Текст книги "Квантовая химия — ее прошлое и настоящее. Развитие электронных представлений о природе химической связи"
Автор книги: Сергей Семенов
Соавторы: Игорь Дмитриев
Жанр:
Химия
сообщить о нарушении
Текущая страница: 10 (всего у книги 10 страниц)
Почему образуется химическая связь?
Традиционно образование химической связи объясняют понижением потенциальной энергии при сближении атомов, которое превосходит повышение кинетической энергии, так что алгебраическая сумма этих двух величин оказывается отрицательной. Однако, как было показано Рюденбергом [21], в действительности дело обстоит сложнее. По мнению Рюденберга, образование химической связи обусловлено преимущественно понижением кинетической энергии электронов вследствие их большей делокализации в молекуле, чем в невзаимодействующих атомах. Более детальный анализ проблемы был проведен Годдардом и Уильсоном [44] на примере молекулы водорода с использованием обобщенного метода ВС. Согласно этому методу, двухэлектронная функция молекулы Н2 может быть записана с точностью до нормировочного множителя в виде
(4.102)
где а(r) и b(r) – неортогональные молекулярные орбитали, оптимизированные для каждого межъядерного расстояния R.
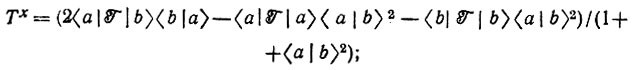
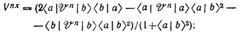
При этом энергия обменного взаимодействия атомов водорода (Ех) может быть представлена как сумма кинетической (
х) и потенциальных ядерной (Vnx) и электронной (Vех) составляющих:
(4.103)
где
(4.104)
(4.105)
(4.106)

– оператор кинетической энергии электронов; Vn – оператор потенциальной энергии ядер; Каb, Тab – обменный и кулоновский интегралы.

Рис. 26. Отдельные компоненты полной энергии молекулы Н2 как функци межъядерного расстояния (по Годдарду)
Оказывается, что из Ех можно выделить члены, отвечающие за образование связи. Из рис. 25, на котором изображены полученные Годдардом кривые зависимости величин Tx, Vnx, а также разности w = E – Tx от R, видно, что единственной отрицательной составляющей обменной энергии является Тх, причем ее понижение относительно ТR=∞x превосходит соответствующее изменение прочих составляющих энергии (Δw.) Чтобы объяснить этот факт, перепишем выражения для Tx и Vnx в следующем виде:
(4.107)
(4.108)
где "обменная матрица плотности"
(4.109)
vn – потенциал ядер и локальная кинетическая энергия
(4.110)

– оператор градиента.
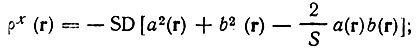
Существенным является то, что в то время как в выражение для "обменной" матрицы плотности входят произведения орбиталей а(r) и b(r), величина tx включает градиенты этих орбиталей. Если обе орбитали в области связи имеют одинаковые знаки, то можно ожидать, что величина ρx будет мала в этой области вследствие частичной компенсации членов в квадратных скобках. Для величины tx, напротив, следует ожидать большого по абсолютной величине и отрицательного значения. Действительно, в области связи одна из орбиталей убывает, в то время как другая – возрастает, и градиенты этих орбиталей имеют различные знаки. Поэтому каждый член в квадратных скобках формулы (4.110) будет положительным.
До сих пор речь шла о низшем синглетном состоянии молекулы водорода. Для этого состояния ρх в области связи положительна (хотя и мала). Для триплетного состояния, соответствующего отталкиванию ядер атомов водорода без образования ими стабильной молекулы, можно показать, что величина ρх отрицательна. Это создает иллюзию, будто причиной образования молекулы является увеличение электронной плотности между ядрами. Такая точка зрения ие соответствует, однако, действительности. Следуя Годдарду, мы показали выше, что причиной образования химической связи правильнее считать благоприятную конградиентность орбиталей, реализующих связь. Однако следствием благоприятной конградиентности являются также положительные значения ρx. Иначе, концентрация электронной плотности в области связи, уменьшение локальной кинетической энергии в этой же области и образование стабильной молекулы являются следствиями одной и той же причины – благоприятной конградиентности орбиталей.
Список литературы
1. Алексеев В. Г. О совпадении методов формальной химии и символической теории инвариантов.– «Журн. Русск. физ.-хим. об-ва», 1901, т. 33, отдел I, вып. 4, с. 314-348.
2. Берсукер И. Б. Электронное строение и свойства координационных соединений. Изд. 2-е. Л., «Химия», 1976.
3. Борисова Н. П., Семенов С. Г. Молекулярно-орбитальное, определение кратности химической связи.– «Вестн. Ленингр. ун-та», 1973, № 16, с. 119-124.
4. Борисова Н. П., Семенов С. Г. Молекулярно-орбитальное исследование валентной структуры органических соединений.– «Вестн. Ленингр. ун-та», 1976, № 16, с. 98-103.
5. Быков Г. В. История электронных теорий органической химии. М., Изд-во АН СССР, 1963.
6. Быков Г. В. История органической химии. М., «Химия», 1976, 360 с.
7. Вейль Г. Валентность и иерархия химических структур.– В кн.: Прикладная комбинаторная математика. Пер. с англ. Под ред. М. Е. Деза. М., «Мир», 1968, с. 339-350.
8. Вигнер Е. Теория групп и ее приложения в квантовомеханической теории атомных спектров. Пер. с англ. Под ред. И. Я. Смородинского. М., Изд-во иностр. лит., 1961.
9. Гиллеспи Р. Геометрия молекул. Пер. с англ. Под ред. Ю. А. Пентина. М., «Мир», 1975.
10. Горьков Л. П., Питаевский Л. П. Энергия расщепления термов молекулы водорода.– «Докл. АН СССР», 1963, т. 151, с. 822-825.
11. Дмитриев И. С. Симметрия в мире молекул. Л., «Химия», 1976.
12. Дмитриев И. С. Молекулы без химических связей. Очерки о химической топологии. Л., «Химия», 1979.
13. Дмитриев И. С. Развитие электронных теорий ковалентной связи в работах Дж. Льюиса и И. Лэнгмюра.– В кн.: Вопросы истории и методологии химии. Под ред. Р. Б. Добротина. Л., Изд-во ЛГУ, 1976, с. 98-116.
14. Каплан И. Г. Симметрия многоэлектронных систем. М., «Наука», 1969.
15. Клейн Ф. Сравнительное обозрение новейших геометрических исследований (Эрлангенская программа). Пер. с нем.– В кн.: Об основаниях геометрии. Под ред. А. П. Нордена. М., Гостехиздат, 1956, с. 399-451.
16. Кузнецов В. И. Диалектика развития химии. М., «Наука», 1973, 303 с.
17. Местечкин М. М. Метод матрицы плотности в теории молекул. Киев, «Наукова думка», 1977.
18. Пальм В. А. Введение в теоретическую органическую химию. М., «Высшая школа», 1974.
19. Полинг Л. Химики – это те, кто на самом деле понимают мир.– «Химия и жизнь», 1976, № 2, с. 92-97.
20. Родный Н. И. Общая характеристика состояния науки периода 1800-1870 гг.– В кн.: Проблемы развития науки в трудах естествоиспытателей XIX века. Под ред. Б. С. Грязнова и др. М., «Наука», 1973, с. 7-28.
21. Рюденберг К. Физическая природа химической связи. Пер. с англ. Под ред. А. М. Бродского. М., «Мир», 1964.
22. Семенов С. Г. Локализация молекулярных орбиталей методом эталонной матрицы плотности.– «Вестн. Ленингр. ун-та», 1978, № 10, с. 107-113.
23. Семенов С. Г. Анализ заселенностей и проблема неортогональности многоцентрового базиса атомных орбиталей.– Там же, 1977, № 22, с. 125-131.
24. Сизова О. В., Барановский В. И. Электронное строение, донорно-акцепторные свойства и взаимное влияние лигандов в комплексах [PtX3L]n.– «Теор. и эксперим. химия», 1975, т. 11, с. 147-155.
25. Соловьев Ю. И. История химии. Т. 1. М., «Просвещение», 1977.
26. Фок В. А. О волновых функциях многоэлектронных систем.– «Журн. эксперим. и теор. физ.», 1940, т. 10, вып. 9-10.
27. Чаркин О. П., Бобыкина Г. В., Дяткина М. Е. Орбитальные потенциалы ионизации атомов и ионов в валентных конфигурациях.– В кн.: Строение молекул и квантовая химия. Киев, «Наукова Думка», 1970, с. 155-175.
28. Armstrong D. R., Fortune R., Perkins P. G. A molecular orbital study of the trans effect.– «Inorg. chim. Acta», 1974.
29. Armstrong D. R., Perkins P. G., Stewart J. J. P. Bond indices and valency.– «J. Chem. Soc. Dalton Trans.», 1973, p. 838– 840.
30. Armstrong D. R., Perkins P. G., Stewart J. J. P. Valencies (and bond indices for the elements from hydrogen to clorine.– «J Chem. Soc. Dalton Trans.», 1973, p. 2273-2277.
31. Boys S. F. Localized orbitals and localized adjustment functions.– In: Quantum theory of atoms, molecules, and the solid state. N. Y., 1966, p. 253-262.
32. Cayley A. On the mathematical theory of isomers.– «Phil. Mag.», 1874, v. 47, p. 444-449.
33. Christoffersen R. E., Baker K. A. Electron population analysis. Gross atomic charges in molecules.– «Chem. Phys. Lett.», 1971, v. 8, p. 4-9.
34. Clifford W. Letter to J. J. Sylvester.– «Amer. J. Math.», 1878, v. 1, p. 126-128.
35. Clinton W. L., Nakhleh J., Wunderlich F. Direct determination of pure-state density matrices-"Phys. Rev.", 1969, .v. 177, p.1.
36. Coulson С A., Moffit W. E. The properties of certain strained hydrocarbons.– «Phil. Mag.», 1949, v. 40, p. 1-35.
37. Davidson E. R. Electronic population analysis of molecular wave functions.– «J. Chem. Phys.», 1967, v. 46, p. 3320.
38. Edmiston C, Ruedenberg K. Localized atomic and molecular orbitals.– «J. Chem. Phys.», 1965, v. 43s, p. 97-115.
39. Fock V. Naherungsmethode zur Losung des quantenmechamschen Mehrkorperproblems.– «Z. Phys.», 1930, Bd 61, S. 126-148.
40. Gallup G. A., Norbeck J. M. Population analysis of valencebond wavefunctions and BeH2.– «Chem. Phys. Lett.», 1973, v. 21, p. 495-500.
41. Gaunt J. A. Theory of Hartree's atomic fields.– «Proc. Cambridge Phil. Soc», 1928, v. 24, p. 328-342.
42. Giambiagi M., Giambiagi M., Grempel D. R. e. a. Sur la definition d'um indice de liaison (TEV) pour des bases non orthogonales. Proprietes et applications.– «J. Chim. Phys.», 1975, v. 72, p. 15-22.
43. Goddard W. A. Improved quantum theory of many-electron systems.– «Phys. Rev.», 1967, v. 157, p. 73-93.
44. Goddard W. A., Wilson С. Exchange kinetic energy contragradience and chemical binding.– «Chem. Phys. Lett.», 1970, v. 5, p. 45-49.
45. Gordan P., Alexeiew W. Ubereinstimmung der Formeln der Chemie und der Invariantentheorie.– «Z. Phys. Chem.», 1900, Bd 35, H. 5, S. 610-633.
46. Grabenstetter J. E., Whitehead M. A. CNDO: Problems in electron population analysis.– «J. Chem. Sos. Faraday Trans.», 1973, N 7, p. 962-967.
47. Hartree D. R. The wave mechanics of an atom with a non-coulomb central field.– «Proc. Cambridge Phil. Soc», 1928, v. 24, p. 89-110.
48. Heitler W. Gruppentheorie der homoopolaren chemischen Bindung.– «Z. Phys.», 1928, Bd 47, S. 835-849.
49. Heitler W. Quantentheorie der Valenz.– «Naturwiss.», 1929, Bd 17, S. 546-574.
50. Heitler W., London F. Wechselwirkung neutral Atome und homoopolare Bindung nach der Quantenmechanik.– «Z. Phys.», 1027, Bd 44, S. 455-472.
51. Heitler W., Rumer G. Quantenchemie mehratomiger Molekule.– «Nachr. Gott. Math.– Physik», 1930, H. 3, S. 277.
52. Heitler W., Rumer G. Quantentheorie der chemischen Bindung fur mehratomige Molekule.– «Z. Phys.», 1931, Bd 68, S. 12.
53. Herzberg G. Zur Bildung der Zweiatomige Molekule.– «Z. Phys.», 1929, Bd 57, S. 601-612.
54. Hund F. Zur Deutung der Molektilspektren.– «Z. Phys.», 1927, Bd 40, S. 742-764; Bd 42, S. 93-120; Bd 43, S. 805-826; 1928; Bd 51, S. 759-795; 1930, Bd 63, S. 719.
55. Hund F. Molekulbildung.– «Ergeb. exact. Naturwiss.», 1929, Bd 8, S. 147-201.
56. Jammer M. The conceptual development of quantum mechanics. N. Y., McGraw-Hill Book Company, 1966, 356 p.
57. Langmuir I. The arrangement of electrons in atom and molecules.– «J. Amer. Chem. Soc», 1919, v. 41, p. 868-934.
58. Lennard-Jones J. E. The electronic structure of some diatomic molecules.– «Trans. Farad. Soc», 1929, v. 25, p. 668.
59. Lewis G. N. The Atom and the Molecule.– «J. Amer. Chem. Soc», 1916, v. 38, p. 762-785.
60. London F. Quantentheorie der homoopolaren Valenzzahlen.– «Z. Phys.», 1928, Bd 46, S. 455-478.
61. London F. Quantenmechanik der homoopolaren Valenzchemie.– «Z. Phys.», 1928, Bd 50, S. 24-52.
62. Lowdin P. O. On the nonorthogonality problem.– «Adv. Quant. Chem.», 1970, v. 5, p. 185-199.
63. McWeeny R., Del Re G. Griteria for bond orbitals and optimum hybrids.– «Theor. Chim. Acta», 1968, v. 10, p. 13-22.
64. Mulliken R. S. Class of one-valence-electron emitters of band spectra.– «Phys. Rev.», 1925, v. 26, p. 561-573.
65. Mulliken R. S. The assignment of quantum numbers for electrons in molecules.– "Phys. Rev.", 1928, v. 32, p. 186– 222, 761-814.
66. Mulliken R. S. Electronic structures of polyatomic molecules and valence.– «Phys. Rev.», 1932, v. 41, p. 49-71.
67. Mulliken R. S. Electronic population analysis on LCAO-MO molecular wave functions.– «J. Chem. Phys.», 1955, v. 23 p. 1833-1840.
68. Martensson O., Ohm Y. Complex hybridization of orbitals of s– and p-types.– «Theor. Chim. Acta», 1967, v. 9, p. 133-139.
69. Matsen F. Chemistry without spin.– «J. Amer. Chem. Soc», 1970, v. 92, p. 3525-3538.
70. Offenhartz P. SCF wavefunctions and energies for valence states and excited of carbon and nitrogen.– «Chem. Phys. Lett.», 1973, v. 21, p. 388-394.
71. Pauling L. The shared-electron chemical bond.– «Proc Nat. Acad. Sci.», 1928, v. 14, p. 359-362.
72. Pauling L. The nature of the chemical bond.– «J. Amer. Chem.Soc», 1931, v. 53, p. 1367-1400; 1932, v. 54, p. 988.
73. Poluk R. Optimum hybrid orbitals in localized orbitals.– «Int. J. Quant. Chem.», 1970, v. 4, p. 271-287; 1972, v. 6, p. 1077-1086.
74. Roby K. R. Quantum theory of chemical valence concepts.– «Mol. Phys.», 1974, v. 27, p. 81-104; v. 28, p. 1441-1456.
75. Roothaan С. СJ. New developments in molecular orbital theory.– «Rev. mod. Phys.», 1951, v. 23, p. 69-89.
76. Rumer G. Zur theorieder Spinvalenz.– «Nachr. Gott. Math.– Phys.», 1932, H. 4, S. 337-341.
77. Saltzman M. D. Benzene and the triumph of the octet theory.– «J. Chem. Educ», 1974, v. 51, p. 498-502.
78. Sidgwick N. V. The electronic theory of valence. Oxford, Univ. Press, 1927, 223 p.
79. Sidgwick N. V. The nature of the non-polar link.– «Trans. Faraday Soc», 1923, v, 19, p. 468-475.
80. Slater J. C. The theory of complex spectra.– «Phys. Rev.», 1929, v. 34, p. 1293-1323.
81. Sylvester J. J. On an application of the new atomic theory.– «Amer. J. Math.», 1878, v. 1, p. 64-104.
82. Switkes E., Stevens R. M., Lipscomb W. N. e. a. Localized bonds in SCF wave functions for polyatomic molecules.– «J. Chem. Phys.», 1969, v. 51, p. 2085-2093.
83. Waller I., Hartree D. R. On the intensity of total scattering of X-rays.– «Proc. Roy. Soc», Ser. A., 1929, v. 124, p. 119.
84. Walsh A. D. The structures of ethylene oxide, ciclopropane and related molecules.– «Trans. Faraday Soc», 1949, v. 45, p. 179-190.
85. Weyl H. Gruppentheorieund Quantenmechanik, Leipzig, 1928, S. 328.
86. Weyl H. Zur quantentheoretischen Berechnung molecular Bindungsenergien.– «Nachr. Gott. Math.– Phys.», 1930, H. 3.
87. Weyl H., Teller E., Rumer G. Einefur dieValenztheoriegeeig-nete Basis der binaren Vektorinvarianten.– «Nachr. Gott. Math.– Phys.», 1932, Hf. 6, S. 499-504.
88. Wiberg K. B. Application of the Pople-Santry-Segal CNDO method to the cyclopropylcarbinol and cyclobutilcation and to bicyclobutanel– «Tetrahedron», 1968, v. 24, p. 1083.
89. Wiberg К. В., Ellison G. В., Wendoloski J. J. Electronic states of organic molecules.-"J. Amer. Chem. Soc", 1976, v. 98, p. 1212-1218.









![Обложка: Честь Воина [CИ]](/files/books/110/no-cover.jpg)