Текст книги "Путевые заметки рассеянного магистра"
Автор книги: Владимир Левшин
сообщить о нарушении
Текущая страница: 8 (всего у книги 9 страниц)
ВОСЕМНАДЦАТОЕ ЗАСЕДАНИЕ КРМ
началось очень грустно. Последнее письмо Магистра пришло уже несколько месяцев тому назад, но продолжения не следовало. Неужели нашего путешественника действительно унесло к Северному полюсу и затёрло льдами? А Единичка? Она ведь тоже осталась на расколовшейся льдине! Неужели и ей суждено погибнуть? Мы просто терялись в догадках, и, по правде говоря, нам было не до разбора каких-то ошибок…
Но вот когда надеяться вроде было уже не на что, клуб КРМ все же собрался, чтобы обсудить драматический, и, увы, последний рассказ рассеянного математика.
Ясным апрельским утром мы вышли на Фрунзенскую набережную. Как на грех, на Москве-реке начинался ледоход. Мы тотчас представили себе наших друзей, одиноких, затерянных во льдах, и от этого нам стало ещё грустнее. Все уныло смотрели на ту сторону реки, где расположен Парк культуры и отдыха. Он был ещё закрыт.
На голубом небе чётко вырисовывалось неподвижное «чёртово колесо», тоже напоминавшее нам о пропавших путешественниках.
Настроение было самое похоронное. И всё же стоило нам заняться Магистровыми нелепостями, как на лицах заиграли улыбки и заседание пошло как по маслу.
– Итак, – начал президент, – попрошу разъяснить, как это Магистр умудрился вовремя попасть на симпозиум в Рио-де-Магистро?
– Достаточно внимательно прочитать его рассказ, – сказала Таня, – и все станет ясно. Магистр и Единичка летели на восток в сверхзвуковом самолёте и пересекли Берингов пролив. Так ведь?
– Так, – подтвердил Нулик. – Ну и что?
– А то, что в Беринговом проливе проходит та самая граница – линия смены дат, – по одну сторону которой уже наступил новый день, а по другую ещё продолжается вчерашний. Значит, пролетая Берингов пролив, наши путешественники из среды попали… во вторник!
– Я ещё в прошлый раз догадался, в чём дело, – похвастался Сева. – Ведь телеграмму-то Магистру прислал Паспарту! А Паспарту – это же слуга Фи́леаса Фо́гга, героя романа Жюля Верна «Вокруг света в 80 дней»!
– Э! – обрадовался президент. – Это и я читал. Этот самый Филеас Фогг чуть не проиграл пари, думая, что опоздал в свой клуб на один день. А оказалось…
– А оказалось, что он не учёл того же, что и наш Магистр, – закончил Сева.
– Ясно! – заключил президент. – Вопрос исчерпан. А вот насчёт возраста деда буду исчерпывать я сам. Магистр много путешествовал, а у нас в Карликании, как видно, не побывал. Иначе ему бы любой из наших Нуликов объяснил, чем отличается разность двух чисел от их частного.
И президент очень обстоятельно (научился-таки!) разъяснил, в чём это отличие заключается.
– Если возраст внука обозначить буквой «икс» (x), – сказал он, – то возраст деда будет равен двум иксам (2x): ведь при встрече с Магистром дед был в два раза старше внука. А вот тридцать лет назад внуку было (x-30) лет, а деду (2x-30) лет. Но так как тогда дед был в пять раз старше внука, то можно составить простенькое уравнение:
2x-30 = 5(x-30).

А дальше проще простого: стоит решить это уравнение, как сразу выяснится, что x=40, то есть внуку 40 лет, ну а деду, естественно, 80.
– И вот что замечательно, леди и джентльмены, – важно закончил Нулик, явно подражая Севе, – разность между возрастами деда и внука всё время остаётся постоянной – 40 лет. А вот отношение их возрастов непрерывно меняется. Этого-то и не учёл Магистр! И чем старше становились дед и внук, тем это отношение становилось меньше. Однако, проживи они хоть миллион лет, отношение никогда не превратится в единицу. А уж тем более дед никогда не станет моложе внука…
Пройдя по Крымскому мосту, мы подошли к кассам парка, они были закрыты.
Таня вздохнула:
– Точно в такой же кассе Магистр и Единичка покупали билеты на симпозиум…
– Билеты, за которые не только не платят, но ещё и получают деньги.
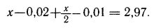
– Бедный Магистр! – грустно сказала Таня. – Его так это удивило, что он позабыл превратить магистро в единичкос! Ведь в одном магистро, как я поняла, было сто единичкос. А Магистр складывал, так сказать, рубли с копейками.
– Все понятно! – вновь воодушевился президент. – Теперь я догадался; уравнение надо было составить так:

А отсюда, конечно же, следует, что x=2. Значит, за свой билет Магистр получил два магистро без двух единичкос, то есть 1,98 магистро. А Единичка получила вдвое меньше: 0,99 магистро. А все вместе и составляет 2 магистро и 97 единичкос. Как в аптеке.
Поразительнее всего, что президент проделал все эти вычисления в уме!
– Пора открывать симпозиум, – объявил Сева, когда все вдоволь наизумлялись вычислительным способностям Нулика. – Но так как парк закрыт, предлагаю продолжить заседание в гостеприимной квартире нашего верховного арбитра.
– Ладно, – сказал я. – Где начинали, там и закончим. И вся наша компания направилась к моему дому. Возглавлял шествие Пончик, знаменитая ищейка. Вид у пса был очень довольный: ему определённо нравится ходить ко мне в гости.
По дороге (а она была не столь уж короткой) обсуждение продолжалось. Разрешения заняться двойной каруселью попросил Олег.
– Вещий Олег заговорил! – обрадовался Сева. – Скажи мне, кудесник, любимец богов, как ты собираешься отметить неразумным магистрам?
«Месть» Олега была весьма краткой, зато хорошо обоснованной:
Если Единичкин гепард мчался по окружности втрое большей, чем та, по которой ползла черепаха Магистра, то за один оборот черепахи гепард успел бы сделать только треть полного оборота, если бы… если бы скорости их были одинаковы. Но ведь гепард «мчался» вдвое быстрее черепахи (видно, он и сам был из породы черепах). В таком случае он успевал за то же время сделать не одну треть, а две трети оборота. Ясно, что и гепард и черепаха снова окажутся против щели тогда, когда одновременно сделают целое число оборотов. А это произойдёт через три полных оборота черепахи. Единичка же на своём гепарде сделает при этом только два оборота. Единичка успевала через каждые два оборота крикнуть: «Привет!», в то время как Магистр по причине головокружения только и сумел, что крикнуть «Караул!».

– Караул! – ни с того ни с сего закричал президент к вящему изумлению прохожих, и сам себя так испугался, что не проронил ни слова до самого моего парадного. Здесь, правда, пришлось ему нарушить молчание. – Эге! – сказал он, взглянув наверх. – Вы тоже, как видно, достаточно рассеянны. Ушли, а света в комнате не погасили.
В самом деле: окно моё ярко светилось в наступивших сумерках.
– Не погасил, потому что не зажигал, – ответил я насмешнику. – И, очевидно, кто-то сделал это за меня.
… Я не ошибся. В комнате на краешке тахты скромно сидела тоненькая девочка в белом фартуке поверх коричневого школьного платьица. Короткие тугие косички её были перехвачены белыми бантами.
– Вы меня не узнаете? – спросила незнакомка, заметив наше недоумение. – А я вас всех сразу узнала!
– Единичка!! – взвизгнула Таня и бросилась на шею гостье.
Стоит ли говорить, что было дальше! Единичку забросали вопросами: как она спаслась? Как попала сюда? Почему так долго не давала о себе знать? А главное – что с Магистром?
– В последний раз я видела Магистра больше месяца назад, – сказала Единичка, когда мы утихомирились. – Как вы знаете, мы плыли с ним на небольшом айсберге в неизвестном направлении. Он уверял, что нас несёт к Северному полюсу. Так ли это, не знаю. Во всяком случае, нам действительно было очень холодно. Чтобы согреться, мы сидели, тесно прижавшись друг к другу. Но вдруг Магистру вздумалось проверить, глубоко ли погружён в воду наш айсберг. Он лёг на самый край льдины и перегнулся, пытаясь рукой достать до её основания. Напрасно я убеждала его, что достаточно смерить высоту айсберга над водой.
– Это почему же? – удивился Нулик. – Ведь Магистр хотел узнать, как глубоко айсберг погружён в воду. Зачем же ему измерять, на сколько он вылезает из воды?
Глаза Единички насмешливо сверкнули, но она очень мило объяснила, что, учитывая удельные веса льда и морской воды, можно заранее сказать, что на поверхности находится примерно одна восьмая часть айсберга. Остальные семь восьмых сидят в воде. А ещё она рассказала про замечательного американского писателя Эрне́ста Хемингуэ́я, который сравнивал знания писателя с айсбергом: на поверхности может оставаться всего лишь одна их восьмая. Остальным семи восьмым лучше пребывать в глубине – читатель и так почувствует их громадный запас.
– Хемингуэй! – повторил Нулик, словно пробуя на вкус странную незнакомую фамилию. – Хемингуэй… А он ничего, соображает!
Единичка закусила губу, чтобы не рассмеяться.
– Да, говорят, неглупый был человек. Но вернёмся всё-таки к Магистру. Когда он перегнулся, льдина снова раскололась, и мы с ним очутились на разных обломках. А тут ещё поднялся ветер, течение усилилось, и оба наши полуайсберга понеслись в разные стороны. И так как полярная ночь ещё не кончилась, я сразу же потеряла Магистра из виду. Скоро меня прибило к какому-то острову, где живут наши зимовщики. Они меня накормили, обогрели и отправили на Большую землю. И там меня встретил папа (Единичка засмеялась), папа Минус, – так окрестил его Магистр. А потом я вас долго и безуспешно разыскивала, потому что адрес ваш остался в рюкзаке у Магистра. Но вот чудо! Вчера вечером почтальон принёс мне посылку. И что бы вы думали в ней было? Рюкзак. Знаменитый рюкзак. Его, оказывается, тоже прибило к зимовке. Вместе с рюкзаком зимовщики прислали письмо, в котором сообщают, что Магистра пока ещё не нашли.
– Значит, пора вмешаться в это дело нам, – решительно сказал президент и предложил тотчас, сию же минуту прервать заседание клуба и всем вместе отправиться в спасательную экспедицию.
Я, однако, убедил его, что заседание прерывать незачем: нам ведь необходимо будет обратиться в Управление полярной авиации, а сегодня этого уже не сделаешь: рабочий день окончен.
– Ну что ж, – нехотя согласился президент, – придётся ждать до завтра. Зато кое-что можно сделать и сегодня.
– Что ж это, позвольте узнать? – спросил Сева.
– Принять в наш клуб Единичку!
Ветераны клуба приветствовали заявление Нулика бурными аплодисментами. Президент величественно поклонился:
– Поздравляю, дорогая Единичка! Вы приняты единогласно. Надеюсь, вы не откажетесь участвовать в разборе двух последних ошибок нашего рассеянного друга?
– Охотно! Но дайте мне сперва войти в курс дела.
– Пожалуйста, – согласился Сева. – Перед вами воображаемые качели, а в них сидит Магистр. Он задумывает число. Задумал – и вот уже качели взвились вверх! При каждом взмахе Магистр прибавляет к задуманному числу по единице. Но стоп – красная лампочка! Магистр запоминает последнее, произнесённое им в уме число. А далее… далее… по-моему, никто не в состоянии отгадать: на сколько среднее арифметическое больше среднего геометрического квадратов задуманного и последнего чисел? Ведь Магистр не назвал задуманного числа!
– Простите, – робко сказала Единичка, – вы сказали, что никто не в состоянии отгадать… А я вот… вы уж извините… Я вот отгадала. Разве Магистр не писал вам об этом?
– Он-то писал, – смутился Сева, – но я, признаться, ему не поверил…
– Но я и в самом деле отгадала, – уверяла Единичка. – Это же так просто. Я сосчитала, сколько взмахов сделали качели, пока Магистр к задуманному числу прибавлял по единице и пока не зажглась красная лампочка. Взмахов было 8. Тогда я сначала возвела 8 в квадрат, а потом разделила на два. Получилось 32. Вот и ответ.

– Ну, знаете, – запротестовал Нулик, – это ещё требуется доказать! У нас на слово не верят!
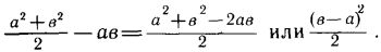
– Попробую, – согласилась Единичка, – доказательство несложное. Обозначим задуманное Магистром число буквой a, а последнее число (при котором зажглась красная лампочка) – буквой b. Квадраты их равны a2 и b2. Вычислим среднее арифметическое этих квадратов: (a2+b2)/2 и их среднее геометрическое,

то есть просто ab. Остаётся вычесть из одного другое:

Вот и все. Ведь (b-a) – это разность между последним числом и задуманным, и она равна числу качельных взмахов, то есть восьми. А дальше все, как я уже говорила.
Нулик как раскрыл рот в начале Единичкиного объяснения, так до конца его и не закрывал.
– Вот это да! – вымолвил он наконец. – Это я понимаю!
Все согласились с восторженной оценкой президента. Единичка, слегка покраснев, смущённо потряхивала косичками.
– Остаётся «чёртово колесо», – напомнила Таня. – Магистр с поднебесной высоты увидел круг с диаметром и описанную около него равнобочную трапецию. Далее…
Что было далее, Таня не досказала, потому что дверь внезапно распахнулась, и в комнату вошёл… Магистр! Все так и ахнули. Увидев Единичку, в свою очередь ахнул и Магистр.
– Единичка!! – закричал он не своим голосом. – Ты здесь! Какое счастье, какое счастье! Для того чтобы найти тебя, стоило пересечь все океаны и полюсы. Кстати, у меня для тебя радостная весть: я нашёл ту бумажку, которую ты мне сунула на этом «чёртовом колесе». Вот она! И теперь я понял: ты была права!

Магистр обнял Единичку, расцеловал её в обе щеки, а потом повернулся к нам:
– Простите, друзья, я даже не поздоровался с вами, но прежде всего я считал своим долгом восстановить справедливость. Теперь это сделано, стало быть, здравствуйте!
И опять все загалдели, стали пожимать Магистрову руку, выхватывать друг у друга Единичкину записку и, конечно же, отбиваться от Пончика, который носился по комнате и прыгал как сумасшедший.
Магистр строго следил за тем, чтобы Единичкину записку прочитали и поняли все.
Содержание её не мешает довести и до вашего сведения. Вот оно: «Боковая сторона равнобочной трапеции, описанной около круга, есть среднее арифметическое её оснований, и диаметр этого круга – их среднее геометрическое. Проверьте сами. Единичка».
Магистр хотел было познакомить нас с результатами своей проверки, но члены клуба единодушно заявили, что верят ему на слово.
Сейчас же им до смерти хочется выслушать рассказ Магистра о его скитаниях.
ЗАКЛЮЧИТЕЛЬНЫЙ РАССКАЗ РАССЕЯННОГО МАГИСТРА
По следам Пифагора
– Так вот, – начал Магистр, – увидав, что льдина раскололась и Единичка одна, без меня, несётся в неизвестном направлении, я ужаснулся. Что делать? Недолго думая я швырнул рюкзак в океан, надел на себя спасательный круг и бросился в ледяную пучину.
– Боже мой! – всплеснула руками Таня. – Представляю себе, какие мрачные мысли вас терзали.
– Почему мрачные? – изумился Магистр. – Наоборот! Тут-то пришла мне в голову превосходнейшая мысль: я впервые понял, что такое спасательный круг. Ведь это же тор! Притом полый. Да, есть такое геометрическое тело, называемое полым тором, а полый – значит, пустой внутри. Правда, существует ещё и сплошной тор, только это уже не спасательный круг, а, скорее, бублик, баранка… Однако меня-то гораздо больше интересует полый тор. Почему? Да потому, что он имеет сейчас большое применение в физике. Вы, конечно, знаете о существовании синхротрона: это устройство для ускорения элементарных частиц материи – всяких там электронов, протонов, нейтронов и так далее и тому подобное. Так вот, синхротрон как раз и имеет форму полого тора. Совсем как спасательный круг! Разумеется, синхротрон малость побольше, но для ускорения такой элементарной частицы материи, как я, вполне хватило и спасательного круга. Кстати, он и вправду меня спас, потому что заставил в трудную минуту отвлечься математикой, а это так организует, так успокаивает!
– А потом? – торопил президент.
– Потом я глотнул немного солёной водички, и мне стало не по себе, но тут кто-то меня подхватил, поднял над водой и помчал неизвестно куда.
Президент зажмурился:
– Неужели акулы?
Магистр жизнерадостно улыбнулся:
– В этом случае я вряд ли имел бы возможность беседовать с вами. К счастью, то был дельфин. Да, да, прелестный, резвый дельфин! О, дельфины – необыкновенные существа! Они одарены чуть ли не человеческим разумом. И так любят людей, что диву даёшься. Недаром слово «дельфос» по-гречески означает «брат». Дельфины, как и собаки, – наши меньши́е братья, хотя маленькими их никак не назовёшь. Итак, за несколько минут мой спаситель доставил меня к своим сородичам, и они, надо сказать, оказали мне самый тёплый приём: кувыркались, танцевали, ластились… Каждый норовил покатать меня на себе. А один маленький дельфинёнок даже пытался накормить меня живой рыбкой. Тьфу! Потом дельфины стали совещаться, что со мной делать, и, поверьте, я понял все, что они говорили. Оказывается, они догадались, что мне холодно, и решили отвезти меня куда-нибудь в более тёплые места.
И вот я снова мчусь на спине моего спасителя, окружённый весёлым дельфиньим эскортом. От быстрой езды меня разморило, и я незаметно заснул. А проснувшись, почувствовал, что мне очень жарко. Дельфины куда-то исчезли. Я был уже не в воде, а на земле. А прямо передо мной раскачивались какие-то странные фигуры в чёрных фраках и белых манишках. Неужели пингвины? Так и есть. Так вот в чём дело! Очевидно, дельфины так быстро мчались, что проскочили экватор и затормозили только у Южного полюса. И вот почему стало так жарко! Вскоре, однако, я понял, что нахожусь вовсе не на Южном полюсе, а в клетке, и клетка… заперта! Ухватившись за прутья решётки, я вскочил и стал их трясти, думая таким образом выбраться наружу. Шум поднял страшный! Пингвины, однако, ничуть не испугались. Они изучали меня все с тем же спокойным любопытством, – невероятно любопытные животные!
– Но кто же загнал вас в клетку? – ужаснулась Единичка.
– Никто! – рассмеялся Магистр. – Представьте себе, никто! В клетке был не я, а пингвины. Ничего удивительного: все в мире относительно. Иногда не сразу разберёшь, кто внутри клетки, а кто снаружи. Нечто подобное я уже встречал в теории относительности Эйнштейна… Короче говоря, вы уже поняли, что я очутился в зоопарке. Не так уж плохо! Я очень люблю животных и могу часами наблюдать их. И знаете, это доставляет мне не меньшее удовольствие, чем занятие математикой. Но удовольствие удовольствием, а надо было подумать, как отсюда выбраться. Ведь я всё ещё ничего не знал о судьбе моей дорогой Единички…
Тут Единичка всхлипнула и чмокнула рассеянного математика в ухо. Магистр подозрительно заморгал и отвернулся.
– Ладно, ладно, – проворчал он недовольно. – Отложим сентименты на завтра. Слушайте лучше дальше. Выйдя из зоопарка, я стал осматриваться и сразу понял, что нахожусь на острове, словно специально созданном для меня! То был правильный и весьма многосторонний многоугольник, вписанный в круг. В середине каждой стороны торчал столб с дощечкой, на каждой дощечке – по букве. Я стал обходить остров против часовой стрелки, надеясь расшифровать надпись. Получалась какая-то абракада́бра. Посудите сами: АМЕТАМЬ ЛОРОК ВОКИТ. Чепуха! Тогда я обошёл остров по часовой стрелке – тоже ничего путного: АТИКОВ КОРОЛЬ МАТЕМ. Тут я догадался, что начинать надо с другой буквы, и, наконец, прочитал: КОРОЛЬ МАТЕМАТИКОВ.
Подумать только! Какое внимание к моей персоне! Я, конечно, и прежде предполагал, что довольно популярен, но подобного не ожидал. А тут ещё лежала большая чугунная плита, а на ней уравнение x17-1=0. Почему это икс в семнадцатой степени? Потом оказалось, что в надписи тоже 17 букв и, стало быть, в многоугольнике 17 сторон!
– Простите, – перебил я Магистра, – а на оборотной стороне дощечек вы не заметили никаких букв?
– Как же, как же, там было написано имя моего друга. Он, наверное, и заготовил эту надпись…
– А как зовут этого вашего друга?
– Карл Фридрих Гаусс! Заметьте, что в этом имени тоже 17 букв, если считать восклицательный знак, написанный на последней дощечке.
– Дорогой Магистр, должен вас огорчить, – сказал я как можно мягче. – Поверьте, мне это очень нелегко. Но надпись «КОРОЛЬ МАТЕМАТИКОВ» относится именно к Гауссу – ведь он и в самом деле был королём в этой науке! Что же касается семнадцатиугольника и уравнения, написанного на плите, то это одно из замечательных открытий Гаусса. Всего девятнадцати лет от роду он решил задачу, над которой целых два тысячелетия бились многие великие математики мира. Он построил правильный семнадцатиугольник с помощью одного только циркуля и линейки, решив при этом уравнение, которое так вас изумило. Между прочим, и это уравнение, и круг с вписанным в него семнадцатиугольником высечены на могиле Гаусса по его завещанию.
Магистр был сражён. Он немного помолчал, покачал головой, потом встал и с чувством пожал мне руку.

– Спасибо, дорогой друг! Не скрою: ваши слова были для меня горькими, но зато они правдивы. А ради правды можно и поступиться своим самолюбием. Но позвольте мне закончить свой рассказ. Обойдя остров, я спустился к морю и очутился на пляже. И тут я увидел на земле чьи-то гигантские следы. Я немедленно вынул свою лупу и принялся за исследование. И что бы вы думали? То были отпечатки ног великого Пифагора! Не более и не менее! Не правда ли, какая удача?! Ведь если идти по следам Пифагора, то непременно выйдешь на верную и широкую дорогу.
– Ещё бы! – воскликнул я. – Я знаю книгу, которая так и называется: «По следам Пифагора». Написал её польский инженер-математик Ще́пан Еле́ньский. Очень советую всем прочитать эту книгу. Ознакомившись с ней своевременно, избежишь многих ошибок.
Магистр растроганно прижал руку к сердцу:
– Благодарю вас. Я понял ваш намёк и непременно ознакомлюсь с этим произведением. Однако продолжаю. Следы Пифагора, как и следовало ожидать, вывели меня на правильную дорогу и привели обратно на родину. И вот я с вами, друзья мои. А главное, я нашёл мою милую спутницу, Единичку! – Магистр снова обнял Единичку и вдруг сладко и совсем по-детски… зевнул… – Ой, как хочется спать! Это, знаете, всегда со мной бывает, когда я много говорю и при этом усиленно думаю.
Тут он снова зевнул, опустился на диван и тотчас заснул. Мы не стали его тревожить и тихонько, на цыпочках удалились.
Так закончилось восемнадцатое заседание КРМ.
* * *
Вот уже несколько месяцев Магистр живёт в санатории: врачи. прописали ему длительный отдых и посоветовали временно воздержаться от утомительных путешествий. Рассеянный математик занят разбором своих многочисленных заметок и подумывает о том, чтобы написать, наконец, давно замысленную диссертацию, которую собирается послать мне. Очевидно, на отзыв, ну и для исправления возможных ошибок. Впрочем, Магистр уверен, что теперь их будет очень мало.
Иногда Магистра навещают Единичка и другие члены КРМ. Все они заметно повзрослели, что не мешает им, к счастью, по-прежнему дружить и подтрунивать друг над другом.
А Нулик? Нулик вместе с Пончиком вернулся в Карликанию и организовал Клуб Внимательных Нуликов, сокращённо КВН. Иногда, по старой памяти, его персональная мини-ракета опускается на мой балкон. На этот случай у меня всегда имеется несколько бутылок фруктовой воды и немного свободного времени…
Москва,
1968








