Текст книги "Квантовая химия — ее прошлое и настоящее. Развитие электронных представлений о природе химической связи"
Автор книги: Сергей Семенов
Соавторы: Игорь Дмитриев
Жанр:
Химия
сообщить о нарушении
Текущая страница: 6 (всего у книги 10 страниц)
В заключение этого параграфа остановимся на месте понятия гибридизации в логической структуре метода ВС. Использование гибридных орбиталей является необходимым условием представления многоэлектронной функции молекулы одной структурой (приближение идеального спаривания). Иными словами, концепция гибридизации позволяет наиболее просто интерпретировать классические структурные формулы в терминах метода ВС и в этом смысле она альтернативна концепции резонанса.
Кроме того, гибридные орбитали образуют оптимальный базис для представления локализованных молекулярных орбиталей. Таким образом, концепция гибридизации оказывается полезной при согласовании квантовомеханического описания молекул с их описанием в рамках классической теории строения.
Теория резонанса
Концепция (или теория) резонанса была предложена Полингом в начале 30-х годов. Основная идея ее заключалась в следующем. Если Ψ0 представляет некоторую волновую функцию системы, то интеграл
(Н^ – оператор Гамильтона) должен быть больше или равен энергии наинизшего состояния Е0. Чем ближе Ψ к этой собственной функции, тем меньше будет разность Е – Е0. Допустим, что мы нашли функцию Ψ1, которая представляет возможные состояния системы, например состояние, соответствующее некоторой электронной формуле Льюиса. Тогда при замене Ψ на Ψ1 в указанном интеграле можно рассчитать электронную энергию E1, как функцию от межъядерных расстояний. Аналогично функция Ψ2, соответствующая альтернативной электронной формуле, может быть использована для расчета Е2. Если уровень Е1 лежит значительно ниже уровня E2, то функция Ψ1 будет лучше аппроксимировать основное состояние системы, чем Ψ2, и если другие альтернативы отсутствуют, то можно принимать во внимание только электронную формулу, соответствующую Ψ1. Вообще говоря, если Ψ1 и Ψ2 имеют одинаковый характер симметрии и, что особенно важно, одинаковую мультиплетность (т. е. одно и то же число неспаренных электронов), то может быть найдено значение E, соответствующее функции aΨ1 + bΨ2. Когда Е1 и E2 не очень различаются и когда члены, соответствующие взаимодействию между состояниями Ψ1 и &Ψ2 велики, то оказывается, что функцией, дающей наилучшее приближение к собственной функции основного состояния системы, будет не Ψ1 и не Ψ2, а их линейная комбинация с коэффициентами а и b, являющимися величинами одного порядка. В этом случае ни одна электронная формула сама по себе не может быть сопоставлена молекуле. Необходимы обе структуры, хотя одна из них, возможно, будет иметь больший вес, чем другая. "Молекула,– отмечает Полинг,– могла бы рассматриваться как быстро флуктуирующая между двумя электронными формулами, и ее стабильность получается большей, чем для любой из этих формул благодаря «энергии резонанса этих флуктуации» [72, с. 996-997]. Впоследствии теория резонанса была развита Полингом, Уэландом и другими авторами, которые применили ее к широкому кругу химических соединений.
Достаточно подробно генезис этой теории был рассмотрен в монографии Г. В. Быкова [5]. Поэтому, избегая повторений, мы остановимся в дальнейшем только на тех вопросах, которые не были должным образом освещены в литературе.
Наибольшее распространение концепция резонанса нашла в органической химии. При этом популярность ее была так велика, что она часто отождествлялась с методом ВС. Когда же гипертрофирование роли резонанса электронных структур было подвергнуто критике, такое отождествление отрицательно сказалось на отношении многих химиков к методу ВС и привело к неправильному пониманию роли и логической структуры последнего. Историческое значение концепции резонанса состоит, во-первых, в том, что она определила одно из возможных направлений развития метода ВС. Во-вторых, она позволила глубже понять соотношение между классической и квантовой теориями строения химических соединений, вскрыв те стороны физической и химической реальности, которые не могли быть адекватно отражены классической теорией строения.
Чтобы яснее представить роль резонанса в логической структуре этого метода, попытаемся ответить на следующий вопрос: возможен ли "безрезонансный" метод ВС, и если да, то каковы будут его особенности. С ретроспективной точки зрения иной возможный путь развития метода ВС мог состоять в сохранении приближения идеального спаривания, но при этом пришлось бы обобщить концепцию гибридизации, т. е. использовать в качестве базисных функций не атомные, пусть даже гибридные (в обычном смысле слова) орбитали, а их линейные комбинации, вообще говоря, не ортогональные[19]19
Базисные АО в обычной формулировке метода ВС также не ортогональны.
[Закрыть]. Уравнениями, определяющими эти линейные комбинации, являются уравнения Годдарда [43]. В некотором смысле этот метод, названный Годдардом «обобщенным методом ВС», является одновременно и обобщением метода МО. Иными словами, концепция резонанса служила не только одним из способов выражения метода ВС, который придал мышлению химиков большую гибкость, но и явилась своеобразным водоразделом, отделяющим два наиболее распространенных метода квантовой химии, ВС и МО, так как «безрезонансный» вариант метода ВС представляет собой такую модификацию последнего, которая придает ему черты метода МО.
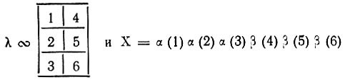
Проиллюстрируем этот тезис на примере молекулы бензола. В методе ВС для описания π-электронной системы молекулы бензола необходим учет пяти независимых структур, характеризуемых диаграммами I-V (см. рис. 16). Эти диаграммы могут быть построены с использованием схем и таблиц Юнга.
Антисимметричная собственная функция оператора
может быть получена из произведения координатной Φ и спиновой Χ функций действием оператора Годдарда 
(3.50)
где
(3.51a)
(3.51б)
(3.51в)
где
– операторы перестановки пространственных координат;
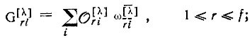
– операторы перестановки спиновых переменных;
– матричные элементы неприводимого представления [λ] группы перестановок N-электронов; f – размерность этого представления.
В методе Годдарда используется специальный выбор функций Φ и Χ в виде произведений одноэлектронных функций:
(3.52)
(3.53)
Многоэлектронной волновой функции метода Годдарда можно сопоставить определенную схему спинового спаривания, которой будет соответствовать некоторая обобщенная диаграмма Румера[20]20
Под обобщенной мы понимаем такую диаграмму Румера, которая Может содержать перекрещивающиеся штрихи.
[Закрыть]. Действительно, как показал Годдард, действие оператора
на произведение Φ и Χ эквивалентно действию оператора Юнга
на X с последующей антисимметризацией:
(3.54)
что при соответствующем выборе X полностью соответствует построению многоэлектронной функции метода ВС. Например, для π-электронной системы бензола выбору

будет соответствовать схема спинового спаривания, выражаемая следующей диаграммой:
(3.56)
Таким образом, вместо пяти диаграмм в обобщенном методе ВС мы имеем только одну. Эта диаграмма совпадает по внешнему виду с диаграммой V (см. рис. 16). Однако в то время как диаграммы I-V характеризуют спаривание атомных π-орбиталей, в диаграмме (3.56) спаренными следует считать линейные комбинации последних (молекулярные орбитали) φk, которые определяются уравнениями вида[21]21
В методе МО молекулярные орбитали удовлетворяют аналогичным уравнениям, но с общим для всех k эффективным гамильтонианом N, что обусловливает их ортогональность. В методе Годдарда орбитали не ортогональны и в этом отношении напоминают атомные орбитали.
[Закрыть]
(3.57)
Существенно, что этим уравнениям может быть дана интерпретация в рамках модели независимых частиц (МНЧ), т. е. отдельному электрону можно приписать определенное состояние, характеризуемое орбиталью φk. Следуя Годдарду, можно указать три условия, обеспечивающие возможность такой интерпретации:
1. N электронам сопоставляется не более чем N различных орбиталей;
2. каждая орбиталь должна быть собственной функцией некоторого эффективного гамильтониана, определяющего движение электрона в поле ядер и в усредненном поле других электронов;
3. это усредненное поле может быть нелокальным, но оно должно быть самосогласованным.
В отличие от метода Годдарда метод ВС в своей обычной формулировке не удовлетворяет условиям (2) и (3) и поэтому не может быть интерпретирован в терминах МНЧ. В то же время он допускает обобщение в рамках метода Годдарда, удовлетворяющее всем трем указанным выше условиям, в силу чего его интерпретация в терминах МНЧ становится возможной.
Разумеется, в начале30-х годов (и позже) сформулированный выше подход не мог быть реализован, главным образом, потому, что ввиду отсутствия необходимой вычислительной техники теория развивалась в основном на базе полуэмпирических и эмпирических методов, а также интуитивного обобщения методов, развитых для простых систем и близких (по крайней мере, в семантическом плане) классической теории строения. Конечно, отсутствие вычислительной техники, обеспечивающей преодоление математических трудностей многоэлектронной задачи, при стремлении к прогрессу в понимании электронной структуры атомов и молекул способствовало развитию фундаментальных концепций, сохранивших свое значение и до настоящего времени. Однако при этом наибольшее развитие получали те идеи и методы, которые могли плодотворно использоваться в условиях существования большого разрыва между качественными и количественными сторонами теории.
Обратимся теперь к другому вопросу – о реальности резонансных структур. Сначала несколько замечаний о терминологии. Мы считаем, что термин «резонансные структуры» можно применять лишь в том случае, если речь идет об эквивалентных структурах метода ВС. Например, нельзя называть резонансными структуры бутадиена
или циклооктатетраена
.
В каждом из этих примеров первая структура может использоваться в качестве структурной формулы соединения, а вторая – не может, так как ее вес пренебрежимо мал. Действительно, длина одинарной связи в такой структуре оказывается меньше, чем длина двойной, что противоречит известным эмпирическим закономерностям, связывающим кратность связи с ее длиной. О резонансе и резонансных структурах имеет смысл говорить, когда соответствующие этим структурам квантовомеханические средние значения энергии[22]22
Эти значения электронной энергии определяются при фиксированной и тождественной для всех структур конфигурации атомных ядер методами квантовой химии. Они не имеют непосредственного физического или химического смысла и не измеряются экспериментально.
[Закрыть] равны или близки. Однако не следует связывать резонанс, понимаемый в указанном выше смысле, с какими-либо колебаниями, осцилляциями, пульсациями или флуктуациями, как это делал Полинг и другие авторы. Такие псевдоклассические представления, имеющие сомнительную ценность в отношении электронной системы молекулы, совершенно ошибочны в отношении атомных ядер, которые на данном уровне рассмотрения (электронная задача в адиабатическом приближении) следует считать неподвижными. В случае «резонанса» структур соединение обычно нельзя охарактеризовать классической структурной формулой, которая не противоречила бы его свойствам. Например, для бензола ни одна из двух классических формул Кекуле не отражает симметрии молекулы, ее физических и химических свойств. Аналогично формула
не является вполне адекватной для молекулы нафталина, так как следует принимать во внимание еще хотя бы две структуры:

Резонанс структур в органической химии обычно обусловлен сопряжением одинарных и двойных связей углерод-углерод, особенно в плоских циклических системах (ароматические углеводороды и гетероциклы). Поэтому концепция резонанса некоторое время лежала в основе теории таких соединений, пока ее не сменил метод МО ЛКАО.
Иногда с понятием о резонансных структурах связывают понятие об "электронных изомерах". При этом их определяют как химические соединения, характеризуемые одной и той же ядерной конфигурацией, но различным распределением электронной плотности. Такое представление является безусловно ошибочным, так как именно распределение электронной плотности и определяет равновесную ядерную конфигурацию. Электронным изомерам поэтому неизбежно должны соответствовать различные ядерные конфигурации, так что это понятие сводится к обычному понятию изомерии (см. подробнее работу [2]).
В свете сказанного выше закономерен вопрос: какие же стороны объективной реальности отражает концепция резонанса?
Необходимость учета нескольких резонансных структур связана прежде всего с тем, что не всегда возможно приписать химическую связь отдельным парам атомов, т. е. химическая связь может быть делокализована между тремя и большим числом атомов. Такой делокализации соответствует резонанс ковалентных структур. В то же время в соединениях с локализованными двухцентровыми связями последние могут быть (и обычно являются) поляризованными. Для отражения полярности связи следует учитывать ионно-ковалентный резонанс. В некоторых случаях без учета резонанса структур может получаться качественно неправильное описание электронной структуры молекулы, в частности, может нарушаться соответствие между симметрией молекулы и распределением в ней электронной плотности, примером чему может служить молекула бензола. Одноструктурное представление соединения, принятое в классической теории химического строения, является приближенным с точки зрения квантовохимической теории, описывающей строение химических соединений (в рамках метода ВС) несколькими резонансными структурами. Иными словами, понятие резонанса на уровне приближения, определяемом методом ВС, в концентрированном, предельно схематичном виде отражает всю эволюцию теории химического строения – от приписывания каждому индивидуальному соединению определенной классической структурной формулы до учета делокализации электронов в квантовой теории. Тем самым в принципиальном отношении появление концепции резонанса исторически явилось завершением круга идей, лежащих в основе метода ВС.
Основные черты развития теории химической связи в рамках метода МО
Выше мы рассмотрели процесс становления квантовомехаческой теории ковалентной химической связи в рамках метода ВС. Одновременной в значительной степени независимо в теоретической химии возник другой способ описания электронной структуры молекул – метод МО. Исходным пунктом его развития явилось изучение эмпирических закономерностей в области молекулярной спектроскопии. Это, в свою очередь, привело к тому, что в формирование квантовомеханической теории ковалентной связи методы ВС и МО внесли различный вклад. Как будет показано далее, сама постановка задачи в теории МО не предполагала поначалу изучение природы химической связи. Каждый из указанных методов описывал определенные аспекты строения молекул, давая о нем комплементарную информацию. Сравнительный анализ начальных этапов эволюции обоих подходов к молекулярной проблеме приводит к выводу, что такое развитие квантовой химии обусловлено не только возможностью различного математического представления N– электрон ной волновой функции молекулы, но и двумя типами исследовательской практики при изучении химических соединений.
В основе химического изучения лежит важнейшая особенность его объекта – существование рядов или серий веществ, содержащих тождественные части (ряды гомологов, соединения с различными заместителями и т. п.). При этом наряду с использованием фундаментальных физических принципов широкое распространение в химии получило сопоставление свойств в указанных рядах соединений, проводимое эмпирическим или полуэмпирическим путем и опирающееся на представление о молекуле как системе взаимодействующих атомов. Физический же подход предполагает в первую очередь сопоставление различных спектроскопических состояний одного и того же вещества.
Отмеченные различия особенно четко проявились в первые годы существования квантовой химии (1927-1929 гг.). Однако уже в 1929 г. благодаря работам Герцберга и Леннард-Джонса намечается перелом в развитии метода МО – начинает формироваться молекулярно-орбитальная трактовка понятий кратности связи, валентности и т. п. И наконец, важнейшим событием тех лет явилось создание Хартри и Фоком (1928-1930 гг.) метода самосогласованного поля. Именно в таком порядке мы будем излагать раннюю историю метода МО.
Квантовомеханичеекая интерпретация молекулярных спектров и ее роль в создании метода молекулярных орбиталей
Основные положения квантовомеханической теории молекулярных спектров были сформулированы в серии статей Хунда, опубликованных в 1927-1930 гг. под общим заголовком «К интерпретации молекулярных спектров» [54]. В них были заложены основы метода молекулярных орбиталей – доминирующего метода расчета электронной структуры молекул в современной квантовой химии. В первой из статей указанной серии – [54, I], преследуя цель качественного объяснения природы молекулярных спектров, Хунд рассмотрел простейшую модель молекулы – квантовомеханическую систему с одной степенью свободы, потенциальная энергия которой характеризуется существованием нескольких минимумов. Существенным является то, что при этом он отметил возможность установить соответствие между стационарными состояниями рассматриваемой модельной системы и состояниями, которые отвечают бесконечному удалению потенциальных минимумов друг от друга. Тем самым была установлена адиабатическая взаимосвязь между состояниями двух разделенных атомов или ионов, состояниями двухатомной молекулы и состояниями атома, образованного путем мысленного сближения атомов вплоть до объединения их ядер. Ранее аналогичные идеи высказывали некоторые авторы (например, Кондон), но они были сформулированы недостаточно четко. Практическая ценность отмеченных Хундом корреляций состояла в том, что они позволили во многих случаях получить качественно правильную схему взаимного расположения энергетических термов двухатомной молекулы.
Работа Хунда [54, II] была посвящена исследованию характерных свойств полосатых спектров двухатомных молекул (как гомо-, так и гетеронуклеарных). В дальнейшем наряду с электронной он рассматривал также колебательную и вращательную структуры этих спектров [54, III-V]. Мы остановимся только на первых двух работах, наиболее повлиявших на процесс создания молекулярно-орбитальной теории молекул.
Согласно Хунду, электронную систему двухатомной молекулы можно представить как построенную путем последовательного добавления в поле двух атомных ядер по два электрона. При этом возникает вопрос: какое квантовое состояние займет каждый из добавляемых электронов, т. е. какова последовательность одноэлектронных квантовых состояний? Очевидно, что она зависит как от зарядов атомных ядер, так и от расстояния между ними. Хунд рассматривает два случая – малые и большие межъядерные расстояния R.
Если R мало по сравнению с эффективными размерами электронных оболочек атомов, то молекулярные термы должны быть подобны термам атомным[23]23
Связь молекулярных термов с атомными была рассмотрена в 1928 г. также Вигнером, но в более общем виде с помощью теории групп.
[Закрыть]. При этом атомному Р-терму будут соответствовать два близких по энергии
атомному D-терму – три молекулярных: 
Одноэлектронные состояния образуют при малых R ту же последовательность, что и в атоме: 1s, 2s, 2p, 3s, 3р, 4s, 3d,..., если система электронейтральна или ее заряд мал; и 1s, 2s, 2p, 3s, 3р, 3d, 4s,..., если суммарный заряд ядер существенно больше числа электронов.
Простейшим случаем, рассмотренным Хундом, является атом, содержащий замкнутые электронные оболочки и один р-электрон в незамкнутой оболочке. Такой атом находится в состоянии 2Р. Мысленное расщепление ядра приводит к понижению сферической симметрии до аксиальной и, следовательно, к расщеплению 2Р-терма на
при допущении, что 2∏-терм лежит выше терма 2∑.
При наличии сверхзамкнутой оболочки лишь одного d-электрона 2D-терм объединенного атома порождает молекулярные 2∏-,
– и 2Δ-термы, приведенные здесь в порядке возрастания их энергии. При наличии пяти эквивалентных р-электронов соответствующий 2Р-терм порождает
-состояния, причем последнее имеет большую энергию. При добавлении еще одного электрона из двух указанных выше термов, 2∏ и 2∑, возникает терм 
Приведенные выше рассуждения Хунда относились к случаю, когда расстояние между ядрами являлось достаточно малым, чтобы расщепление атомных термов было существенно меньше, чем расстояние между ними на шкале энергии. Если теперь несколько увеличить межъядерное расстояние и (одновременно) взаимодействие электронов считать несколько меньшим, то энергетическая последовательность электронных уровней будет определяться в первую очередь квантовыми числами n и l, во вторую очередь – квантовым числом |m| и только в третью очередь – квантовыми числами полного спина и абсолютной величиной проекции полного орбитального момента импульса на ось молекулы. Последовательность одноэлектронных состояний характеризуется тогда рядом

Обратимся теперь к рассмотренному Хундом случаю разделенных атомов. При достаточном разведении атомных ядер термы двухатомной молекулы должны перейти в атомные термы. Если заряды ядер одинаковы (гомонуклеарная молекула), то атомные орбитали могут порождать молекулярные орбитали согласно схеме:

Атомные 1s-уровни при сближении ядер расщепляются на два молекулярных одноэлектронных σ-уровня, один из которых соответствует молекулярной орбитали, симметричной относительной плоскости, равноотстоящей от ядер и перпендикулярной к оси молекулы. Этот уровень, согласно Хунду (а также Гайтлеру и Лондону), лежит ниже, чем второй σu-уровень, соответствующий антисимметричной орбитали.
При мысленном сведении ядер до их слияния симметричная молекулярная оуорбиталь переходит в 1s-орбиталь объединенного атома, антисимметричная – в 2р-орбиталь. Поэтому эти состояния Хунд обозначает символами 1sσ и 2рσ т. е. он рассматривает молекулу с точки зрения объединенного атома. Такой взгляд был впоследствии подвергнут критике Леннард-Джонсом и Герцбергом.
Для четырех первых электронов двухатомной молекулы при большом межъядерном расстоянии реализуется конфигурация (1sσ)2(2pσ)2. Если затем добавить к ним пятый, то ему будет соответствовать 2s-орбиталь разъединенных атомов. Две таких орбитали, принадлежащие разным атомам, при сближении ядер преобразуются в симметричную и антисимметричную молекулярные σ-орбитали, причем энергия первой ниже, чем энергия второй, что следует из корреляции этих МО с орбиталями объединенного атома: симметричной МО соответствует 2sσ-AO, антисимметричной – 3pσ.
Таким образом, следует ожидать следующую последовательность одноэлектронных состояний двухатомной молекулы в порядке возрастания соответствующих им энергетических уровней: 1sσ, 2pσ, 2sσ, 3pσ, ...
Для первых восьми электронов при больших межъядерных расстояниях реализуется конфигурация (1sσ)2(2pσ)2(2sσ)2(3pσ)2. Девятый электрон соответствует 2р-орбитали разъединенного атома. Шесть таких орбиталей (по три от каждого атома) преобразуются при сближении ядер в следующие МО: симметричную σg-МО, антисимметричную σu-МО и две двукратно вырожденные симметричные πu-МО. Устанавливая соответствие между МО и АО объединенного атома, Хунд определил, что первая из названных выше МО является sσ (или dσ)-орбиталью, вторая– рσ-орбиталью, третья – pσ – и последняя dπ-орбиталями. При этом состояние 3sσ по энергии должно лежать ниже, чем 4рσ, а 2рπ ниже, чем 3dπ. По мнению Хунда, наиболее вероятной является следующая последовательность одноэлектронных состояний в порядке возрастания их энергии:

Таким образом, в 1927-1929 гг. Хундом были в качественном виде сформулированы некоторые важные идеи (одноэлектронного приближения, соответствия между атомными и молекулярными состояниями и т. п.), получившие затем более глубокую разработку. Однако его рассуждения о природе химической связи не являются специфическими для метода молекулярных орбиталей, а соответствуют более общему уровню рассмотрения, на котором не проявляются различия методов ВС и МО.
Другим исследователем, внесшим большой вклад в развитие молекулярно-орбитальной теории, был американский ученый Малликен. В 1925 г., изучая закономерности в молекулярных спектрах и сопоставляя их с атомными, он отметил сходство в спектральных характеристиках молекул CN, CO+, N2+, ВО, BeF со спектром Na. Подобные аналоги были установлены в 1925-1927 гг. в работах Мекке, Бэрджа, Шпонер и других на примере молекул СО и N2 и атома Mg, молекулы NO и атома Аl и т. п. Так, сопоставляя структуру молекулярных и атомных спектров, Бэрдж предположил, что энергетические уровни, связанные с валентными электронами молекулы, соответствуют «во всех существенных аспектах», т. е. по характеру вырождения, мультиплетности и взаимному расположению на энергетической шкале, уровням, на которых находятся валентные электроны в изоэлектронных, точнее изовалентноэлектронных, атомах. По предложению Бэрджа, молекулярные уровни стали обозначаться теми же буквами (s, p, d, f,... и т. п.), что и атомные, но только заглавными. Его обозначения 1S, 1Р, lD, 2S, 2Р соответствуют современным:
(с подуровнями 2∏1/2 и 2∏3/2).
Указанные аналогии натолкнули Малликена на мысль, что каждому электрону в молекуле можно приписать определенную орбиту [64-65]. Например, электроны в молекулах CN и ВО должны характеризоваться квантовыми числами, аналогичными квантовым числам в атоме Na (хотя эти молекулы имеют на два K-электрона больше). Созданная Малликеном теория в значительной степени основана на изложенных выше идеях Хунда. Малликен отмечает, что интерполяция между случаями строгб разделенных атомов и объединенного атома, проводившаяся Хундом, оказывается полезной для оценки электронного состояния двухатомных молекул. В частности, модель объединенного атома позволяет использовать принцип Паули для определения максимально возможного числа электронов, соответствующих любым заданным квантовым числам. Квантовые числа, характеризующие электронное состояние молекулы, получаются из квантовых чисел, соответствующих электронному состоянию объединенного атома в предположении, что этот атом помещен в сильное электрическое поле. Наложение последнего эквивалентно мысленному расщеплению ядра объединенного атома на отдельные ядра, входящие в молекулу.
Однако реальная последовательность термов по энергии может отличаться (и весьма значительно!) от последовательности, имеющей место в сильном электрическом поле. Распределение электронов для основного состояния молекулы может соответствовать их распределению в некотором возбужденном состоянии объединенного атома, и наоборот.
Так как основная часть информации о прочности химических связей основана на спектроскопических данных, Малликен высказал предположение, что при анализе электронной структуры молекулы может оказаться полезным метод, аналогичный использованному Бором для определения электронной конфигурации атомов. Этот метод состоит в том, что все электроны мысленно удаляются из атома, а затем по одиночке возвращаются в атом, занимая доступные орбиты с наиболее низкой энергией. Конечно, применение этого метода к молекулам затруднялось тем, что отсутствовала достаточная информация об энергетической последовательности орбит в молекуле. Для решения этой проблемы были использованы корреляции между предельными случаями объединенного и изолированного атомов. Развитие метода Хунда Малликеном, по мнению последнего, "состояло прежде всего в попытке определить квантовые числа отдельных электронов" [65, с. 190]. При понижении сферической симметрии изолированного атома до аксиальной электроны, характеризующиеся одними и теми же квантовыми числами n и l, но различными |m|[24]24
В обозначении Малликена – σl
[Закрыть], уже не будут эквивалентными. Их энергия теперь зависит также от абсолютной величины квантового числа m. Таким образом, атомная оболочка ns не расщепляется, в то время как оболочки np,nd,... расщепляются на две, три,... оболочек. Одна из них (σ-типа) характеризуется нулевым значением проекции одноэлектронного момента импульса на ось квантования. Она может заполняться не более чем двумя электронами с противоположными спинами. Каждой из остальных оболочек (π-, σ-...типов) соответствуют два не нулевых, равных по абсолютной величине, но различающихся знаком, значения проекции момента импульса. Соответственно эти оболочки могут заполняться не более чем четырьмя электронами.
Таким образом, как было показано Малликеном, электронные оболочки в молекуле определяются бблыпим набором квантовых чисел, а их максимальная заселенность электронами понижается. Если замкнутые оболочки в атоме содержат 2, 6, 10,... электронов, то в линейной молекуле они содержат либо 2, либо 4 электрона.
Электронные оболочки и соответствующие им одноэлектрон-ные энергетические уровни Малликен классифицировал на связывающие (bonding) и несвязывающие (unbonding). Под связывающим он понимал такой уровень, удаление электрона с которого приводит к ослаблению химической связи, в отличие от случая удаления электрона с несвязывающего уровня[25]25
Более строго определить связывающий уровень следовало бы как уровень, удаление с которого всех электронов приводит к ослаблению связи. Так, например, для молекул М2, где М – атом щелочного металла, удаление одного электрона с верхнего, дважды занятого энергетического уровня приводит к упрочению химической связи. В этом смысле уровень не должен быть, по Малликену, связывающим. Однако удаление обоих электронов приводит к распаду молекулы (точнее, молекулярного иона), и это свидетельствует о том, что именно электроны данного уровня обеспечивают химическую связь в молекулах М2.
[Закрыть], В качестве критерия прочности связи он использовал три экспериментально наблюдаемые величины: энергию диссоциации (D), равновесное межъядерное расстояние (R0) и частоту колебания (ω0) связи двухатомной молекулы. Укорочению химической связи должно, по мнению Малликена, соответствовать увеличение D и ω0.
Наиболее сложной проблемой было определение энергетической последовательности одноэлектронных состояний в молекуле. Поскольку о теоретическом расчете в то время не могло быть и речи, то Малликену пришлось использовать различную информацию (в основном экспериментальную): потенциалы ионизации, энергии электронных переходов и их интенсивности, эмпирически установленные правила отбора и т. п. Кроме того, он ввел дополнительное предположение о том, что число σ-, π-, δ-...электронов при переходе от объединенного атома к разделенным не изменяется. Однако такой переход неоднозначен, во-первых, потому, что в процессе разъединения могут получиться атомы в различных состояниях, а во-вторых, потому что объединенный атом может "расщепляться различными спобами" (например,
и т. д.).
Ввиду неоднозначности указанного перехода существенным является использование принципа изоэлектронности, а также предположения о сохранении числа σ-, π-... электронов.
Заканчивая обсуждение работ Хунда и Малликена, остановимся на их оценке. Прежде всего следует отметить, что Хундом и Малликеном была дана вполне удовлетворительная интерпретация молекулярных спектров на основе квантовой механики. Была прослежена связь молекулярных спектров с атомными. Вместе с тем был достигнут прогресс в понимании квантовомеханической природы валентности атомов и удалось объяснить некоторые особенности их химического поведения. Существенным элементом теории Хунда-Малликена была идея одноэлектронного приближения в ее простейшей формулировке. Все эти результаты составляют непреходящую ценность их работ.
В то же время следует отметить, что метод МО[26]26
Термин «орбиталь» впервые появился, по-видимому, в 1932 г., в работе Малликена [66]. Сначала же Хунд использовал термин «bahn», a Малликен – «orbit».
[Закрыть] выступает р их исследованиях преимущественно как качественная полу-^мпирическая теория молекулярных спектров. Описание молекул велось в терминах энергий и мультиплетностей термов, а не волновых функций, которые определяют распределение электронной плотности в системе. Изучались фактически корреляционные диаграммы «термы разделенных атомов – термы объединенного атома», но не детальное изменение энергии отдельных термов (или одноэлектронных состояний) при изменении межъядерного расстояния, характеризующееся потенциальными кривыми взаимодействия атомов.









![Обложка: Честь Воина [CИ]](/files/books/110/no-cover.jpg)