Текст книги "Целебная фауна"
Автор книги: Вадим Корпачев
Жанр:
Биология
сообщить о нарушении
Текущая страница: 3 (всего у книги 13 страниц)
Лекарственные амфибии
В настоящее время установлено, что среди земноводных к лекарственным животным можно отнести жаб. Влажная бородавчатая кожа, большой рот, выпученные глаза всегда вызывали в народе суеверный страх и отвращение к этим животным. Еще с древних времен они являлись спутниками ведьм и колдунов и служили средствами магии знахарей. Наиболее изученный представитель этих некрасивых бородавчатых животных был назван К. Линнеем Bufo bufo L.
В европейской части СССР проживают три вида жаб: земная, камышовая и серая (обыкновенная). Последняя встречается наиболее часто и имеет большие размеры, чем зеленая и камышовая.
Давно было замечено, что кожный секрет жаб является ядом для животных. После того как в Австралию были завезены жабы из Южной Америки для защиты посевов от вредителей, часто наблюдалась гибель собак динго после того, как они употребляли их в пищу. То же происходило и с австралийскими змеями. Академик П. С. Паллас писал, что его «охотничья собака после того, как загрызла жабу, тяжело заболела и погибла. До этого у нее после охоты на жаб наблюдалось опухание губ». У собак, которые не занимаются охотой, запах кожных покровов жаб вызывает отвращение. Так, например, А. Брэм писал: «Стоит только подержать жабу перед носом хорошо воспитанных собак, как одна морщит нос и кожу лба и отворачивает голову, другая поджимает хвост и ее ничем нельзя заставить снова приблизиться».
Имеются описания отравления жабьим ядом и у людей. Известный французский медик Амбруаз Паре в 1575 г. писал: «Недалеко от Тулузы два купца во время прогулки по саду нарвали листьев шалфея и положили их в вино. Выпив вино, они вскоре почувствовали головокружение и впали в обморочное состояние; появилась рвота и холодный пот, пульс пропал, и быстро наступила смерть. Судебное следствие установило, что в том месте сада, где произрастал шалфей, водилось множество жаб; отсюда было сделано заключение, что отравление последовало от яда жаб, попавшего на указанное растение». Наблюдались случаи отравления людей в Аргентине, когда они закладывали за щеку шкуру жабы для лечения зубной боли. После того, как боль утихала, больной засыпал, а к утру оказывался мертвым.
С лечебной целью жабий яд применяется издавна. Порошок, полученный из жабьих шкур в виде гладких круглых темно-коричневых чешуек, применялся в Китае под названием «Чан-Су», а в Японии – «Сен-Co». Внутрь его применяли при водянке, для улучшения сердечной деятельности, а наружно в виде лепешек как средство от зубной боли, воспаления придаточных пазух носа и кровоточивости десен.
На Гуцульщине, чтобы избавиться от «пропасницы» (какую болезнь подразумевали под этим названием – неизвестно), настаивали в воде зеленую жабу-кумку рекомендовали пить настой небольшими порциями. На Бойковщине жабой натирали ноги, веруя, что они никогда не будут болеть.
С лечебной целью используется не только яд жабы, но и мясо. В Институте восточной медицины Социалистической Республики Вьетнам его назначают детям при дистрофии в виде таблеток «Com Cae», в которые еще входят желток и высушенный банан. Мясо жаб китайские врачи рекомендуют применять при лечении бронхиальной астмы и в качестве тонизирующего средства.
В настоящее время препарат из яда китайских жаб под названием «мапин» (согласно японской фармакопее 1951 г.) используется с лечебной целью во многих странах Востока. В 1965 г. японские ученые Иватсуки, Юса и Катаока сообщили об успешном использовании в клинике компонентов, выделенных из жабьего яда.
С. В. Пигулевский приводит сведения исследователей Роста и Пола, согласно которым жабий яд широко применялся при лечении водянок до введения наперстянки. Применяли его и для отравления стрел. Один из первых исследователей природы жабьего яда – известный французский физиолог Клод Бернар свыше 400 лет тому назад писал, что «яд противостоит действию жары, он растворим в алкоголе и что он, одним словом, столь же стоек, как и яд стрел». «Вот, например, стрелы, переданные мне г. Бусенго,– они из Южной Америки. Я совершенно не знаю, какова природа яда, в них заключающегося. Это не кураре, как предполагали, потому что его токсическое действие проявляется на мышцах, а не на нервах. Я склонен думать, что это яд жаб, которым изобилует страна, где изготовляются эти стрелы; яд жаб в самом деле очень энергично действует на мышечное волокно».
Последующие исследователи установили, что туземцы Южной Америки экстрагируют яд кожных желез жаб путем кипячения, добавляя к кипящему раствору ядовитые растения для усиления его отравляющего действия.
Масса высушенного яда от одной жабы составляет у самцов 16 мг, у самок – 27 мг. В виде белой пены он свободно вытекает из кожных желез на поверхность тела. Из околоушных желез (паротид) он может с силой выбрызгиваться на расстояние до метра. По данным В. И. Захарова, жабий яд в разведениях 1 : 100 и 1 : 1000 через 20 мин вызывает паралич конечностей и гибель клещей. Яд жабы, введенный в кровь мелких птиц и ящериц, убивает их за несколько минут. Кролики, морские свинки и собаки гибнут менее чем через час.
В 1935 г. советский исследователь Ф. Талызин поймал в Киргизии 16 зеленых жаб, снял их кожу, высушил ее и хранил до 1965 г., после чего исследовал ее токсические свойства. Было установлено, что яд жабы после 30-летнего хранения в относительно неблагоприятных условиях влажности и температуры почти не теряет характерных токсических свойств.
В настоящее время наиболее изученным соединением, выделенным из яда жаб, является буфотоксин – эфир стероида буфогенина с дипептидом субериларгинином,

Буфотоксин
Как и во многие другие животные яды, в состав жабьего токсина входит фосфолипаза А.
В 1978 г. Б. Н. Орловым и В. Н. Крыловым была составлена таблица, в которой физиологически активные вещества яда жаб представлены двумя группами химических соединений (см. с. 35).
Яд жаб содержит до 5 – 7% адреналина. Следует заметить, что в надпочечниках человека его концентрация в четыре раза меньше. Высоким содержанием этого соединения, обладающего сосудосуживающим действием, можно объяснить использование китайского препарата «Чан-Су» в качестве наружного кровоостанавливающего средства.
Следует указать, что состав яда различных видов жаб имеет определенные количественные колебания, а выделенные буфотоксины различаются, как правило, радикалами стероидной части молекул.
Так же как и другие стероиды, жабий яд синтезируется в организме из холестерина.
| Катехоламины | Производные индола | Кардиотонические вещества | Стерины | |||
| Адреналин | Серотонин, триптамин | Буфотенины | Буфогенины (свободные генины) | Буфотоксины (связанные генины) | Холестерин, эргостерин, ситостерин и др. | |
| Буфотенин, буфотенидин, буфотионин и др. | Буфадиенолиды | Карденолиды | Буфотоксин, гамабуфотоксин, цинобуфотоксин и др. | |||
| Буфалин, буфоталин, гамабуфоталин, цинобуфагин и др. | Олеандригенин и др. | |||||
В официальной медицине сообщения о его лечебных свойствах появились в конце прошлого века, когда к итальянскому врачу С. Стадерини обратилась женщина жалобами на боль в глазу. Она рассказала, что схватила каминными щипцами жабу, которая попала в комнату. В этот момент жаба с силой выбрызнула из паротидных желез яд, капля которого попала в глаз. Вначале женщина почувствовала боль, потом наступила потеря чувствительности. Этот случай заставил Стадерини провести исследования на животных и изучить обезболивающие свойства жабьего яда. Однопроцентный раствор в отличие от концентрированного не вызывал сильного раздражения глаза, в то же время обеспечивал длительную анестезию. После исследования на животных он применил новое обезболивающее средство на людях и в 1888 г. опубликовал свои наблюдения. По утверждению Стадерини, водный раствор жабьего яда способен по эффективности анестезии вытеснить из практики кокаин, который в то время часто применялся для местного обезболивания.
Кардиотропное действие яда жаб изучалось Н. П. Кравковым, Ф. Ф. Талызиным, В. И. Захаровым и японским ученым Окада. Влияние различных доз яда серых жаб на сердце теплокровных животных исследовали в 1974 г. Б. Н. Орлов и В. Н. Крылов. Эти авторы установили, что на изолированное сердце кошки яд жабы оказывал хорошо выраженный стимулирующий эффект. При этом эффект проявлялся в широком интервале разведений – от 1 : 5000 до 1 : 1000000 г/мл. Такое же стимулирующее действие наблюдалось и при введении яда в организм – происходило увеличение силы и частоты сердечных сокращений, повышение пульсового давления, уменьшение систологического показателя и др. Вероятно, действие яда связано со стимуляцией тканевого обмена в сердечной мышце, так как это действие наблюдалось и на изолированном сердце и при блокаде нервных окончаний химическими препаратами. Кроме того, яд, по-видимому, оказывает непосредственное влияние на проводящую систему сердца и узлы автоматизма. Об этом можно судить но тому, что назначение яда в больших дозах вызывало атривентрикулярную блокаду и появление желудочкового ритма, наблюдались аритмии. Это научно подтвердило применение в народной медицине жабьего яда при сердечной недостаточности. После систематического введения жабьего яда наблюдается повышение артериального давления за счет усиления сердечных сокращений, а также сокращение ритма сердечной деятельности. Его действие близко к действию строфантина «К».
Было также установлено, что яд жаб стимулирует дыхание, восстанавливает его даже после полной остановки.
В. И. Захаров использовал яд жаб в экспериментальной терапии лучевых поражений. Введение крысам жабьего яда сразу после облучения оказывало мощный стимулирующий эффект на кроветворение, сопровождающийся усилением выработки лейкоцитов и тромбоцитов, а также увеличением фагоцитарной активности лейкоцитов. Наблюдалось повышение выживаемости животных. Введение яда после облучения предотвращало также развитие сосудистых повреждений и возникновение кровоизлияний.
Согласно данным В. И. Захарова, жабий яд в разведении 1 : 1000, 1 : 2000 и 1 : 4000 убивает гельминты человека и животных в пробирке: печеночного сосальщика в течение 30 мин, тыквовидного цепня – 37 – 48 мин, невооруженного цепня – 15 – 45 мин. Он проделал также опыты по дегельминтизации собак и кобыл. После применения яда наблюдался послабляющий эффект благодаря резкому раздражению кишечника и слабительное не назначалось. Однако автор отмечает: «Рвотное действие жабьего яда ограничивает применение его как противоглистного средства». Удалось также установить, что жабий яд ускоряет процесс заживления ран экспериментальных животных. Имеется описание еще одного свойства яда жаб, которое дает американский профессор гомеопатии Э. А. Фаррингтон. В своих лекциях, прочитанных в ганемановской медицинской коллегии в Филадельфии, он указывает, что один из представителей жаб Южной Америки выделяет на поверхности тела «маслянистое вещество, считающееся ядовитым. Местные женщины, когда им слишком докучают мужья, подмешивают это выделение в их питье, чтобы вызвать импотенцию. При опытах с буфо нашли, что она действительно производит ряд отвратительных симптомов. Вызывает род слабоумия, причем человек теряет всякую стыдливость».
Современные исследования подтвердили правильность описанных симптомов. Из яда жаб были выделены производные индола – буфотенин и буфотенидин. Назначение буфотенина в больших дозах ведет к развитию психозов, близких по клинической картине к тем, которые возникают после известного галлюциногена – диэтиламида лизергиновой кислоты (ЛСД). В малых дозах буфотенин оказывает тонизирующее действие. После введения 1 – 2 мг буфотенина здоровым людям возникало чувство сдавления в груди, покалывание лица, тошнота. Дозы 4 – 8 мг вызывали чувство успокоения и зрительные галлюцинации. После введения еще больших доз присоединялись симптомы нарушения времени и пространства, затруднялось выражение мысли, наблюдались ошибки в счете. Описанные нарушения продолжались около часа.
Следует отметить, что это вещество было также обнаружено в семенах южноамериканского растения Mimosacee piptadenja. Нюхательный порошок из семян (или напиток) воины индейских племен применяли в качестве психостимулятора перед боем. В больших количествах буфотенин обнаружен в яде Bufo alvaris.

Буфотенин
Еще одно свойство жабьего яда было обнаружено Г. А. Булбук в 1975 г., когда введение крысам стимулирующих доз токсина увеличивало среднюю продолжительность жизни животных после имплантации им опухолевых клеток. Полное рассасывание опухолей наблюдалось в 18 – 20%.
Все изложенное выше дает право говорить о возможности широкого внедрения компонентов ядов жаб в практику здравоохранения.
Следует отметить, что яд жаб используют не только люди. Уже давно биологам бросалось в глаза странное поведение ежей. Было замечено, что эти животные смачивают иглы своей слюной. Это явление подробно изучил американский зоолог из Адельфийского университета Эдмунд Броди. Ежи в США не распространены, исследователь обзавелся африканскими зверьками. Он обнаружил, что, когда еж убьет жабу, он в первую очередь отыскивает у нее железы, которые находятся позади глаз, пережевывает их, затем слюной с частицами желез «окрапляет» свои колючки и только после этого начинает есть жабу. «Когда я впервые это увидел, – вспоминал Броди, – мне показалось, что зверек сдыхает. Изо рта выходил поток пены, который, извиваясь, расходился по колючкам». Интересно, что в лаборатории еж начинал выпускать слюну в ответ даже на такие субстраты, как табак, мыло или запах духов. Был сделан вывод, что все вещества, которые воздействуют на область носоглотки, приводят к подобной реакции. Многочисленные наблюдения привели к выводу, что еж стремится увеличить защитную силу колючек. Он использует чужой яд для усиления собственной обороны. То, что уколы «обработанными» иглами значительно болезненнее, чем уколы обычными иглами, подтверждают опыты Броди и его студентов.
Довольно большое количество биологически активных веществ было обнаружено у лягушек, лечебные свойства которых изучены, однако, значительно хуже, чем у жаб.
Мясо лягушки применяют в китайской медицине для лечения дизентерии. Во II в. н. э. К. С. Самоник рекомендовал при простуде:
«Если лягушку ты в масле отваришь, то, мясо отбросив,
Снадобьем члены согрей...»
С давних времен существует поверье: чтобы молоко не скисало, в него нужно поместить лягушку. Удалось установить, что слизь, которая смачивает тело лягушки, обладает противомикробными свойствами и мешает развитию молочнокислых бактерий в молоке.
В американском журнале «Тайм» было опубликовано сообщение о том, что ученому Михаелю Заслоффу, работающему в Национальном институте здоровья детей и развития человека (США), удалось выделить из кожи африканской зубчатой лягушки пептид, способный губительно действовать на широкий спектр микроорганизмов.
В Ростокском и Грайфсвальдском университетах (ГДР) путем раздражения кожи шпорцевой лягушки электричеством была получена слизь и испытано ее действие на различных бактериях и грибковых спорах. Оказалось, что она подавляет рост колоний стафилококков и многих других микроорганизмов. Нагревание секрета до 20° в течение 20 мин не отражалось на его бактерицидных свойствах, что свидетельствует об устойчивости активного начала. На стрептомицеты и грибковые споры исследуемое вещество заметного действия не оказывало.
В старину в Японии существовало поверье, что больные глаза можно лечить, прикладывая к ним мышцу лягушки, а в русских лечебниках указывалось на лечебные свойства икры лягушки.
Паи Сум в книге «Источник здравия» дает следующие рекомендации: «Свежей икрой лягушки, завернутой в тряпку, несколько раз в день натирают лицо для удаления веснушек. Собранная в мешочек кожа лягушки отжимается, сушится. Если сжечь часть содержимого и пепел, истолченный в порошок, принимать внутрь (5 – 6 драхм), помогает от почечуйных и маточных кровотечений. Если приложить к ране, то действует кровоостанавливающе». «При кровавой моче к лобковой части прикладывают пластырь из лягушечьей икры, квасцов, свинцового сахара и небольшого количества камфоры».
О применении лягушечьей икры знахарями у В. Дерикера можно найти следующие строки: «В Польше от ревматизма накладывают лягушечью икру на холст, высушивают в тени и прикладывают к страждущим местам...». «В Эстландии от веснушек натирают лицо лягушечьей икрой». «От кровавой мочи у коров, причиненной хвощом и волчьей ягодой, лечат настоем лягушечьей икры. Настаивают два стакана икры в одном стакане спирта и дают по 1/2 рюмки». В. Дерикер также писал, что «от ужаления змеи к ране прикладывают живых лягушек брюхом к ране. Лягушки околевают одна за другой, сначала довольно скоро, потом медленнее, до излечения. Барон Искуль, в Орловских губернских ведомостях, сообщает, что змея ужалила крестьянку в ступню, около лодыжки; вся нога до бедра распухла, больная жаловалась на ужасную боль не только в ноге, но и в желудке; сильно потела, чувствовала тошноту и невыразимый страх. Прохожий крестьянин вылечил ее этим способом (Др. Здр., 1840, 287)».
Ранозаживляющие и бактерицидные свойства икры лягушек в настоящее время получили научное обоснование. В оболочке икринки лягушки обнаружено вещество ранидон, которое убивает микробы лучше, чем многие известные антисептики.
Из кожи различных видов лягушек были выделены биологически активные вещества, обладающие разной химической структурой. Содержание биогенных аминов у них достигает 100 мг/г кожи (наиболее типичный представитель – серотонин и его N-метильные дериваты). Основные группы пептидов – брадикинины, тахикинины и опиоидные. Первые две вызывают расширение сосудов и падение артериального давления. Наиболее изученные в настоящее время пептиды, выделенные из разных видов лягушек,– физаланин, уперолеин, церулеин, бомбезин и другие.
Пептид церулеин впервые был выделен из кожи австралийской белой квакши, а в патенте США № 4552865 описано приготовление лекарства из кожи этой лягушки для лечения некоторых психических заболеваний. В 1971 г. в журнале Science et Avenir появилось сообщение австралийского зоолога Р. Эндина, который выделил церулеин из кожи маленькой зеленой древесной лягушки, распространенной в Австралии. Это вещество снижало давление, сокращало желчный пузырь, стимулировало выделение желудочного сока.
Из кожи жерлянок выделили пептид бомбезин, оказывающий выраженный эффект на желчевыделение и желудочную секрецию. Интересно, что бомбезин обнаружен в, мозге млекопитающих, где он выполняет роль регулятора функциональной активности желудка. В 1979 г. в журнале «Chemical and Engineering News» (№ 47) опубликовано сообщение, что бомбезин, выделенный из кожи лягушек, обладает способностью уменьшать аппетит, например у крыс.
Пироглу—Глн—Арг—Лей—Гли—Асн—Глн—Грп—Ала—Вал—Гли—Гис—Лей—Мет—NH 2
Бомбезин
Особый интерес представляют опиоидные пептиды – дерморфины, выделенные из кожи одного из видов лягушек и обладающие обезболивающей активностью, в 11 раз превышающей морфин. Дерморфшты превосходят биологический эффект эндогенных опиатоподобных пептидов человека и животных – лей– и мет-энкефалина.
Известно, что все белки и пептиды окружающего нас мира состоят из аминокислот, которые представлены левовращающими изомерами. Уникальной особенностью перморфина является наличие в его полипептидной цепи правовращающего изомера аминокислоты аланина. Такое явление встречается в природе очень редко. Замена правовращающего изомера на левовращающий ведет к потере активности.
Из кожи одного из видов колумбийской лягушки выделен спиропиперидиновый алкалоид – гистрионикотоксин, который действует на нервно-мышечную передачу в скелетных мышцах, блокируя действие ацетилхолина на Н-холинорецепторы мышц, а также блокируя ионный канал субсинаптической мембраны, аллостерически связанный с этими рецепторами. Другой алкалоид – гефиротоксин блокирует М-холинорецепторы гладкой мускулатуры, а алкалоиды пумилиотоксины А, В и С облегчают переход ионов кальция через клеточные мембраны и усиливают сопряжение процессов возбуждения с сокращением мышц и секрецией медиаторов. Они вызывают развитие судорог скелетной и дыхательной мускулатуры и смерть.
Из кожи панамских лягушек выделено вещество цетекитоксин, обладающее способностью снижать артериальное давление. Этот эффект не связан с действием на нервные ганглии.

Гистрионикотоксин

Гефиротоксин

Пумилиотоксин С
Описанные соединения не применяются в медицине, а возможность их внедрения в практику лечения в настоящее время исследуется.
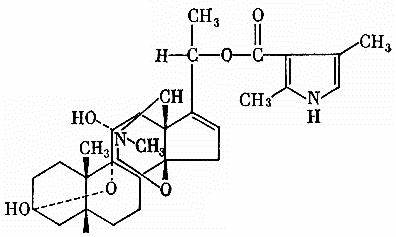
Говоря о лечебных свойствах биологически активных веществ, выделенных из кожи жаб и лягушек, невозможно не рассказать о колумбийской лягушке кокой, из кожи которой выделен наиболее сильный из известных в настоящее время небелковых ядов – батрахотоксин. Еще в 1860 г. испанский врач Посадо Аранчо, находясь у колумбийских индейцев, наблюдал, как охотники готовят отравленные стрелы при помощи яда лягушек кокой. Методика сохранилась и до наших дней, о чем писала американская путешественница Марта Лэтам. Яд лягушек кокой используют индейцы племени Чоко для отравления стрел. Отыскать животных в непроходимых зарослях почти невозможно. Поэтому индейцы издают звуки, имитирующие голос лягушки. Услышав ответный свист, они идут к тому месту, где прячется лягушка. Защитив руку листьями, охотники собирают лягушек и несут в поселок. Яд кокой через кожу не действует, но при малейшей царапине яд может проникнуть в кровь и вызвать отравление. Нанизав живую лягушку на тонкую бамбуковую палочку, индейцы держат ее над пламенем костра. Под влиянием высокой температуры на коже выделяется ядовитая жидкость молочного цвета. Концы стрел смачивают этой жидкостью и высушивают в тени; Яда от одной лягушки достаточно, чтобы отравить около пятидесяти стрел. Кроме того, чтобы яд лучше держался, индейцы делают на стрелах зарубки. Животное, раненное такой стрелой, становится парализованным и погибает. Вырезав кусок мяса со стрелой и выбросив его, животных затем употребляют в пищу.
Раскрыть структуру яда кокой удалось американскому химику и биохимику Б. Виткопу. Марта Лэтам в своих воспоминаниях об экспедиции в джунгли Колумбии приводит слова доктора Виткопа, сказанные ей: «Не исключена возможность, что из яда кокой можно получить хороший лечебный препарат. Подобные яды уже используются как сердечные стимуляторы. Ничего нельзя знать заранее. Во всяком случае, это очень интересное вещество, оно заслуживает серьезного внимания».
Трудности в его изучении возникли в первую очередь в связи с тем, что лягушки очень малы. Взрослое животное немногим более одного грамма достигает в длину 2 – 3 см и может уместиться в чайной ложке. Из 100 лягушек можно получить 275 мг сырого экстракта и затем выделить около 1 мг очищенного яда. М. Лэтам удалось собрать тысячи лягушек кокой. Однако при пересылке в Вашингтон они погибли, а в коже мертвой лягушки яд разрушился. Тогда М. Лэтам разработала метод экстракции яда на месте, и в лабораторию Б. Виткопа поступал для исследования готовый экстракт. Чтобы окончательно решить проблему сырья, в лаборатории Виткопа был построен специальный террариум для разведения кокой. Трудность была также в том, что яд оказался нестойким соединением и быстро разрушался при хранении. Удалось выделить четыре основных компонента действующего начала яда: батрахотоксин, гомобатрахотоксин, псевдобатрахотоксин и батрахотоксин А. Наиболее стойкое соединение – батрахотоксин А. Оно было получено в кристаллическом виде, изучено с помощью современных физических методов. Было расшифровано его строение. Затем была установлена структура и батрахотоксина. Этот яд имеет стероидную структуру с несколькими заместителями и представляет собой эфир батрахотоксина А с 2,4-диметилпиррол-З-карбоновой кислотой; батрахотоксин является дериватом стероида прегнина

Батрахотоксин
В настоящее время удалось осуществить синтез батрахотоксина и создать его аналог, в два раза превышающий токсичность природного яда. Фармакологическое изучение показало, что механизм действия яда сходен с действием кураре. Была обнаружена различная чувствительность животных к этому яду. Кролики и собаки в 100 раз чувствительнее к нему, чем мыши. Смертельные дозы для лягушек и жаб в тысячи раз выше, чем для мышей.
Батрахотоксин – наиболее токсичный яд среди стероидных алкалоидов земноводных. Доза, вызывающая 50%-ную смертность у мышей (LD50), выраженная в мкг/кг, составляет: батрахотоксин – 2, гомобатрахотоксин – 3, самандарин – 300, батрахотоксин А – 1000, пумилиотоксин А – 1500, пумилиотоксин В – 2500. Эти сведения приведены в книге «Зоотоксинология» Б. Н. Орловым и Д. Б. Гелашвили (1985 г.).
Для сравнения токсичности батрахотоксина с известными ядами мы приводим таблицу, из которой видно, что он является самым сильным небелковым ядом.
| Белковые яды | ||
| Ботулинотоксин А | 3 х 10^-5 | 150 000 |
| Ботулинотоксин В | 1 х 10^-5 | 167 000 |
| Тетанотоксин | 1 х 10^-4 | 140 000 |
| Палитоксин | 0,15 | 3 300 |
| Кобранейротоксин | 0,30 | 7 819 |
| Небелковые яды | ||
| Батрахотоксин | 2,0 | 538 |
| Тетродотоксин | 8,0 | 319 |
| β-бунгаротоксин | 25,0 | 28 500 |
| Кротоксин | 50,0 | 30 000 |
| Яд морской змеи | 100,0 | 6600 – 7800 |
| Кураре | 500 | 696 |
| Стрихнин | 500,0 | 397 |
| Мускарин | 11 х 10 2 | |
| Самандарин | 15 х 10 2 | 397 |
| Голотурин | 1 х 10^4 | 1 172 |
| Цианид калия | 1 х 10^4 | 65 |
При длительном введении батрахотоксин оказывает сильное кардиотоксическое действие, сопровождающееся нарушением ритма сердечной деятельности, фибрилляцией миокарда и смертью. Яд оказывает сильное нейротропное действие. Он обладает свойством вызывать деполяризацию мышечной мембраны за счет увеличения ее проницаемости для ионов натрия. С помощью батрахотоксина в настоящее время проводится изучение функции натриевых каналов, возбудимых мембран клеток.
В природе батрахотоксин обнаружили еще у четырех видов лягушек (кроме кокой) рода Phyllobates, обитающих в Южной Америке.
Высокая токсичность яда затрудняет его использование с лечебной целью. Эффективного противоядия еще не найдено, кроме тетродотоксина (яда из рыбы фугу), который является антагонистом батрахотоксина и также обладает высокой токсичностью.
Фармакологические свойства биологически активных веществ других земноводных изучены значительно хуже, чем жаб и лягушек.
Из хвостатых амфибий для медицинской практики может представлять интерес кожный секрет саламандр, который содержит целый ряд алкалоидоподобных веществ: самандарин, самандарон, О-ацетилсамандарин, самандаридин и др. Они обладают выраженной антимикробной активностью. Из лягушкозубов – хвостатых земноводных, обитающих в реках Джунгарского Ала-Тау в Казахстане, – китайские знахари готовили средство для возвращения молодости и продавали его за большие деньги.
Следует отметить, что самым дорогим вьетнамским лекарством животного происхождения является ящерица гекко, препараты из которой обладают тонизирующим и афродизиатическим действием и применяются при лечении туберкулеза и астмы.
Нельзя не сказать о том, какую огромную роль сыграли лягушки в познании живой природы и ее законов. Если оценивать количественное участие животных в различных научных опытах, то одно из первых мест будет принадлежать им. «... я лягушку распластаю да посмотрю, что у нее там внутри делается; а так как мы с тобой те же лягушки, только на ногах ходим, я буду знать, что у нас внутри делается», – говорил герой тургеневского произведения «Отцы и дети» Базаров.
В течение многих столетий лягушки служили и сейчас служат зоологам, анатомам, физиологам, врачам и фармакологам. Еще совсем недавно (до разработки методов радиоиммунологического определения хориального гонадотропина в моче, повышение содержания которого является признаком беременности) для диагностики беременности применяли самцов лягушек. Своевременно проведенная реакция на этих животных спасла не одну женщину с внематочной беременностью. В свое время лягушка сослужила неоценимую службу итальянским ученым Луиджи Гальвани и Александру Вольту в проведении опытов, которые привели к открытию гальванического тока и «магнитного электричества». Опыты Гальвани на лягушках положили начало важной науке – электрофизиологии.
Большое количество опытов на лягушках было проведено отечественным физиологом И. М. Сеченовым. Результаты исследований обобщены им в знаменитой монографии «Рефлексы головного мозга». Эта книга нанесла удар по идеализму, против Сеченова было возбуждено судебное дело. «Зачем мне адвокат? Я возьму с собой в суд лягушку и проделаю перед судьями все мои опыты: пускай тогда прокурор опровергнет меня?» Таков был ответ ученого на обвинения мракобесов.
Когда число лягушек, погибших в экспериментах, достигло 100 000, студенты-медики города Токио воздвигли памятник лягушке. Такой же памятник бесславному помощнику был открыт в конце XIX в. в Сорбонне – Парижском университете.




























