Текст книги "Рождение и гибель цивилизаций"
Автор книги: Григорий Кваша
Соавторы: Виктор Курляндский
сообщить о нарушении
Текущая страница: 28 (всего у книги 34 страниц)
Данте был сторонником хорошо организованной (как этрусская цивилизация) общемировой монархии, правящей, не испытывая давления ни со стороны церкви, ни со стороны низших классов, но заботящейся о народах, обеспечивающей «земное благополучие людей», несовместимое со средневековой несвободой людей. Его вдохновлял вариант идеи «вселенской монархии», сформулированный и осуществлявшийся Александром Македонским. Данте готов был сделать и делал для торжества своей политической мечты все. Причем для него было не принципиально, какой именно из европейских монархов объединит Италию, Европу, мир. Если бы, например, королю Германии Генриху VII удалось покорить Италию, расширить свое королевство до границ Римской империи в пик ее расцвета и могущества, Данте послал бы ему новые письма с рекомендациями, касающимися будущего устройства нового мира.
Очевидна аналогия с настроениями и тревогами Нострадамуса, но одни и те же события мировой истории трактовались и оценивались бы двумя гениями по-разному. Событие «объединение Германии» оба отметили бы знаком плюс. Встречу глав государств Европы в Хельсинки Данте использовал бы, чтобы обратиться к «королям», но, конечно, не но обсуждавшимся ими темам.
Объединение Италии и ликвидация светской власти Папы Римского, состоявшиеся только в 1870 году, и нормализация отношений между итальянским государством и церковью в 1929 году обрадовали бы Данте. Но по-настоящему взволновали бы поэта (и политика XIV века, говорившего: «Я сам себе партия») Бонапарт Наполеон и входящая в Рим гвардия императора, но неизвестно, какое бы настроение было у Данте, доведись ему побеседовать с императором Франции. Хотя Наполеона нельзя сравнивать с Александром Македонским.
Данте стал гениальным новатором, первым представителем итальянского Возрождения и в то же время – пленником утопий уходящего или много столетий назад безвозвратно ушедшего времени. Страсти, борьба, надежды, которыми он жил, совсем не похожи на очень рассудочное, упорное, кропотливое нострадамусов-ское служение делу жизни – идее создания на столетия вперед зашифрованного календаря-пророчества. От Данте скорее можно было бы ожидать адресованное потомкам и, конечно, незашифрованное прекрасное по исполнению и философско-утопическое по содержанию сочинение об этрусской культуре с предложениями автора о будущем устройстве Италии и Европы.
«Пирамида Данте»
Автор «Божественной комедии» положил в основу своего шифра математику пирамиды. Данте, живший на двести пятьдесят лет раньше Нострадамуса, воспринимал мироздание как континуум раз и навсегда установленных незыблемости, рациональности и красоты. Не случайно число К стало ключом, открывшим логику построения его гениального произведения. Периметры основания пирамид, сооруженных фараонами IV династии в середине III тысячелетия до нашей эры, равны произведению их высот на удвоенное К, а при вычислении объемов сооружений жрецы оперировали понятием вторая степень числа К (табл. 16).
Таблица 16

Формулы говорят о том, что, если объем какой-либо пирамиды, имеющей египетскую геометрию, был бы равен 142,3 условных единиц объема, то высота такой пирамиды была бы равна точно 12 условным единицам длины, а сторона основания – 6х 71. Но 142,3 – среднее количество строк в одной песне «Божественной комедии», или, что то же самое, отношение общего количества строк произведения к общему количеству песен. То есть числа строк трех частей поэмы содержат информацию, определяющую параметры трех пирамид разной высоты или трех частей одной пирамиды.
Чтобы расшифровать тайное послание Данте мы должны, используя сокрытые в структуре «Божественной комедии» ряды чисел, построить одну, но состоящую из трех слоев пирамиду, ибо:
а) поэт проповедовал идею единства целого, понимая смысл гармонии в соподчинении элементов друг другу ради объединяющего их целого;
б) ратовал за объединение всего мира, это всегда звучало в его политических высказываниях, в его творчестве; объединение геометрических составляющих пространственного образа – символ его мироощущения;
в) в поэме можно встретить образы, свидетельствующие о желании автора синтезировать из простого сложное [43] – «строй членов мира уступами идет и, сверху взяв, потом вручает ниже».
Строя пирамиду, будем придерживаться следующих принципов:
а) используем египетское соотношение между высотой и периметром основания;
б) количество строк в очередной песне поэмы будет восприниматься нами как объем очередного слоя пирамиды, заключенного между двумя плоскостями, параллельными основанию, расстояние между которыми определится геометрией пирамиды;
в) строить начнем с вершины;
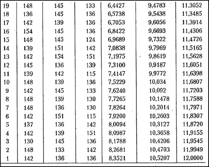
г) первым в ряду цифр будем считать количество строк последней песни произведения – песни 33 части «Рай» (см. табл. 17, 18).
Таблица 17


Таблица 18


В песне 33 части «Рай» Данте пишет [43]:
Единый миг мне большей бездной стал,
Чем двадцать пять веков – затее смелой…
К этим двум строкам нужно отнестись как к подсказке: автор поэмы сравнивает путь через чистилище в рай с затеей, продолжавшейся 2500 лет. Нам известна и точка на оси времени, от которой нужно отложить эти двадцать пять веков. Это 1310 год – дата письма Данте к королю (аналогия с письмом к сыну Цезарю в исследовании «Центурий» Нострадамуса).
Логика проста. Начало отсчета времени должно предшествовать 1310 году. Даты календаря отсчитываются от вершины пирамиды. Интервал в 2500 лет занимает на пирамиде расстояние от вершины до границы между нижним (часть «Ад») и средним (часть «Чистилище») слоями, являющимися нашей грешной Землей, где Данте и писал в 1310 году письмо к королю. Двадцать пять веков отмеряются на календаре 10,5207 условной единицы длины или 10,5207 отрезками в 1/12 часть высоты пирамиды.
Точкой отсчета времени, которую Данте поместил на вершине пирамиды, является 1190 (не исключено—1200) год до нашей эры:
1310–2500 = -1190.,
А масштаб времени получается при делении чисел:
2500 / 10,523–237,575.
Округление дает 238. Очень близко символическое 240. Совсем рядом число 235, соответствующее количеству лунных месяцев в 19-летнем цикле повторения во времени события совпадения конкретных фазы луны и даты солнечного года, которое отслеживалось жрецами и Старого Света, и доколумбовой Америки.
Имея точку отсчета и масштаб времени, проще всего проверить календарь, узнав, какую он назовет дату, когда мы спустимся к основанию пирамиды «на дно ада». Формула для вычисления следующая: минус 1190 (возможно, минус 1200) плюс 237,575 (возможно, 235, 238 или 240) умножить на 12 единиц. Если перебрать все возможные комбинации, получаются следующие даты (табл. 19), одна из которых должна подтвердить, что мы нашли правильное решение.
Таблица 19

Очевидно, что наиболее подходящей датой для «дна ада» является 1666 год (начало отсчета —1190 год до нашей эры, масштаб времени 238 лет/единиц). Шкала времени, имеющая начало отсчета 1190 год до нашей эры и масштаб времени 238 лет/единиц, показана в табл. 20.
Таблица 20

Даты 1190 год до нашей эры, 798, 1313 и 1666 годы доказывают, что мы шли маршрутом, проложенным Данте. 1190 год до нашей эры – время правления фараона Рамсеса IV, последнего, кто сумел обеспечить могущество и величие Древнего Египта, когда во главе богатого, хорошо организованного государства стоял царь – фактически бог. После Рамсеса IV страну начали сотрясать войны и внутренние распри. 1190 год – вершина монархического рая, о котором мечтал Данте. 798-й – время правления Карла Великого (742–814), – последнего монарха, объединившего Европу, создавшего империю, достойную называться наследницей Древнего Рима. Всего через два года – в 800-м – сам Папа Римский Лев III (750–816 годы) коронует его императорской короной. Интересно, что если умножить высоту 8,3521 не на 238, а на 240, то (при том же начале отсчета 1190 год) мы получим цифру 814. В 814 году последний великий император умер, что привело к распаду империи, покрывавшей территорию многих современных европейских государств.
В понимании Данте в 798 (в 814) году закончилось время «рая» и началось «чистилище». Вход в «ад» обозначен двумя цифрами тринадцать (1313 год). Современники поэта, видимо, были последними, кому посчастливилось не попасть в «ад». Цифра 1666 содержит три шестерки. В том злополучном году конца света не случилось, если не считать большого пожара в Лондоне. Но Данте важно было показать, что это именно дно «ада», что он очень остроумно и сделал. Вершина пирамиды, вершина «рая», начало отсчета времени на календаре находятся в 1190 году до нашей эры.
Общая протяженность пирамиды измеряется 2856 годами: 1666 + 1190–2856.
В 798 году закончилось время «рая» и началось время «чистилища».
1313 год – рубеж между «чистилищем» и «адом».
1666 год – «дно ада».
Но в циклично меняющемся мире всегда есть надежда на лучшие времена. Как известно, главный герой «Божественной комедии», побывав на самом дне ада, совершает трудный подъем через ад и чистилище в рай. Если следовать логике предшествующих вычислений, то годом выхода на границу между адом и чистилищем календарь назовет 2019 год:
1666+ (1666–1313) = 2019.
Соответственно, границей между чистилищем и раем станет 2534 год:
1666 + (1666 – 798) = 2534.
А на вершину пирамиды – на вершину рая – история придет в 4522 году: 1666 + (1666 + 1190) – 4522,
Таково пророчество, оставленное потомкам автором «Божественной комедии». Вероятно, Данте и Нострадамус в своих тайных посланиях Говорили об одном и том же. И это «одно и то же» было и остается крайне важным и для великих авторов, и для всего человечества Чтобы постигнуть Тайну, необходимо шагнуть на следующий – более высокий – уровень понимания древних. И такой шаг мы сейчас сделаем…
Глава VIГОРОДА,
РОЖДЕННЫЕ ПОД СОЗВЕЗДИЕМ ОРИОНА
Вы сейчас испытаете потрясение,
одно из сильнейших в жизни
Ориентация величественных элементов некрополя в Гизе, направление отверстий и проходов в пирамидах точно соответствуют расположению тех или иных звезд в определенные, зафиксированные моменты времени. Главной «темой» проекта некрополя является попытка воспроизведения на поверхности Земли астрономической карты пояса созвездия Орион.
Из-за прецессии оси Земли небесная сфера и вместе с ней созвездия непрерывно меняют свое положение относительно земного наблюдателя, даже если мы обращаем свой взор на небо только, например, в день весеннего равноденствия. А пирамиды тысячелетиями остаются неподвижными, «вкопанными» в вечные и тяжелые пески Египта. Сооружения не перенесешь, и они стоят на отметке 30 градусов северной широты, храня память о боге Осирисе и акте объединения Верхнего и Нижнего Египта в одно государство со столицей в Мемфисе.
Авторы работы [100], сформулировав это противоречие, утверждают, что жрецы нашли решение проблемы «бега» за звездами, инициировав строительство в устье1 Нила новой столицы – Александрии, зафиксировав объединение Египта с землями Европы и Азии в рамках империи Александра Македонского. Раз уж эта мысль так ясно изложена, я считаю возможным опубликовать собственные аналогичные утверждения, проливающие свет на историю империй и деятельность таких организаций, как «Этрусское братство».
1.
Александрия была построена под созвездием Орион, но это не последний город, ставший священным знаком на Земле, фиксирующий небесный путь бога Осириса в «ладье» созвездия Орион. Географические координаты и даты основания столиц государств мира, возникших по воле бога Осириса, перечислены в табл. 21, а график (рис. 14) доказывает, что появление крупнейших исторических центров мира в определенном месте в определенное время жестко детерминировано.

Рис. 14
Таблица 21

Все четыре столицы лежат на одной географической вертикали – узкой полосе шириной в 1°31′ (или иначе: 91', ибо 1° – 60') между 28°57′ и 30°28′ восточной долготы. Эту полосу можно назвать продолжением реки Нил, а города – аналогами древней столицы Египта Мемфиса. Точнее, эта линия на поверхности Земли является проекцией медленного прецессионного дрейфа созвездия Орион вдоль Млечного Пути (важное значение такого дрейфа и аналогии между рекой Нил и небесной рекой Млечный Путь для религиозного мышления древних египтян раскрывается в работе [100]).
На рис. 14 показано, как города отстоят друг от друга на поверхности планеты. Обратите внимание на важную для восприятия информации особенность рисунка: график сильно сжат в направлении долготы. Расстояния между городами географически одинаковы. Исторические события, с ними связанные, буквально повторяли друг друга по существу, о чем мы еще поговорим, и происходили последовательно одно за другим также через примерно равные промежутки времени.
Поскольку закономерность не случайна, следующим будет город, имеющий координаты, близкие к 30° восточной долготы и 70° северной широты. Произойдет это в XXIV столетии. Могущественный Некто назовет северный город великой столицей. Народы севера Европы должны с пониманием отнестись к предложению этого Некто построить новый город в честь бога Осириса, ибо [118]: «Существует предание о норвежском короле Гальфдане Черном, чье тело было разрезано на куски и захоронено в различных частях его королевства для того, чтобы сделать плодородной землю».
2.
Чтобы в соответствии с указаниями звездного неба в нужный момент объединить Египет со значительной частью остального мира и на земной поверхности поставить город, святилище или иной знак, символизирующие новое отражение созвездия Орион, нужно было:
а) подготовить царя (убедить в необходимости совершения исторического поступка);
б) дать ему ресурсы (например, указать ему координаты залежей полезных ископаемых, которых множество в недрах любой страны мира, как это было в Македонии, разбогатевшей на продаже золота);
в) оснастить его армию лучшим оружием, какое знала эпоха, и обучить ее передовым методам ведения войны;
г) предоставить ему (разведывательную) информацию о соседях-противниках;
д) другими возможными способами обеспечить его победы на полях сражений (например, указать ему места, где его соседи и недруги хранят свои сокровища и запасы продовольствия, как в случае с Александром Македонским).
Все это могло быть сделано с помощью доверенных и посвященных, подготовленных в Египте за десятилетия до необходимой даты. Как результат – строительство, например, Александрии; вся биография Александра Македонского, По крайней мере, до момента выполнения им божественной миссии.
Александрия, как и некрополь в Гизе, построена на западном берегу Нила, ниже по течению (в направлении смещения созвездия), севернее площадки трех пирамид, на берегу Средиземного моря в 332–331 годах до нашей эры в точке, имеющей географические координаты 29°55′ восточной долготы и 31°13′ северной широты. Константин I не случайно переносит в 330 году столицу Римской империи из благополучного и благоустроенного Рима на восток в город Византий, ставший Константинополем, на берегу далекого пролива Босфор – в точку с координатами 28°57′ восточной долготы и 41002' северной широты. Жрецы ему объяснили, что если он сделает это, то прославит свое имя, подобно сыну бога Александру Македонскому.
Духовным наследником Византии стала Киевская Русь. Согласно «Повести временных лет» в 980 году новгородский князь Владимир Святославович (Владимир Красное Солнышко) совершил поход и завоевал Киев. Стай киевским князем (правил Киевом в 980– 1015 годах), он женился на сестре византийского императора Анне. В 988–989 годах Киевская Русь приняла православие. К 989 году Киев превратился в столицу нового православного государства. Такие четкие, целенаправленные действия князя заставляют думать, что он руководствовался каким-то великим планом, в успехе которого не сомневался. В высшее предназначение князя верили и в Византии, иначе не отдали бы дочь из императорской семьи в северную страну.
Так и хотелось написать – «в страну на Востоке».
Но в том то и дело, что Киев и Константинополь находятся друг над другом и их с абсолютно равным основанием можно назвать восточными городами. Координаты Киева – 30°28′ восточной долготы и 50°30′ северной широты. Интересно, что впервые Киев упоминается в русских летописях в связи с походом Руси на Византию под датой «860 год». Возвышению Киева способствовало его выгодное географическое положение: через город проходил торговый путь «из варяг в греки». Но ведь этот путь есть не что иное, как та параллель, о которой мы говорим.
Если египетская и послеегипетская история поднимается из Гелиополиса и Мемфиса вертикально на север в Варяжский залив, то когда-то имело место обратное движение. И, возможно, началось оно за многие тысячелетия до нашей эры, еще в доегипетские времена. А славянам этот древний маршрут был известен как «путь из варяг в греки».
В истории Руси большое значение имело правление варяжского и одновременно древнерусского князя Олега, именно ему удалось в 911 году установить выгодные торговые отношения с Византией. Современники называли князя Вещим Олегом, то есть знающим будущее. Возможно, Вещий Олег знал от византийцев именно то будущее, которое мы пытаемся постичь.
Итак, и в случае с Киевом вновь вдоль одной и той же географической вертикали происходит повторяющееся событие: князь (царь, император) покидает цветущий город и выбирает новую географическую точку для своей резиденции (столицы). Какая-то сила срывает его с места и заставляет действовать строго определенным образом. Все императоры и князь осуществляют то, что от них требуют боги вопреки любым трудностям.
Это особенно отчетливо видно в случае с русским царем. Петр I в мае (в том же месяце, что и Константин I) 1703 года основывает новую столицу России Санкт-Петербург на только что с большим трудом отвоеванном болотистом, обдуваемом холодными ветрами северо-западе страны в точке с координатами, близкими к 30 градусам восточной долготы (30°20′) и 60 градусам северной широты (59°55′), ив 1712 году провозглашает новый город столицей Российской империи.
Аналогия между поступками императоров Александра Македонского, Константина I, Петра I и князя Владимира Святославовича явная. Перечисленные исторические события подчиняются математически строгой пространственно-временной закономерности. История работает точно как часы. Будьте уверены: предсказание, касающееся города севернее Санкт-Петербурга, осуществится!
3.
Описанные исторические события удалены друг от друга в пространстве и во времени в точном соответствии с простой (но от этого жутковатой) формулой:
ОДИН ГРАДУС ШИРОТЫ «ПРЕОДОЛЕВАЕТСЯ» ИСТОРИЕЙ ЗА 72 ГОДА.
Это те же 72 года, которые требуются небесной сфере для прецессионного поворота на 1 градус.
Обнаруженная закономерность кажется тем более удивительной, если вспомнить, что географические координаты городов и даты их основания взяты из современных справочников, а не зафиксированы в момент самих событий столетия назад. От жрецов следовало ожидать нечто подобного, ибо они реализовывали свои замыслы с фантастическим упорством.
О точности расположения пирамид ходят легенды [100]: «Пирамида Хеопса (Хуфу)… этот монумент расположен почти точно на одной трети расстояния между экватором и Северным полюсом…отклонение составляет 1 дуговую минуту и 9 дуговых секунд, поскольку точная широта пирамиды равняется 29°58′51″…если бы проектировщик хотел, чтобы наблюдатель реально (а не мысленным взором) видел, стоя у подножия пирамиды, небесный полюс на высоте 30 градусов, ему пришлось бы учесть атмосферную рефракцию, а для этого пришлось бы возвести постройку не точно на тридцатой широте, а на широте 29°58′22″. Иными словами, выясняется, что монумент отстоит менее чем на полминуты к северу от астрономической широты 30 (без поправки на атмосферную рефракцию)».
В работе [100] сообщается интересная информация: «Самая нижняя (по отношению к горизонту) из трех звезд пояса созвездия Орион – звезда Аль-Нитак (небесный аналог пирамиды Хеопса) в 10 500 году до нашей эры в день весеннего равноденствия находилась в низшей точке прецессионного цикла и наблюдалась с площадки некрополя в Гизе точно на юге, точно на небесном меридиане» (настолько точно, что авторы работы, характеризуя расположение звезд, говорят, что «небеса находятся в идеальном порядке»). Млечный Путь при этом совмещался на южном горизонте с рекой Нил. Что это значит?
Если вы видите на небосводе звезду некого созвездия, висящую на высоте U градусов над южным горизонтом, а вам хочется, Чтобы она лишь только показывалась из-за горизонта (угол был не U градусов, а 0 градусов), то вам нужно срочно переместиться по поверхности планеты на север по меридиану на U градусов широты.
Но, оказавшись в новом месте наблюдений, вы будете радоваться не долго. Скоро вы обнаружите прецессию небосвода. Через U><72 года вы будете вынуждены констатировать, что звезда опять оказалась на высоте U градусов над южным горизонтом.
Если ваши религиозные ритуалы требуют определенного положения звезды над горизонтом, вам придется регулярно строить новые святилища все севернее и севернее и постепенно со скоростью один градус за 72 года перемещаться к Северному подюсу Земли. Надо понимать, что обстоятельства не позволяли участникам реальной истории математически точно выполнять «завет богов». На выбор императорами времени и географических координат событий могло влиять множество факторов, в том числе традиции, суеверия, рекомендации личных астрологов. И наконец, важно учитывать, что мы не располагаем абсолютно точной информацией о случившемся.
Сведения о дате и обстоятельствах основания города более-менее точны в случае с Константинополем и Санкт-Петербургом. Известно, что Константинополь был провозглашен столицей Римской империи 11 мая 330 года после 40 дней торжеств. О событиях 16 мая 1703 года в Санкт-Петербурге известно следующее [163]: «По прибытии на остров Люистранд и по освящении воды и по прочтении молитвы на основание града и по окроплении святою водою, взяв заступ, царь начал копать ров. Тогда орел с великим шумом парения крыл от высоты опустился и парил над оным островом. Царское величество, отошел мало, вырезал три дерна и изволил принесть ко означенному месту. В то время зачатого рва выкопано было земли около двух аршин глубины и в нем был поставлен четвероугольный ящик, высеченный из камня, и по окроплению того ящика святою водою изволил поставить в тот ящик ковчег золотой, в нем мощи святого апостола Андрея Первозванного, и покрыть каменною накрышкою, на котором вырезано было: «По воплощении Иисус Христове 1703 мая 16 основан царский град Санкт-Петербург великим государем царем и великим князем Петром Алексеевичем, самодержцем Всероссийским». И изволил на крышку онаго ящика полагать реченные три дерна с глаголом: «Во имя Отца, и Сына, и Святого Духа, аминь. Основан царствующий град Санкт-Петербург»».
Царь Петр I не мог ни принимать во внимание, ни тем более забыть, что в 1703 году исполнилось 250 лет с момента падения столицы православной Византийской империи – Константинополя, которую русские называли Царьградом: 1703–1453 = 250.
В российском обществе о Византии помнили всегда. И, закладывая Санкт-Петербург, царь православной России думал о Царьграде. Это становится тем более очевидным, если вспомнить, что 3 июля 1700 года в Константинополе был заключен договор между Россией и Турцией, который вошел в историю как Константинопольский мирный договор 1700 года. В соответствии с этим договором Россия открыла дипломатическое представительство в Константинополе. За несколько месяцев до этого – 15 декабря 1699 года – Петр I своим указом вводит в России христианское летосчисление, в соответствии с которым «день следующий после 31 декабря 7208 года от сотворения мира считать 1 января 1700 года от Рождества Христова». Царь Петр I вспомнил о времени (о календаре) спустя десять лет после вступления на престол. Видимо, именно около 1699 года ему «некто» поведал тайну египетских жрецов, и это заставило царя действовать.
Точность в удаление городов друг от друга наводит на мысль найти и изучить точку на карте Египта, находящуюся на девять с половиной угловых градусов южнее Александрии. Что там находится? Абу-Сим-бел, скальный храм, вырубленный по приказу фараона Рамсеса II около 1260 года до нашей эры. А еще южнее? Вопрос к археологам.
Таблицы, в существование которых трудно поверить
Взаимосвязанность городов очевидна (табл. 22).
Таблица 22


Точность совпадения расчетного (столбец 1 табл. 22) и реального (столбец 2 табл. 22) размещения столиц государств, сыгравших важнейшую роль в истории человечества, – Российской империи, Киевской Руси, Византийской империи, империи Александра Македонского и Древнего Египта, не превышает 16 угловых минут (столбец б табл. 22), что составляет 2,8 % от расчетного расстояния между городами. Удаленность описанных исторических событий друг от друга в пространстве и во времени можно приблизительно вычислить в соответствии с уже сформулированной нами формулой: «история», «двигаясь» с юга на север, от города к городу, преодолевает каждый градус широты за 72 года (то есть 360° за 25 920 лет, или 200° за 14 400 лет). Но существует и более точный алгоритм определения дат событий мировой истории (табл. 23).
Таблица 23

В табл. 23 сопоставляются расчетные (столбец 3 табл. 23) и реально наблюдавшиеся (столбец 6 табл. 23) в различные годы истории человечества (столбец 4 табл. 23) максимальные (в течение года) углы подъема звезды Аль-Нитак пояса созвездия Орион над южным горизонтом при наблюдении из точки с географическими координатами З1009' восточной долготы и 29°58′51″ северной широты (площадка некрополя в Гизе в Египте). В основе расчетной модели
Алгоритм определения дат истории человечества лежит ряд натуральных чисел от 0 до 14 (см. столбец 1 табл. 23). Каждое число ряда последовательно умножается на угол -27' (столбец 2 табл. 23).
Первый из результатов умножения вычитается из астрономически максимально возможного угла подъема звезды Аль-Нитак над южным горизонтом в точке наблюдения – угла 58°10′, а за ним все остальные из последовательно получающегося по мере вычитания значений угла (столбец 3 табл. 23). Образуется математически закономерная последовательность углов, которая по методике своего формирования абсолютно никак не связана с желанием кого бы то ни было описать астрономические, временные или какие-либо иные параметры событий реальной истории человечества.
Годы, когда наблюдалось совпадение расчетных и реальных углов подъема звезды (столбец 4 табл. 23), связанные с ними исторические события (столбец 5 табл. 23) и высокая точность совпадения расчетов и реальностью (см. столбец 7 табл. 23), не оставляют сомнений в том, что построенная модель описывает историю рождения столиц: Древнего Египта – Мемфиса, империи Александра Македонского и Египта – Александрии, Римской и Визаитийской империй – Константинополя, Киевской Руси – Киева, Российской империи – Санкт-Петербурга. Ключевым в табл. 23 является угол -27' (столбец 2 табл. 23). Это не случайный множитель. В табл. 22 точки на Земле, расстояние между которыми вычислялось, были удалены друг от друга на угловое расстояние, равное 200°/21 (столбец 1 табл. 22). В табл. 23 при расчете углов подъема звезды над горизонтом используется множитель – 27':
– 2712,653292» = (200°/21)/21.
То есть сравниваемые таблицы – две иллюстрации одной единой математической модели, объединяющей географические, исторические и астрономические события.
В верхних строках табл. 22 и 23 остались незаполненными места для внесения записей (столбцы 2–6 табл. 22 и столбец 5 табл. 23). Табл. 22 и 23 предсказывают появление в 2378 году севернее Санкт-Петербурга в точке с расчетной географической координатой близкой к 69°34′48,85714» северной широты города будущего со столь же необычной и великой судьбой, как и у городов – членов «клуба столиц».
В табл. 22 и 23 записаны результаты астрономических наблюдений и вычислений, характеризующих прецессионное смещение созвездия Орион за неполные 13 ООО лет, зафиксирована траектория прецессионного смещения звезды Аль-Нитак созвездия Орион. В угловых единицах записано несколько промежуточных положений звезды по отношению к южному горизонту площадки некрополя в Гизе. Моменты фиксации положения звезды отдалены друг от друга не случайно выбранными отрезками времени, в сумме составляющими ровно половину периода прецессии. Причем расчетная модель траектории предельно проста. При ее построении используются лишь натуральные числа и элементарные вычислительные операции.
Астрономия повлияла и на содержание табл. 22, где лишь на первый взгляд речь идет только о географии отрезков, границами между которыми являются города или характерные географические точки двадцать две (столбец 1 табл. 22). Двадцать из них имеют одинаковую протяженность, равную 200°/21. Десять уложились от точки «I» до точки «10», еще десять – от точки «-1» до точки «-10» (наименований границ отрезков соответствует числам числовой оси). Протяженность каждого из двух оставшихся отрезков – от «0» до «1» и от <Ц)» до «-1», равна 1/2Х 200°/21.
Построенная структура симметрична. Но центром симметрии является не географический «ноль» – не экватор, а точка, находящаяся на параллели 1°50′54″ южной широты (столбец 2 табл. 22). Куда же и зачем перенесено начало системы координат, от которого отсчитывалось расстояние при определении мест расположения столиц (если, конечно, этот судьбоносный для каждого государства вопрос решался именно с помощью таблиц)? Ответ дает астрономия. Параллель 1°50′54″ южной широты – северная граница области на Земле, где звезду Аль-Нитак созвездия Орион можно наблюдать в зените. Настанет день и час, когда, наблюдая с площадки некрополя в Гизе, можно будет увидеть звезду Аль-Нитак в наивысшей точке ее прецессионного подъема – на высоте 58°10′ над южным горизонтом. И в тот же самый день на параллели V50'54» южной широты у всех идеально вертикально расположенных осей и поверхностей материальных объектов исчезнут тени от света этой звезды. Звезда займет место в зените.
Следовательно, табл. 22 связывает между собой географические координаты Александрии, Константинополя, Киева, Санкт-Петербурга, нескольких других особых географических точек и параллель 1°50′54″ южной широты, где раз примерно в 26 ООО лет можно будет наблюдать в зените одну из звезд созвездия Орион. Причем точность, с какой определяются места расположения столиц, не дает оснований говорить о случайности и об отсутствии научности предсказаний. При работе с расстояниями в десятки угловых градусов (от параллели 1°50'54» южной широты до значительно удаленных от экватора городов Северного полушария Земли) отклонения составляют: для Санкт-Петербурга – 00°08′, для Киева и Константинополя – 00°02' (столбец б табл. 22).









