Текст книги "Квантовая химия — ее прошлое и настоящее. Развитие электронных представлений о природе химической связи"
Автор книги: Сергей Семенов
Соавторы: Игорь Дмитриев
Жанр:
Химия
сообщить о нарушении
Текущая страница: 2 (всего у книги 10 страниц)
Динамические модели ковалентной связи
Характерная черта динамических моделей химической связи состоит в том, что их авторы старались найти такие траектории движения электронов в молекулах (причем рассматривались, как правило, простейшие системы: Н+2, Н2), при которых между ядрами существовал бы некоторый эффективный отрицательный заряд. При этом модели молекул строились исходя из принятой модели атома, изоэлектронного данной молекуле. Например, орбиты электронов в молекуле Н2 определялись авторами путем мысленного расщепления ядра гелия на два ядра водорода и адиабатического разведения последних на расстояние, соответствующее длине химической связи в молекуле водорода.
При определении энергетической последовательности молекулярных термов Хунд и Малликен использовали аналогичный прием (правда, они рассматривали два крайних случая: "объединенного" и "разделенных" атомов). Получаемые в доквантовомеханических теориях электронные траектории отличались (иногда существенно!) друг от друга. Так, Н. Бор предложил в 1913 г. модель молекулы водорода, согласно которой ядра находятся в полюсах эллипсоида, а два электрона вращаются по его малому экватору (т. е. плоскость вращения перпендикулярна линии, проходящей через ядра). При вращении электроны находятся всегда в диаметрально противоположных положениях. Кинетическая энергия Екин = hω/2 (где ω – частота вращения) квантуется, так как квантуется момент импульса системы, а следовательно, и частота ω.
Другая динамическая модель молекулы Н2 была предложена Ленгмюром в 1920 г., согласно которой электроны совершают колебательные движения по незамкнутым траекториям (рис. 2, а).

Рис. 2. Динамические модели молекулы водорода; а – по Ленгмюру; б – по Бору-Кэмблу-Паули (модель 'перекрещивающихся орбит'); в – по Зоммерфельду-Гейзенбергу
Довольно распространенной в начале 20-х годов была модель "перекрещенных" орбит (crossed-orbit model), рассмотренная в работах Кэмбла, Бора, Паули, Борна, Ниссена, Ван Флека и Крамерса. Траектории электронов в атоме Не и в молекуле Н2, постулированные в такой модели, показаны на рис. 2, б. Расчеты Ван Флека и Крамерса показали, что орбиты должны перекрещиваться под углом 57,7°-58,2°, кроме того, существует прецессия орбит вокруг оси z. В ионе Н+2 электрон может двигаться по обеим орбитам попеременно. Квантовые условия Бора-Зоммерфельда требуют при этом, бы результирующий момент импульса системы равнялся h/2π и ее средняя кинетическая энергия была h(ωn+1/2 ωk), где ωn – круговая частота обращения электрона по n-й орбите, а ωк – частота прецессии k-й орбиты вокруг оси z.
Кроме указанных, были предложены и другие модели, напимер, Зоммерфельда и Гейзенберга ("модель проникающих эллипсов") (рис. 2, в). Однако детальный расчет движения электронов в этом случае показал, что должна иметь место прецессия орбит, в результате которой, согласно замечанию Паули, электроны должны падать на ядро Не (или водорода, если речь идет о молекуле Н2).
Все приведенные выше динамические модели имели один существенный недостаток – при детальном анализе оказывалось, что они не могут объяснить устойчивости молекулы, хотя были использованы правила квантования Бора-Зоммерфельда или их модификации. Это наводило на мысль, что существующая квантовая теория не может объяснить электронное строение молекул. По образной характеристике Джаммера, "старая квантовая теория представляла собой жалкую смесь гипотез, принципов, теорем и вычислительных рецептов, а не логически последовательную теорию. Каждая квантовотеоретическая проблема сначала решалась в терминах классической физики, а затем это классическое решение проходило сквозь таинственное решето квантовых условий или, как это происходило в большинстве случаев, классическое решение переводилось согласно принципу соответствия на квантовый язык. Обычно процесс осуществления "корректного перевода" был предметом искусного гадания и интуиции, а не дедуктивного и систематического вывода. Фактически квантовая теория была областью особого мастерства и даже артистической техники, которая была развита до наивысшей возможной степени совершенства в Геттингене и в Копенгагене. Короче говоря, квантовая теория не обладала двумя существенными особенностями зрелой научной теории: концептуальной автономией и логической согласованностью" [56, с. 196].
Только с возникновением квантовой механики создались предпосылки для реального решения проблем химической связи и валентности. Но чтобы лучше представить себе тот сложный исторический путь, который вел от классической теории химического строения через электронные концепции к созданию квантовохимических методов, мы остановимся на попытках некоторых ученых построить формально-математическую модель, способную передать основные положения классической структурной химии.
Математические модели молекул
С тех пор как химия встала, по выражению Ф. Энгельса, «с головы на ноги», т. е. на научную основу, она так или иначе стала обращаться к математике как к наиболее универсальному языку для выражения своих законов, понятий и представлений. Особенно широкое применение математических методов в химии стало возможным после создания статистической термодинамики, феноменологической кинетики и т. п. Однако со второй половины прошлого века некоторые математики обращаются к химии, пытаясь найти корреляции между математическими структурами и теориями химии, в частности теорией химического строения. К сожалению, эта линия в истории химии, а точнее, в истории связей между химией и математикой, до сих пор оказывалась вне поля зрения историков науки. Поэтому необходимо остановиться на ней отдельно, тем более, что исследования, проводимые на стыке математики и химии в прошлом столетии, повлияли на развитие теории спин-валентности.
В XIX в. в естествознании стали складываться такие ситуации, когда сначала разрабатывался математический аппарат, а уже потом начинались поиски или "случайно" находились его внематематические интерпретации. Клейн писал в "Эрлангенской программе": "... не следует умалять значение того преимущества, которое дает хорошо выработанный формальный аппарат для дальнейших исследований тем, что он до известной степени опережает мысль..." [15, с. 428].
Хронологически первой математической работой в области структурной химии была работа английского математика Артура Кэли [32], который пытался решить задачу о подсчете числа изомеров парафинов с заданным числом атомов углерода. При этом валентность атома выступала как степень вершины графа (точнее, дерева), который математически представлял химическое соединение, а именно: единица – для атома водорода и четыре – для атома углерода. Заметим, что значение валентности отнюдь не выводилось из каких-либо математических соображений, а постулировалось (вводилось в теорию) на основании химических данных. Спустя четыре года появились работы английских математиков Сильвестра [81] и Клиффорда [34], посвященные подмеченной ими формальной аналогии между соотношениями и понятиями теории химического строения и начавшей тогда развиваться алгебраической теории инвариантов. Мы не будем останавливаться подробно на этих исследованиях, а ограничимся только теми аспектами, которые оказались "математическими предвестниками" теории спин-валентности.
Каждому атому X, Y, ... в рамках указанной формальной аналогии сопоставлялся некоторый двумерный вектор, например:

Тогда можно образовать некоторую алгебраическую форму F(X, Y,...), в которую векторы X, Y,... входят в соответствующих целых неотрицательных степенях VX, VY ,..., причем VI сопоставляется с валентностью 1-го атома. Эта форма остается инвариантной относительно унитарного преобразования компонент (х+, х-), (у+, у-) и т. п.[4]4
Разные математики, разрабатывавшие эту аналогию, использовали различные формы ее выражения. Наше изложение ближе к тому, которое дал Вейль [7], хотя во многих местах и отличается от него.
[Закрыть]
Для двух векторов (двух атомов) X и Y простейшим инвариантом будет следующее выражение:
которому формально сопоставлялась единичная химическая связь и которое первоначально называли одночленным инвариантом. Одночленным инвариантам давалась следующая графическая интерпретация: если X и Y обозначить точками на плоскости, то [XY] представляет собой отрезок, соединяющий эти точки.
Далее, математически можно ввести также некоторый "свободный" вектор L. Не вдаваясь в подробности, касающиеся математических свойств L, можно указать, что графически одночленному инварианту, составленному из L и одного из «обычных» векторов," например X, соответствует направленный отрезок, начало которого лежит в точке X, а конец остается свободным X → L. Выражение [XL] можно интерпретировать как свободную валентность атома X.
Если между атомами X и Y существует несколько химических связей, например k, то математически этому случаю соответствует выражение [XY]k. Аналогично целое неотрицательное число f в выражении [XL]f указывает на число свободных валентностей атома X.
Произведению инвариантов, не содержащих свободного вектора, можно сопоставить некоторую классическую структурную формулу. Однако не все произведения одночленных инвариантов, составленные для совокупности атомов с заданными валентностями, будут независимы. Поясним сказанное примером молекулы бензола, в которой каждый из атомов углерода образует по одной связи с двумя соседними атомами углерода и ближайшим атомом водорода. Так как, согласно классической теории, углерод четырехвалентен, то необходимо рассмотреть возможные сочетания оставшихся нереализованными шести единиц валентности по одной от каждого углеродного атома.
Можно составить довольно много всевозможных произведений одночленных инвариантов:

но только пять из них являются линейно независимыми (например, I, V, VI, VII и VIII). Оставшиеся инварианты можно представить в виде линейной комбинации этих пяти, в частности:

Выбранным линейно независимым инвариантам соответствуют структуры, изображенные на рис. 3. Первые две из них называются структурами Кекуле, остальные три – структурами Дьюара.
Исследования "химико-алгебраической аналогии", начатые Сильвестром и Клиффордом, были затем продолжены в работах по теории инвариантов В. Г. Алексеева [1, 45]. Различаясь по способу математической интерпретации постулатов теории химического строения, эти работы оказались сходными в трактовках понятий валентности и химической связи, которые обладали следующими особенностями: а) валентность того или иного элемента определялась из химических, а не из математических соображений; б) валентность явно или неявно выступала как сумма кратностей связей, образуемых данным атомом с другими, причем единичной химической связи между атомами X и Y соответствовал одночленный инвариант [XY].
Указанная аналогия была скептически встречена некоторыми математиками (Нетер, Штуди). Штуди, например, писал, что "было бы слишком фантастическим ожидать, будто химия когда-либо извлечет пользу из этой ветви алгебры". Однако появлением квантовой механики положение изменилось. Если в XIX – начале XX вв. речь шла, по словам Вейля, "о исто формальной, хотя и очень впечатляющей математической аналогии", то в конце 20-х годов говорится уже о "существеннейшем звене в квантовомеханической теории химической связи, которой указанная аналогия имеет ... удивительно конкретное воплощение" (Вейль).
Выше мы рассмотрели основные направления теоретических исследований, которые подготовили почву для перехода от классической теории химического строения к квантовомеханической. Итак, можно выделить два подготовительных этапа создания квантовой теории химической связи. Первый, формально-математический, включает работы 1870 г.– 1900-х гг. (Кэли, Сильвестр, Клиффорд, Гордан, В. Г. Алексеев), в которых были предприняты попытки построения математических моделей молекул, основанные на теории инвариантов бинарных форм и теории химического строения. Второй подготовительный этап, электронный (1900-1926 гг.), включает работы, посвященные созданию электронных (как статических, так и динамических) моделей атомов и молекул.
При этом на обоих подготовительных этапах каждой ковалентной связи (валентному штриху) сопоставлялись некоторые дискретные объекты: либо это были компоненты двумерных векторов в формально-математических моделях, либо – отдельные электроны, занимающие определенные положения в атомах и молекулах (статические модели) или же двигающиеся по определенным траекториям (динамические модели). Как в математических, так и в физико-химических работах содержались рациональные идеи, вошедшие после соответствующей кванто-вомеханической интерпретации в квантовую химию: идея двухцентровой двухэлектронной связи (Льюис), возможность обобществления нескольких электронов вокруг двух и большего числа ядер (Ленгмюр), идея неподеленной электронной пары (Льюис, Сиджвик), разделение электронных и ядерных движений (Вор, Ван Флек, Зоммерфельд и др.), идея одноэлектронного приближения (Бор), сопоставление ковалентной связи некоторого математического выражения [XY], антисимметричного относительно перестановки своих компонент (Сильвестр, Алексеев и др.) и т. п.

Рис. 3. Линейно-независимые инварианты и соответствующие им структуры бензола
Создание в 1925-1926 гг. квантовой механики позволило глубоко проникнуть в сущность явлений и процессов, протекающих в атомах и молекулах, выявить физический смысл понятия химической связи и других понятий классической химии.
В конце 20-х годов были установлены общие квантовомеханические принципы и приближения, необходимые для описания многоэлектронных систем. Как и в период разработки электронных моделей (1900-1926 гг.) строения вещества, каждая квантовомеханическая модель химической связи существенно опиралась на квантовомеханическую (шредингеровскую) модель атома. На протяжении всей последующей эволюции теории многоэлектронных систем указанная взаимосвязь между теорией атома и теорией молекул сохранялась. Поэтому прежде чем приступить к рассмотрению основных этапов развития молекулярной квантовой химии и некоторых ее современных проблем, в следующей главе мы остановимся на основных понятиях и представлениях квантовой теории строения атома.
Глава 2. Квантовомеханическое описание строений атома
В настоящей главе кратко изложены некоторые результаты квантовомеханической теории строения атома, причем основное внимание уделено тем ее аспектам, которые представляют интерес для теории химической связи.
Некоторые особенности квантовомеханического описания явлений микромира
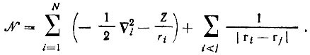
В квантовой механике состояние N-электронной системы описывается волновой функцией
зависящей от пространственных координат (ri) и спиновых переменных (σi) всех электронов. Эта функция должна удовлетворять уравнению Шредингера
(2.1)
где
– оператор Гамильтона (гамильтониан), определяющий рассматриваемую систему и для атома с зарядом ядра Z,имеющий вид
(2.2)
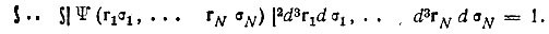
Не следует думать, что любое решение уравнения Шредингера (2.1) имеет физический смысл. В действительности на функцию Ψ накладываются определенные ограничения. В частности, для связанных состояний с дискретным спектром Е должно выполняться условие нормировки:
(2.3)
Для многоэлектронных систем чрезвычайно важным является требование антисимметричности волновой функции
относительно перестановок тождественных частиц (электронов):
(2.4)
Одним из следствий этого требования, называемого принципом Паули, является то, что для трех и большего числа электронов основным состоянием не будет состояние с наименьшим собственным значением гамильтониана, так как последнему соответствует не имеющая физического смысла симметричная волновая функция.
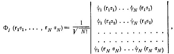
Значение принципа Паули в теории химической связи исключительно велико, и мы в дальнейшем неоднократно будем к нему обращаться. Сейчас отметим только, что любую антисимметричную N-электронную функцию Ψ можно представить в виде линейной комбинации так называемых "детерминантов Слэтера", составленных из одноэлектронных волновых функций (спин-орбиталей):
(2.5)
где
(2.6)
и индекс I при детерминанте Слэтера ΦI обозначает определенную совокупность ортонормированных спин-орбиталей ψi(rσ), которая называется спин-орбитальной конфигурацией.
В общем случае в разложение многоэлектронной волновой функции входит бесконечно много детерминантов Слэтера. Часто ограничивают это разложение одним или несколькими детерминантами. Качество такой аппроксимации зависит от качества включенных в ΦI спин-орбиталей. Наилучшие спин-орбитали получаются в методе самосогласованного поля Хартри-Фока, на котором мы подробно остановимся в третьей главе.
Электронные конфигурации атомов, термы и тонкая структура энергетических уровней
Атомные спин-орбитали, описывающие одноэлектронные состояния в атоме, приближенно (без учета спин-орбитального взаимодействия) можно представить в виде произведения бесспиновой одноэлектронной волновой функции, называемой орбиталью, на одноэлектронную спиновую функцию, которая является собственной функцией оператора проекции собственного момента импульса электрона
(2.7)
Собственные функции η(σ), соответствующие положительному cобственному значению
обозначаются как α(σ), a отрицательному 
Слэтеровский детерминант, составленный из N спин-орбиталей, является N-электронной функцией, удовлетворяющей принципу Паули и соответствующей определенным проекциям N-электронных орбитального и спинового моментов, определяемых квантовыми числами ML и MS. Однако однодетерминантная волновая функция не обязательно будет собственной для операторов квадрата полного орбитального и полного спинового моментов. Собственные функции этих операторов представляются линейными комбинациями детерминантов Слэтера, соответствующих одним и тем же значениям квантовых чисел
в пределах выбранной конфигурации.
Под электронной конфигурацией атома понимается определенное распределение электронов по nl-оболочкам:
(2.8)
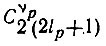
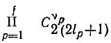
Каждая (nрlр)-оболочка представляет набор
спин-орбиталей, из которых νp заселены, т. е. включены в детерминант Слэтера. Эти νp спин-орбитали можно выбрать из (nрlр)-оболочки
способами. Следовательно, конфигурации К соответствует
однодетерминантных функций, причем их число определяется фактически лишь незамкнутыми оболочками, для которых νp<
. Например, для конфигурации ls22s22p2 атома углерода можно построить
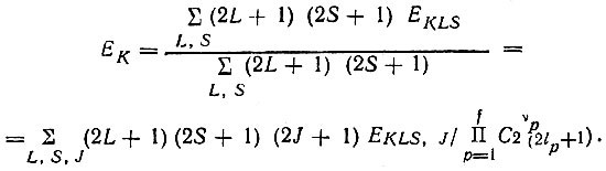
детерминантов. Из них можно составить далее 15 линейных комбинаций, соответствующих определенным значениям квантовых чисел L и S и образующих атомные термы.
Термом называется совокупность многоэлектронных функций определенной конфигурации, характеризующаяся общими для; всех функций терма значениями квантовых чисел полных орбитального и спинового моментов (L и S). Отдельные волновые функции терма различаются по квантовым числам проекций указанных моментов (ML и MS). Если не принимать во внимание взаимодействие орбитального и спинового моментов, то все волновые функции терма отвечают одному и тому же (2L + 1)(2S + 1) – кратно вырожденному энергетическому уровню атома. Спин-орбитальное взаимодействие приводит к расщеплению этого вырожденного уровня на уровни тонкой структуры, характеризуемые квантовым числом полного спин-орбитального момента J. Поправка на спин-орбитальное взаимодействие определяется приближенным выражением
(2.9)
из которого следует правило Ланде для константы спин-орбитального взаимодействия
(2.10)
Легко убедиться, что
(2.11)
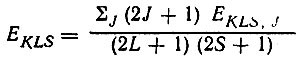
т. е. энергия терма равна средневзвешенному значению энергетических уровней тонкой структуры:
(2.12)
Согласно правилам Хунда, энергия EKLS,J будет наименьшей, если: 1) квантовое число S максимально; 2) при равных S максимально квантовое число L; 3) при равных S и L квантовое число J максимально при AKLS<0 и минимально при AKLS> 0.
В качестве примера использования правил Хунда рассмотрим структуру энергетических уровней атома углерода для конфигурации ls22s22p2 (рис. 4). Из пятнадцати однодетерминантных шестиэлектронных функций этой конфигурации можно составить девять функций терма 3Р (L = 1 и S = 1), пять функций терма 1D (L = 2 и S = 0) и единственную функцию терма 1S (L = 0 и S = 0). Наименьшей энергии отвечает терм 3Р, обладающий максимальной мультиплетностью по спину. За ним следует терм 1D, поскольку он характеризуется большим значением квантового числа L, чем терм 1S, при равной спиновой мультиплетности.

Рис. 4. Структура энергетических уровней атома углерода
Спин-орбитальное взаимодействие приводит к расщеплению лишь терма 3Р, так как для остальных термов полный спиновый момент равен нулю (а мультиплетность – единице). Для терма 3Р константа А > 0 и, следовательно, уровни тонкой структуры этого терма возрастают в последовательности 3Р0, 3P1, 3Р2, где нижний индекс указывает значения квантового числа J.
Строго говоря, орбитальные энергии εnl различны для разных термов одной конфигурации. Согласно расчету Клементи, атомным орбиталям 1s22s22p2-конфигурации углерода в зависимости от терма соответствуют анергии εnl (в атомных единицах):

Таким образом, расстояние между энергетическими уровнями 2s– и 2p-АО при переходе от терма 3Р к терму 1S увеличивается почти на 0,16 ат. ед., что соответствует 4,3 эВ или 98 ккал/моль.
В большей степени орбитальные энергии зависят от атомной конфигурации. Эту зависимость можно показать на примере рассмотренной выше 1s22s22p2-конфигурации и возбужденных 1s22s22p3– и 1s22р4-конфигураций атома углерода [70]. Из множества термов, соответствующих этим конфигурациям, выберем термы 3Р и 1D:

Под полной электронной энергией атомной конфигурации следует понимать средневзвешенное значение энергии ее термов:
(2.13)
Было бы ошибкой отождествлять энергию конфигурации с суммой орбитальных энергий
(2.14)
Эта величина, как и орбитальные энергии, определяется не только конфигурацией, но и термом атомного состояния. Кроме того, Eoрб составляет лишь часть, причем меньшую часть, полной электронной энергии термов.
По мере увеличения заряда атомного ядра погрешности, связанные с пренебрежением одноэлектронным спин-орбитальньм взаимодействием, увеличиваются, и приходится учитывать расщепление каждой (nl)-оболочки на две подоболочки, различаю щиеся новым спин-орбитальным квантовым числом j:

При этом атомные спин-орбитали уже не могут быть представлены как произведение орбитали и спиновой функции (α или β), и конфигурация атома характеризуется распределением электронов по (nlj)-оболочкам:

Рис. 5. Структура энергетических уровней атома свинца
Многоэлектронные волновые функции, соответствующие уровням тонкой структуры, строятся в этом приближении, называемом приближением j-j-связи, непосредственно из детерминантов «расщепленной» конфигурации.
Схему j-j-связи иллюстрирует пример атома свинца, основная конфигурация которого (...6s26p2) аналогична основной конфигурации атома углерода (...2s22p2), но существенно отличается от последней структурой энергетических уровней (рис. 5)
Следует подчеркнуть, что выбор квантовых чисел, определяющих состояние атома, зависит от того, в каком приближении мы его рассматриваем. Так, без учета спин-орбитального взаимодействия состояние атома характеризуется квантовыми числами L и S. Однако при учете этого взаимодействия уже нельзя говорить о сохранении орбитального и спинового моментов по отдельности, и соответствующие им квантовые числа L и S не будут более "хорошими" квантовыми числами. Вместо них следует использовать квантовое число J, характеризующее полный спин-орбитальный момент импульса, который в этом приближении будет сохраняться. В то же время если спин-орбитальное расщепление энергетических уровней достаточно мало, можно установить соответствие между уровнями тонкой структуры и определяемыми в более грубом приближении энергетическими уровнями термов. Точно так же для тяжелых атомов квантовое число l, характеризующее одноэлектронный орбитальный момент импульса, перестает служить «хорошим» квантовым числом, лишь только мы учитываем спин-орбитальное взаимодействие на одноэлектронном уровне.









![Обложка: Честь Воина [CИ]](/files/books/110/no-cover.jpg)