Текст книги "Целебная фауна"
Автор книги: Вадим Корпачев
Жанр:
Биология
сообщить о нарушении
Текущая страница: 8 (всего у книги 13 страниц)
Следует отметить, что выделение пахучих секретов определяется содержанием половых гормонов хозяина. Если кастрировать самок или самцов большой мускусной землеройки, то запах секрета глоточных и заушных желез полностью исчезает. После введения половых гормонов функционирование пахучих желез восстанавливается через 2 – 4 недели. Один из пахучих компонентов выделений тупайи – 2,5-диметилпиразин резко убывает у кастрированных самцов почти в 100 раз. Введение тестостерона восстанавливает исходную концентрацию этого вещества.
Подробно изучен и охарактеризован сигнал полового возбуждения у кабана. Было установлено, что запах секрета, выделенного из слюнной железы этих животных, определяется смесью 5α-андростан-16-ен-3α-ола и родственного ему 3-кетона. Эти соединения близки по структуре мужским половым гормонам – андростерону и тестостерону и обладают сильным мускусным запахом.
Механизм действия известных пахучих феромонов – мускона и циветона, по мнению Дж. Харборна, вероятно, сходен с действием обнаруженных соединений секрета слюнной железы кабана. Если их молекулу изобразить в форме матрицы стероидов, становится очевидным структурное сходство с феромоном кабана.

5α-андростан-16-ен-3-он

Циветон
Запаха феромона кабана достаточно, чтобы вызвать эструс и готовность к оплодотворению у 81% самок. Это свойство используют в животноводстве для выявления готовности свиней к искусственному осеменению.
Особый интерес представляют данные, полученные Клаусом и Хорпеном в 1979 г. Применяя методы радиоиммуннохимического анализа, газовой хроматографии и масс-спектроскопии, они обнаружили пахучий феромон кабана, описанный выше, в корнях пастернака и стеблях сельдерея. Не этим ли объясняется то, что эти два растения включали в лекарственные сборы, влияющие на потенцию?
Известно, что многие физиологические процессы у человека сходны с таковыми у свиней. Если подтвердится значение феромонов слюнной железы в половом поведении людей, то, вероятно, можно будет объяснить физиологическую сторону поцелуя.
Чаще всего вещества, вызывающие половое возбуждение у самцов млекопитающих, выделяются влагалищем и представляют собой смесь простых органических кислот (уксусной, пропионовой, масляной, изовалериановой, изокапроновой). В различной концентрации, варьирующей в зависимости от стадий менструального цикла, они обнаружены также в выделениях у женщин, Самая высокая их концентрация наблюдается в период максимальной половой активности.
У разных представителей млекопитающих эти вещества могут иметь различную химическую природу. Было показано, что если нанести выделения влагалища на обездвиженных самок золотистых хомячков в анэструсе, на усыпленных самцов или на искусственные модели, то это вызывает у многих самцов половое поведение. Веществом, ответственным за этот эффект, является диметилдисульфид.
Установлено, что многие пахучие соединения вагинальной области и препуция – продукты бактериального окисления. Так, половой аттрактант самок макак-резус, состоящий из пяти жирных кислот, является результатом деятельности бактерий.
Еще одно пахучее соединение было выделено из менструальной крови женщин (и из секрета анальных желез рыжей лисицы) и названо триметиламином. Оно имело сильный рыбный запах. Следует указать, что такой же запах имеет растение марь вонючая, описанное и названное еще Линнеем. В присутствии его собаки приходят в сильное возбуждение. Все любители собак знают, сколь привлекателен для самцов запах самок во время течки (эструса). Было показано, что подкисление и подщелачивание мочи эстральных собак, т. е. изменение рН мочи, уменьшает время ее обнюхивания самцами.
Важное значение в агрессивности самцов, вероятно, имеют метаболиты мужских половых гормонов. Такое предположение высказали американские исследователи Р. А. Макфорд и Н. В. Ноуэл. Оказалось, что если нанести на кожу кастрированных самцов мышей мочу взрослых мужчин, то это вызывает возрастание драчливости. Моча мальчиков и девочек не давала такого эффекта, так как не содержала метаболитов половых гормонов.
Известно, что метаболит мужского полового гормона 5α-дигидротестостерон обладает значительно большей андрогенной активностью, чем сам тестостерон. Это позволило рекомендовать его к применению в медицинской практике и синтезировать на его основе ряд производных.
В настоящее время установлено, что групповой запах имеет важное значение в поддержании численности популяции. Количество крыс, которые содержатся в просторном помещении, увеличивается не бесконечно, а стабилизируется на определенном уровне. Когда число особей на квадратный метр становится больше, чем в естественных условиях, у животных наблюдаются признаки физического и нервного стресса, увеличивается их агрессивность, нарушается деятельность эндокринных желез и изменяется брачное поведение. Самки теряют способность давать приплод, а родившие матери не проявляют должной заботы о потомстве. Рождаемость падает, смертность новорожденных увеличивается. Есть все основания полагать, что важную роль в этих изменениях играют пахучие вещества – феромоны.
Значение запахов в жизни людей исследовано еще далеко не достаточно, хотя ясно, что они играют в их жизни определенную роль. Уже с двухнедельного возраста дети узнают кормящих матерей. Трех-пятилетние дети также хорошо по запаху отличают матерей, а те своих детей. Можно предполагать, что запахи имеют значение и в половом поведении людей. Так, Дж. Харбори в книге «Введение в экологическую биохимию» приводит результаты регистрации менструальных циклов у студенток, проживающих в общежитии университета. У большинства из них наблюдались синхронизация цикла и одновременное наступление менструаций. Это согласуется с результатами экспериментов, проведенных на мышах. Однако до сих пор молекулярные механизмы описанных явлений не изучены. Трудность заключается в том, что феромоны действуют в определенной низкой концентрации. Например, было показано, что после обнюхивания 2,5-диметилпиразина в концентрации 10 -5у самцов тупайи отмечалось хорошо выраженное маркировочное поведение, в то время как использование больших или меньших концентраций эффекта не давало.
Еще одно интересное свойство запахов было обнаружено группой американских исследователей из Университета имени Вашингтона в штате Миссури. Им удалось обучить лабораторных крыс отличать по запаху шизофреников от здоровых людей. Ученые выделили пахучее вещество из пота шизофреников, установили его структуру и синтезировали. Оно имеет следующее название: транс-3-метил-2-гексеновая кислота (Химия и жизнь. 1975. № 6). Описанное открытие продемонстрировало возможность использования запахов для диагностики некоторых заболеваний.
Вероятно, в будущем феромоны млекопитающих, включая человека, будут охарактеризованы и смогут найти применение в медицине и ветеринарии. Практическое значение и перспективность изучения этой проблемы бесспорны.
Лекарства из рога
Самыми древними письменными документами, в которых упоминается довольно большое количество лекарств, считаются египетские папирусы эпохи фараона Снофру (3700 лет до н. з.). В них приводятся такие средства, как мята, опий, сера, желчь, касторовое масло и другие, которые дошли и до наших дней. Однако некоторые рецепты кажутся довольно нелепыми. Так, например, в одном из египетских папирусов описывается приготовление мази, которую мать царя Хата применяла для ращения волос: «Когти борзой собаки, цветы финиковой пальмы, ослиные копыта сварить в масле до готовности, растереть и натирать голову» (цит. по кн.: Современная терапия // Ежемес. обозрение. 1904).
Применение с лечебной целью рогов описывается и в более поздних сочинениях. Пан Сум в книге «Источник здравия» говорит, что «зола из рогов быка урежает истерические припадки, порошок из копыт лося от 1 скропула до 1 драхмы назначают при падучей болезни, а зола сожженных копыт свиньи чистит и укрепляет зубы, а также помогает от недержания мочи». В. Дерикер также отмечает, что русские знахари «от лихорадки» рекомендовали больным сидеть «над парами жженых копыт или рогов». В «Солернском кодексе здоровья» мы находим такие строки:
«Свойством оленьего рога считается сила стяженья.
А потому он способен любое лечить истеченье,
Но на огне его так полагается сжечь перед этим:
Рог, доведенный дроблением до самых мельчайших частичек,
Надо в горшок поместить, но в сырой, в тот, что сделан недавно,
И в непокрытый, и пусть он, немедленно в печь заключенный,
Будет стоять до поры, как в огне добела раскалится.
То, что в нем сожжено и, как кадмия, вымыто после,
Пить, – это знают, – полезно при названных ниже болезнях:
Кто животом занемог, кровохарканьем, дизентерией,
Равно – желтушным, и он же у женщин смиряет теченье,
Для очищенья всем им пусть ложка дается двойная;
И в мочевом пузыре с трагакантом он боль изгоняет».
Необходимо сказать, что эти прописи не так уж нелепы, как кажется на первый взгляд. В настоящее время установлено, что копыта, рога и когти состоят из рогового вещества – кератина. Собственно говоря, кератин – это группа белковых веществ, сходных по своим свойствам, и поэтому правильнее употреблять это слово во множественном числе. Кератины – белковые вещества, которые входят в ткани, несущие защитные функции, – в волосы, шерсть, щетину, перья, рога. Они обеспечивают стойкость перечисленных тканей к внешним воздействиям: к нагреву, ко многим химическим веществам, к механическим нагрузкам. Характерный признак кератинов – высокое содержание в них серосодержащих аминокислот, при сгорании которых выделяются сернистые соединения, отсюда и специфический запах жженого рога. А сера почти неизменно входит в состав различных современных эффективных лекарственных средств. Только в настоящее время для получения серы нет необходимости сжигать или варить рога и копыта.
В народной медицине стран Восточной Азии неокостеневшие рога (панты) пятнистого оленя используются более двух тысяч лет. Как в чистом виде, так и в сочетании с другими лечебными средствами их широко применяли при анемии, истощении, общем ослаблении организма после инфекционных заболеваний, недостаточности сердечно-сосудистой системы, медленном заживлении ран, для восстановления функции половых органов и т. д. В странах Востока используют не только растущие рога, но и окостеневшие. В китайской медицине вообще все части тела пятнистого оленя считаются лекарственными: зубы, кости, мозг, кровь, мясо, кожа, сухожилия, желчь и т. д. Растертые высушенные сухожилия (по 5 – 8 г на прием) в виде отвара в сочетании с другими средствами китайские врачи назначали при истощении и слабости. Восточные лекарства из растущих рогов оленей с успехом используются в наши дни. Однако признание этих эффективных лекарственных средств научной медициной произошло не сразу.
Долгие годы европейские ученые скептически относились к лекарствам из рогов, как, впрочем, и ко всей восточной медицине. Им казалось невероятным, чтобы одно и то же лекарственное средство оказывало благоприятный терапевтический эффект при различных, непохожих друг на друга заболеваниях. Интерес к этому лекарственному средству возрос в начале нашего века. Первые поисковые фармакологические исследования пантов проведены в 1924 г. нашими соотечественниками – врачами Л. А. Тимофеевским и А. П. Масленниковым, А. П. Преображенским и П. В. Бочкаревым. Подробное лабораторно-клиническое изучение их как лекарственного сырья было организовано в нашей стране в 1932 г. под руководством профессора С. М. Павленко. Им разработана методика изготовления лекарственного препарата пантокрин (10%-ный экстракт на 50%-ном этиловом спирте) и возглавлена научная работа по всестороннему изучению фармакодинамики и лечебного действия этого препарата. Проведенные исследования выявили основные фармакологические свойства пантокрина и создали научную основу для его широкого применения в лечебной практике. Подробная информация по этому вопросу содержится в работах С. М. Павленко и его сотрудников, а также в книге Ю. И. Добрякова «Панты» (Владивосток, 1970).
Что же представляют собой панты?
Это растущие (неокостеневшие) рога оленей, снятые на определенной стадии роста и развития. В восточной народной медицине в течение многих столетий пользуются большой популярностью панты благородного (марал, изюбрь) и пятнистого оленей, которые обитают на территории Советского Союза.
Характерной особенностью их является ежегодная смена рогов. Процесс этот повторяется в течение всей жизни животного. Сбрасывание старых и рост новых рогов – сложный физиологический процесс, находящийся в тесной связи с гормональной деятельностью, подчиненный циклу размножения. У оленей рога начинают расти па втором году жизни. Сначала они не имеют отростков, но с возрастом постепенно увеличиваются их размер и толщина, а также число ответвлений. Существует определенная зависимость между количеством отростков и возрастом оленя. Однако определить возраст оленя по количеству отростков можно только у молодых животных до пяти лет. Рогами вооружены, как правило, самцы, у самок же они отсутствуют или менее развиты. Растущие рога (панты) очень мягки, болезненны и в таком виде не в состоянии защитить животное. Олени носят окостеневшие рога только несколько месяцев в году – ранней весной – и вскоре после гона сбрасывают их. Наибольшую лекарственную ценность панты представляют тогда, когда они еще не достигли полного развития. Это определяется количеством отростков, массой и размерами.
Они должны быть хорошо упитанными, без признаков окостенения, на месте среза – пористыми. Было установлено, что по мере отрастания пантов активность их изменяется. На ранних стадиях с увеличением возраста пантов отмечается резкое увеличение их активности. Однако она возрастает до определенного момента, а затем по мере отрастания рогов постепенно снижается. Кроме того, была изучена биологическая активность различных частей панта – верхушки, ствола, надглазового отростка и крови из пантов. Для сравнения использовали целый пант. Из всех частей наибольшей активностью обладает верхушка, которая на 25% активнее целого панта.
Рога оленей характеризуются сложным химическим составом. Данные химического анализа консервированных пантов марала, изюбра и пятнистого оленя показывают, что их состав сходен. Они содержат органические вещества (52 – 57%), золу (30 – 35%), азот (9 – 10%) и жиры. Минеральный состав пантов богат и разнообразен. В золе растущих рогов маралов были обнаружены кальций, магний, железо, кремний, фосфор, натрий, калий и другие элементы. В малых количествах входят никель, медь, титан, марганец, олово, свинец, барий. Из пантов выделено 25 различных аминокислот, 38% из которых составляют глицин, пролин и глутаминовая кислота. Панты содержат большое количество липидов, в состав которых входят фосфатиды, холестерин и эфиры холестерина. Разнообразный химический состав растущих рогов позволяет предположить, что действие на организм осуществляет не одно вещество, а комплекс соединений, как органических, так и минеральных. Было установлено, что на сердечнососудистую систему наиболее активное действие оказывают азотистые, а на желудочно-кишечный тракт – липоидные фракции экстракта пантов – пантокрина. Одной из важнейших задач будущих исследований является расшифровка природы активно действующих веществ.
Большой спрос на панты и высокая их стоимость на китайском рынке способствовали развитию в конце прошлого столетия особой отрасли животноводства – пантового оленеводства, целью которого было разведение двух подвидов животных: марала и пятнистого оленя. В былые времена ежегодно отстреливали определенную часть оленей для получения лобовых растущих рогов. В последние десятилетия панты стали спиливать с живого оленя, что дало возможность получать продукцию от одного животного в течение 10 – 12 лет. Растущие рога спиливают только после достижения оленем двухлетнего возраста. По мере старения происходит увеличение их размера и массы. Вся внутренняя пористая ткань сырого панта заполнена кровью, поэтому снятые панты очень быстро начинают разлагаться, если своевременно не принять меры к их консервации. В настоящее время этот процесс проходит два основных этапа: варку (многократное кратковременное погружение в горячую воду) и сушку.
После многолетнего исследования были выявлены три основных свойства пантов: тонизирующее действие на организм, стимулирующее половую функцию и ускоряющее заживление ран. Основное влияние пантокрина на организм осуществляется через нервную систему, причем важную роль в этом отношении играет ее вегетативный парасимпатический отдел. Врачами различных специальностей издавна была отмечена связь общего тонуса организма с течением и исходом различных заболеваний. Установлено, что организм с пониженным тонусом в значительной степени теряет свои защитные свойства и поэтому весьма склонен к разнообразным расстройствам. Большинство болезней в таких случаях обычно протекает значительно тяжелее. Повышение общего тонуса организма не только облегчает течение болезней, но нередко исключает и саму возможность их возникновения. Поэтому весьма важное значение в лечебной практике имеет применение общетонизирующих лекарственных средств. Среди такого рода препаратов пантокрину, несомненно, принадлежит одно из первых мест. Применение препарата оказывало положительный эффект при целом ряде заболеваний: при неврозах у больных нормализовался сон, улучшалось общее самочувствие, повышалась работоспособность; у женщин с климактерическим неврозом снижалось повышенное давление; улучшалось общее состояние у людей, страдающих расстройством сердечно-сосудистой системы, язвой желудка, хроническим гастритом, гепатитом, холециститом. Пантокрин оказывал общеукрепляющее действие в период выздоровления после гриппа и у истощенных, ослабленных хирургическими операциями больных с вяло текущим гнойным процессом. При этом препарат стимулировал заживление ран. Применение пантокрина (местно и внутрь) во время войны при лечении пролежней и ран давало значительный терапевтический эффект. После трех-четырех орошений препаратом пролежни очищались и через некоторое время рана начинала заживать. Пантокрин значительно ускорял заживление экспериментальных ран у собак, образовавшихся после термических (паяльная лампа, пар) и химических (серная кислота) ожогов. Токсичность его незначительна.
С древних времен считается, что панты являются действенным средством против различных функциональных расстройств половой системы как у мужчин, так и у женщин. Однако клинических наблюдений в этом плане проведено очень мало.
Как же готовят пантокрин? Сначала проделывают довольно неприятную для оленя операцию отпиливания пантов, после которой животные через несколько дней совершенно оправляются. Затем панты консервируют. (Однако наибольшей активностью обладают свежеспиленные рога). Законсервированное сырье можно хранить не один год. Для приготовления пантокрина рог размалывают в порошок и заливают этиловым спиртом. Через несколько дней раствор отфильтровывают и получают знаменитый целебный препарат – желтоватую жидкость со слабым запахом фенола.
В китайской народной медицине панты применяются в виде порошка (по 0,5 – 1,0 г на прием) и реже в виде водных экстрактов (10 : 200). Как указывает Ф. И. Ибрагимов, в Китае, кроме рогов оленей, с лечебной целью употребляют рога антилоп, распространенных в пустынных и степных областях Южной и Центральной Азии. Стружку их рогов используют как антитоксическое, спазмолитическое, успокаивающее и жаропонижающее средство.
В нашей стране под руководством доктора медицинских наук И. И. Брехмана проводилось изучение фармакологических свойств экстракта из наружного слоя рогов антилопы сайги, распространенной в степях и пустынях Советского Союза. Было установлено, что полученный экстракт, который авторы назвали сайтарином, обладает успокаивающим, противосудорожным и обезболивающим действием. Он очень близок по своим свойствам к некоторым синтетическим транквилизаторам. Кроме того, профессор И. И. Брехман с сотрудниками в процессе многолетних фармакологических исследований обнаружили, что рога северного оленя также содержат вещества, обладающие биологической активностью, весьма близкой к пантокрину. Был создан препарат рантарин. Если потребность в пантокрине на сегодняшний день удовлетворяется далеко не достаточно в связи с ограниченностью сырьевой базы (недостаточное количество оленей нужных видов), то производство рантарина находится в лучших условиях Во-первых, поголовье северных оленей превышает 2,6 млн голов, а во-вторых, рога имеются не только у самцов, но и у самок. Кроме того, заслуживает внимания сообщение А. С. Тэви и В. Е. Журавлева о том, что экстракт из неокостеневших рогов лося также вызывает ускорение заживления раневого дефекта и снижение артериального давления у кроликов. Вероятно, неокостеневшие рога многих животных обладают биологической активностью, подобной пантам пятнистого оленя, марала и изюбра. Китайские врачи считали, что неокостеневшие рога лося необходимо применять как тоническое средство активного начала (янь), а панты пятнистого оленя – как тоническое средство пассивного начала (инь).
Для раскрытия природы действующих веществ растущих рогов и механизма их действия необходимы дальнейшие исследования.
В настоящее время из рогов и копыт убойного скота путем кислотного гидролиза, экстракции и химической очистки получают глутаминовую кислоту. Это соединение участвует в процессах азотистого обмена в организме, является наряду с аспарагиновой кислотой и аланином продуктом превращения большинства других аминокислот. Она способствует обезвреживанию аммиака путем превращения в безвредный глутамин, который усиливает выведение аммиака почками в виде аммонийных солей. Большое количество глутаминовой кислоты содержится в белках белого и серого вещества мозга, где процессы обезвреживания аммиака имеют большое значение для нормальной деятельности нервной системы. Назначение ее стимулирует окислительные процессы в мозге, способствует синтезу ацетилхолина и АТФ (аденозинтрифосфорной кислоты), переносу ионов кальция. Глутаминовая кислота играет важную роль в функционировании скелетной мускулатуры, является частью белка мышечных волокон. Ее применяют при заболеваниях центральной нервной системы – эпилепсии, психозах, задержке психического развития у детей, болезни Дауна, полиомиелите и центральных параличах. Препарат также назначают для предупреждения и снятия нейротоксических явлений.
Из рогов и копыт получают также ценный сырьевой продукт – тирозин, который является источником для синтеза гормонов щитовидной железы – тироксина и трийодтиронина. Гормоны назначают в виде препаратов при недостаточности функции щитовидной железы, при кретинизме и миксидеме. Они входят в состав препарата тиреокомб, выпускаемого в ГДР и применяемого для лечения заболеваний щитовидной железы.
Следует указать, что рога и копыта являются важным источником ценного пищевого продукта – белка. Каждый их килограмм содержит 850 г белка кератина. Однако кератин обладает повышенной стойкостью и не переваривается в желудке животного. В Киевском технологическом институте пищевой промышленности применили поверхностный гидролиз кератина мочевиной и сделали копыта и рога съедобными для скота. Новый кормовой белковый концентрат можно производить в обычных цехах сухих кормов. К его выпуску уже приступили на Ворошиловградском, Донецком и Макеевском мясокомбинатах.
У некоторых народов магические, чудодейственные свойства приписывали и рогу носорога. Считалось, что, растертый в порошок, он является средством от всех болезней. Такие утверждения вызывают сомнения. Рог носорога, по мнению специалистов, состоит из плотно сросшихся между собой волос, которые можно расщепить только ножом. Никаких научных подтверждений о его лекарственной ценности до настоящего времени не получено. Однако и сегодня в восточной медицине рог пользуется большой популярностью. Особенно ценится рог, окрашенный в черный цвет. Порошок из рога носорога применяют в качестве антитоксического, жаропонижающего и успокаивающего средства. Назначают при эпидемическом энцефалите в сочетании с другими лекарственными средствами, рекомендуют истощенным людям и при импотенции. Рог режут на очень тонкие стружки, которые варят вместе с другими компонентами. Это средство, хотя и является излюбленным у китайских врачей, назначается крайне редко ввиду дороговизны. Древнегреческий историк Ктезис, живший в конце IV в. до н. э., писал о фантастическом единороге: «В Индии водится дикий осел ростом более лошади. Тело у него белое, голова темно-красная, а глаза голубые. На лбу растет рог в полтора Фута длиной. Порошок, соскобленный с этого рога, применяют как лекарство против смертельных ядов».
Рога носорогов ввозили в Европу в огромных количествах, и товар быстро раскупали. Это привело к истреблению животных. Так, из стотысячного носорожьего племени в Африке (по подсчетам в 1960 г.) сейчас осталось 6 – 7 тыс. этих животных. Торговля рогом ведется контрабандой, однако есть страны, которые не запретили ввоз этого товара: Южная Корея, Сингапур, Бруней, Макао. Цена фунта порошка достигает там 4 тыс. долларов. Охота на носорогов запрещена, но браконьеры преследуют их повсюду. За последние 5 лет, например, в Центрально-африканской Республике было уничтожено 95% обитающих там особей. В знаменитом заповеднике Казиранга в штате Ассам (Индия) только за один год браконьеры истребили 90 носорогов в погоне за их рогами. На складах заповедника хранятся конфискованные рога носорогов и клыки слонов на сумму свыше 80 млн рупий. Так как обычные меры борьбы с браконьерами не приносят желаемых результатов, для защиты животного мира заповедника решено создать специальный батальон. Кампания за спасение носорогов начата рядом африканских стран. Предусматривается, в частности, переселение животных в более безопасные места с усиленной охраной. Одновременно защитники природы требуют повсеместного запрета на ввоз всякой «продукции» из носорогов и введения строгого контроля за его выполнением.
Кроме рогов и копыт, нашли применение в медицине хрящи и сухожилия животных. В китайской медицине особенно ценятся высушенные сухожилия оленя, которые используют в виде отвара. Их назначают вместе с другими средствами при истощении, ослабленным после болезни детям и при туберкулезе.
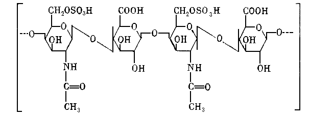
В СССР выпускается препарат хонсурид, получаемый из хрящей трахеи крупного рогатого скота. Действующим началом его является хондроитинсерная кислота. Этот высокомолекулярный мукополисахарид содержится наряду с гиалуроновой кислотой в различных видах соединительной ткани.

Хондроитинсерная кислота А
Много ее входит в хрящевую ткань, где она находится в свободном состоянии или в виде связанного с белком соединения. Различают три вида хондроитинсерной кислоты – А, В, С, сходные между собой по строению.
Применяют хонсурид для ускорения заживления вяло заживающих ран, после травм и операций, при трофических язвах. В растворе коллагена он входит в состав «пленки коллагеновой», которую также применяют для ускорения процессов заживления. С этой же целью назначают препарат комбутек, получаемый из ахилловых сухожилий и обрезков шкур крупного рогатого скота. Обладая пористой структурой, он впитывает отделяемое раневой поверхности, что также способствует скорейшему заживлению.
При заболевании суставов с поражением хрящевой ткани врачи рекомендуют лекарственное средство румалон, которое производится за рубежом из хрящей молодых животных и экстракта костного мозга. Путем частичного гидролиза коллагена из хрящей и костей животных получают всем известный желатин. Его выпускают в виде 10%-ного раствора для повышения свертываемости крови и остановки кровотечений. При хирургических операциях применяют специально обработанный желатин под названием «губка желатиновая». Оказав эффект, оставленная в организме «губка» затем полностью рассасывается. Препарат желатиноль представляет раствор некоторых аминокислот в 8%-ном растворе частично расщепленного пищевого желатина. Используют его в качестве плазмозаменителя при обильных кровотечениях. В восточной медицине источником получения желатина чаще всего служит кожа осла.




























