысле не является чистым[34]34
В так называемом адиабатическом приближении электронной системе в молекуле сопоставляется определенная Ψ-функция, которая зависит и от ядерных координат.
[Закрыть]. Но оно может характеризоваться N-частичной редуцированной матрицей плотности:
(4.11)
Термин "редуцированная" в применении к матрице плотности означает, что некоторые переменные в левом и правом наборах ее аргументов отождествляются
и затем по ним проводится интегрирование.
Подобным образом определяются редуцированные матрицы плотности для k-электронных подсистем N-электронной системы:
(4.12)
Целесообразность введения множителя
обусловлена тождественностью электронов. В частности, редуцированная одноэлектронная матрица плотности определяется через N-электронную равенством
(4.13)
и нормирована на число электронов N:
(4.14)
Часто используют бесспиновую матрицу плотности
(4.15)
где проведено интегрирование (или суммирование) по спиновой переменной σ.
Отметим теперь некоторые используемые в дальнейшем математические свойства редуцированных матриц плотности.
Вследствие антисимметричности N-электронной функции Ψ (или Φ) относительно перестановок электронных переменных 
(4.16)
k-частичные матрицы плотности при
антисимметричны в левой и правой группах аргументов, разделенных вертикальной чертой:
(4.17a)
(4.17б)
Из определения ρk следует также, что
(4.18)
Учитывая сказанное на с.102 об интегральном представлении операторов
, мы можем утверждать, что матрица плотности является ядром некоторого эрмитового оператора k-частичной плотности вероятности ρk:

He следует думать, однако, что этот оператор соответствует некоторой наблюдаемой физической величине. Его роль в квантовой теории состоит в том, что он характеризует состояние N-электронной системы в той мере, в какой это необходимо для определения ожидаемого значения любой физической величины, представленной суммой k-электронных операторов. При этом последние не зависят от состояния рассматриваемой многоэлектронной системы. Среднее значение оператора
для некоторого k-электронного состояния определяет заселенность этого состояния. Собственные функции
оператора
называются функциями «естественных» k-частичных состояний, а собственные значения – естественными заселенностями n(k)ν. Функции
определяющие одночастичные состояния с заселенностями
называются естественными спин-орбиталями и удовлетворяют уравнению
(4.20)
Бесспиновые ψν(r), удовлетворяющие аналогичному уравнению на собственные значения матрицы плотности ρ(r|r') называются «естественными» орбиталями.
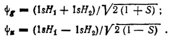
В качестве примера рассмотрим молекулу водорода Н2. Естественные молекулярные орбитали для этой молекулы определяются исключительно из соображений симметрии (если их ищут в виде линейной комбинации двух атомных 1s-орбиталей) и классифицируются на симметричную (g) и антисимметричную (u) МО:

В то же время естественные заселенности связывающего (ψg) и разрыхляющего (ψu) одноэлектронных состояний зависят от способа построения полной двухэлектронной функции молекулы Н2 из одноэлектронных (табл. 3).

Таблица 3. Естественные заселенности в молекуле H2 [35]
Матрицу плотности ρ(r|r'), как и матрицы плотности более высокого порядка, можно представить через «естественные» заселенности и соответствующие естественные функции в виде естественного разложения:
(4.21)
Такое представление матрицы плотности обобщает приведенное выше выражение (4.6) для одноэлектронной матрицы плотности "чистого" состояния одного электрона с определенной ψ-функцией. В случае многоэлектронной системы отдельному электрону уже нельзя сопоставить какую-либо функцию ψ(r). Состояние электрона в многоэлектронной системе является «смешанным» и описывается одноэлектронной матрицей плотности ρ(r|r') или набором функций ψν(r) и соответствующих им «чистых» состояний. При этом вероятность пребывания электрона в состоянии, определяемом функцией ψν, характеризуется естественной заселенностью nν.
Вследствие антисимметричности многоэлектронной функции Ψ(x1,...,xN) относительно перестановок
естественные заселенности орбиталей лежат в пределах 0≤nν≤2, т. е. каждое бесспиновое состояние может быть занято не более чем двумя электронами, причем этим двум электронам сопоставляются спин-орбитали с разными спиновыми множителями, а именно ψν(r)α(σ) и ψν(r)β(σ). Нормировка одноэлектронной матрицы плотности на число электронов в системе (N) означает, что сумма всех естественных заселенностей равна N.
Многоэлектронные функции Ψ(x1,...,xN) содержат очень большую информацию, значительная часть которой, как правило, не представляет физического интереса. Дело в том, что операторы, соответствующие наблюдаемым физическим величинам, являются суммами одно– и двухчастичных операторов
(4.22)
Каждый из операторов
i действует только на одну переменную (xj), и каждый из операторов
ij действует только на две переменные (хi и хj. Поэтому при вычислении ожидаемых значений одноэлектронные физические величины определяются исключительно одноэлектронной, а дьухэлектронныефизические величины – двухэлектронной матрицей плотности. Последняя заключает в себе фактически всю необходимую информацию о состоянии многоэлектронной системы.
Из всего сказанного выше можно сделать вывод, что использование формализма матрицы плотности в. квантовохимических расчетах должно существенно упрощать их физическую и химическую интерпретацию.
Наиболее полное и строгое изложение метода матрицы плотности в теории молекул дано в монографии М. М. Местечки на [17].









![Обложка: Честь Воина [CИ]](/files/books/110/no-cover.jpg)