Текст книги "Военное искусство и военная культура Евразии"
Автор книги: Сергей Нефедов
Соавторы: Александр Самович,Николай Митюков,Эдуард Кожурин,Вадим Белолугов,Николай Рябченко,Александр Ложкарев,Казбек Кодзаев,Елена Дубровская,Сергей Охремчук,Сергей Липачев
Жанры:
Cпецслужбы
,сообщить о нарушении
Текущая страница: 8 (всего у книги 22 страниц)
А.В.Коробейников[162]162
Алексей Владимирович Коробейников – соискатель. Удмуртский государственный университет, кафедра археологии (г. Ижевск).
[Закрыть]
Опыт социального типологизирования средневековых городищ на основе их уровня защиты
Введение
Предлагаемая статья имеет своей целью предложить историкам фортификации метод анализа объектов с позиции их уровня защиты. Кроме того, автор описывает метод социального типологизирования и на примере множества средневековых городищ развивает гипотезу о принципе пропорционирования, который использовался древним фортификатором.
Социальная типология для древнеудмуртских средневековых городищ, расположенных в бассейне реки Чепцы была предложена М.Г. Ивановой [1,2]. По ней все объекты делятся на городища-убежища без культурного слоя, ремесленные центры с культурным слоем, и племенной центр – Иднакар.
Новейшая по времени типология Чепецких городищ предложена АН. Кирилловым.
Во-первых он априори группирует все эти поселения в одно множество по признаку принадлежности к одной системе обороны. Обращаясь к типологии П.А. Раппопорта [3] и А.В. Кузы [4] он относит все Чепецкие городища по признаку топографической приуроченности к ее первому типу поселений [5]. По его мнению «важным типологизирующим признаком является укрепленная площадь городища». Он делит все исследуемые объекты на группы так, что значения их площадей ( в тысячах метров квадратных) образуют числовой ряд 1-5-10-20-40. К сожалению, публикация не содержит обоснований выбора именно этих значений, поэтому, остается лишь предположить, что они избраны автором произвольно.
Приведенные здесь, а также изученные нами, но оставшиеся за рамками изложения классификации и типологии укрепленных городищ, предложенные отечественными исследователями, имеют ряд общих черт, а именно:
• множества объектов, их составляющие могут пересекаться между собой, тогда объект, относимый одной классификацией к типу X, например, по другой классификации может быть отнесен к типу Y, ибо типологии основаны на разном наборе признаков у разных исследователей, следовательно, они не универсальны.
• классифицирование объектов производится в отрыве от реконструирования их параметров, поэтому классифицированию подвергаются параметры, непосредственно воспринимаемые исследователем, то есть не вычисляемые, а непосредственно измеряемые параметры. Значит, исследователи оперируют атрибутами археологического источника на момент его обнаружения, но не атрибутами оборонительного сооружения в период его функционирования.
• поэтому объекты оборонительного зодчества классифицируются без учета их основной, оборонительной функции. Исследователи подразделяют фортификации по их внешним признакам, а не по уровню защиты, который они могли бы предоставлять своим защитникам, и ради чего они строились.
• исследователи не рассматривают механизмы взаимной корреляции параметров городищ, поэтому выделяемые ими по какому-либо из параметров подмножества существуют изолированно и не дают возможности получить новую информацию об изучаемых объектах.
Высота площадки и уровень естественной защищенности городища
Известный для многих городищ показатель высоты над уровнем поймы позволяет получить такой новый, синтетический параметр городища, как уровень его естественной защиты. То есть речь идет о том, как сама топография поселения защищает его от действия поражающих факторов оружия противника. Естественная защита городища на холме (на мысу) есть показатель степени уязвимости от угроз со стороны противника. Поэтому, она складывается, во-первых, из степени недоступности территории для поражения прицельными выстрелами из лука, и во-вторых она пропорциональна трудности, которую откосы площадки представляют для несанкционированно скрытого доступа и штурма.
Рассмотрим, как разные городища предоставляют своим защитникам определенный уровень защиты от угрозы поражения дистанционным (метательным) оружием. Недоступность площадки для выстрелов напрямую зависит от ее высоты, точнее, от превышения ее высоты над высотой позиции стрелка. Примем значение предельной дистанции для прицельного меткого выстрела из лука за 100 метров. Допустим для наглядности и простоты изложения, что стрела летит по прямой. Тогда о чем говорит такой перепад высот в 40 метров для дистанции в 100 метров и высоты мишени в 1.5 метра? О том, что если стрелок находящийся у подошвы холма с такой дистанции прицелится по мишени. находящейся на бровке холма, то угол линии прицеливания составит около 23° к горизонту. Получаем это, решив прямоугольный треугольник, где значение синуса угла прицеливания равно отношению высоты положения цели к дистанции.
sinλ = H/L
Где λ-угол, Н -высота, L-дистанция, она же длина траектории полета стрелы. Тогда:
sinλ = 40/100=0.4 Или λ = 23°'
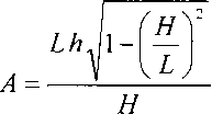
Затем продолжим эту линию прицеливания за цель, пока она не поднимется над площадкой городища до высоты этой цели в 1.5 метра. Получим прямоугольный треугольник, подобный первому. Решив его. получим, что неизвестный катет будет равен отношению известного катета к тангенсу угла 23°, значение которого может быть взято из таблицы значений тригонометрических функций.
tg23°=h/A
Где h – высота цели, А – глубина видимой зоны для этой цели. Тогда:
А = 1,5/0,436 = 3,44 метра
Иными словами, стрелок от подошвы холма, находясь на предельной дистанции прицельного выстрела (принимаемого нами здесь априори за 100 метров), видит полутораметровые цели лишь при их удалении от бровки сорокаметрового холма не более, чем на три с половиной метра. Вся остальная территория вне полосы периметра названной ширины для него является прикрытым пространством.
Если стрелок задумает сократить дистанцию, и приблизится к холму, то угол его прицеливания возрастет, то есть глубина зоны видимых для него целей на площадке городища резко сократится, он перестанет видеть цели, которые видел до приближения.
После выражения тангенса через синус полная формула для вычисления глубины прикрытого пространства будет выглядеть так:

Воспользовавшись ей для уменьшения погрешности расчетов, неизбежной при округлении табличных значений тригонометрических функций изложим расчетные данные некоторых значений глубины видимой зоны (таблица 1).
| Таблица 1 | |||
|---|---|---|---|
| Высота площадки в метрах | Угол визирования, град. – мин. | Значение его тангенса, округленно | Глубина видимой зоны за бровкой в метрах |
| 3 | 1-43 | 0,029 | 51 |
| 5 | 2-52 | 0,05 | 30 |
| 10 | 5-45 | 0,1 | 15 |
| 15 | 8-38 | 0,15 | 9,88 |
| 20 | 11-33 | 0,2 | 7,5 |
| 25 | 14-29 | 0,26 | 5,8 |
| 30 | 17-28 | 0,31 | 4,8 |
| 35 | 20-30 | 0,37 | 4 |
| 40 | 23-35 | 0,44 | 3,38 |
| 50 | 30 | 0,58 | 2,6 |
| 60 | 36-53 | 0,75 | 2 |
| 65 | 40-33 | 0,86 | 1,7 |
| 70 | 44-26 | 0,98 | 1,53 |
Высота площадки в 70 метров является критической величиной – здесь ширина видимой (опасной) зоны уже не превышает рост человека.
Отмеченная закономерность между высотой площадки и глубиной неприкрытого пространства позволяет рассчитать показатель естественной защиты для городища любой высоты и конфигурации. Значение этого параметра городища нам представляется в виде отношения общей площади городища к поражаемой площади.
Оборонительные качества сооружений.
Уровень естественной защищенности от поражения метательным оружием, на формирование которого определяющее влияние оказывают высота городища и его площадь, есть величина постоянная в той же степени, в какой на и факторы, на нее влияющие. Иными словами, на сооружении с константной площадью и этот показатель постоянен. Конечно, суммарные оборонительные качества городища могут быть усилены за счет возведения рукотворных оборонительных сооружений.
Попробуем проиллюстрировать сказанное примером городища Иднакар. Установлено, что строители Иднакара расположили свое поселение на оконечности мыса, первоначально отрезав внутренним валом участок приближающийся к современной квадратной конфигурации, то есть имевший в ширину и глубину около 100 метров, затем построили еще один средний вал, при той же ширине увеличив глубину прикрытого пространства приблизительно до 180 метров, а затем, и наружный вал, доведя значение последнего параметра примерно до 300 метров, вследствие чего площадка приобрела форму прямоугольника с приблизительным соотношением сторон как 1/3. (Возможно, конфигурация городища сразу была прямоугольной, но длинные стороны прямоугольника уменьшились вследствие эрозии грунта – в наших рассуждениях от этого ничего не меняется.)
Попробуем представить некоторые параметры городища в виде таблицы в табл.2. (Данные о площади раскопа, мощности культурного слоя и числе сооружений, вскрытых раскопами, взяты из [2, С. 14, табл. 1, С.32—85)
| Таблица 2 | ||||
|---|---|---|---|---|
| Название части городища | Площадь раскопа (квадр.метры) | Мощность культурного слоя, см | Число сооружений(вскрытых) | Площадь на одно сооружение, м2 |
| Внутренняя | 4176 | 30-140 | 35 | 119 |
| Средняя | 594 | 100 | 4 | 148 |
| Наружная | 1971 | 3-30 | 8 | 246 |
Конечно, автором раскопок, или новейшими исследованиями приведенные цифры могут быть скорректированы. Поэтому, мы не настаиваем на точном значении площади раскопа, приходящейся на одно обнаруженное сооружение. Тем не менее, таблица иллюстрирует тенденцию значительного уменьшения плотности обнаруженных построек и мощности культурного слоя по мере приближения к внешнему валу. (Разумеется, показатель плотности построек, особенно для внутренней части весьма приблизителен, ведь постройки, следы которых обнаружили археологи, функционировали не все одновременно, и новые сооружения на внутренней части возводились на месте (поверх) старых сооружений, поверх вала, например, или рядом с развалинами старых жилищ. Значит, фактор повторности построек также оказывал влияние на увеличение плотности следов построек на внутренней части городища.)
Тем не менее, таблица приводит нас к следующим умозаключениям: за весь период жизни городища привлекательность заселения внутренней части оставалась неизменно высокой, несмотря на сравнительно большую плотность застройки.
Если сравнить наружную и внутреннюю части, то на внутренней части следов построек обнаружено на единицу площади в 2 раза больше, а культурный слой – в 5-10 раз толще. Большую толщину культурного слоя в археологии принято связывать с большей продолжительностью функционирования поселения. Но дерево недолговечно, длительность службы всякой деревянной постройки незначительна в историческом масштабе. То есть, если предположить, что внутренняя часть городища, действительно, использовалась в 10 раз дольше, то за этот период там должно было быть построено и сгнить сооружений в 10 раз больше, их же отмечено только в 2 раза больше. Отмеченная диспропорция может свидетельствовать о многократном возобновлении построек во внутренней части на прежних местах. Тогда, следы этих десятикратных перестроек должны были бы быть зафиксированы исследователями Иднакара. С другой стороны, диспропорция могла быть вызвана различием применяемых строительных материалов для построек внутренней и наружной части. Например, для сооружений внутренней части могли быть использованы дерновые кирпичи, образующие при разрушении большой объем культурного слоя, а для построек наружной части – дерево. Но тогда принципиальные различия конструкции жилищ также были бы отмечены археологами, а этого пока нет. Таким образом, причина сосредоточения жизнедеятельности населения на внутренней части Иднакара требует прояснения. Обратим внимание, что еще когда средняя часть городища имела сравнительно небольшую плотность застройки, жители начали возводить наружный вал, увеличивая тем самым полезную площадь городища. Значит, строительство этого вала не было обусловлено лишь необходимостью расширения жилой зоны для застройки, ведь дефицита свободного места во «внутренней», древнейшей (?) и в средней части городища они не испытывали. Поэтому, на наш взгляд, снижение мощности культурного слоя по направлению к наружному валу не является исключительно следствием краткости периода эксплуатации «новых территорий». Снижение мощности культурного слоя может быть объяснено тем, что он уменьшался пропорционально уменьшению уровня безопасности территории.
В самом деле, если принять для прицельного выстрела из лука максимальную дальность полета стрелы за 100 метров, и полагать, что стрелок находится вне территории городища, тогда площадь городища, будучи огороженной самым первым (?) «внутренним» валом, сразу становилась непоражаема настильной стрельбой, оставаясь поражаемой навесной стрельбой поверх вала, так как она находиться в 100 метровой зоне. С появлением среднего вала вся площадь городища, становится непоражаемой настильной стрельбой, остается поражаема навесной стрельбой только ее 1/2 часть, а с появлением наружного вала – только 1/3 часть.
То есть, новый вал каждый раз удаляет возможную позицию стрелка в напольную сторону, таким образом, зона поражения навесным огнем, имея неизменное абсолютное значение (принятое нами за 100 метров), составляет все меньшую долю относительно суммарной площади городища. С другой стороны, благодаря новому валу, вся ранее досягаемая площадь выводится из зоны поражения. А позиция стрелка все более отодвигается от наиболее охраняемой части городища, которая наиболее интенсивно используется и имеет наивысшую плотность построек и наибольшую мощность культурного слоя. Поясним сказанное схемой, на которой квадратами условно обозначены «части» городища так, как их именуют в литературе – внутренняя, средняя и внешняя (наружная).

Поэтому, на наш взгляд, расстояния между вновь возводимыми параллельными оборонительными линиями (для Иднакара в среднем приблизительно составляющие 100 метров, см. рис. 1) соответствуют тактико-техническим характеристикам оружия, против которого они были предназначены. То есть, каждый раз, новый вал дает дополнительное абсолютно защищаемое пространство, глубина которого не меньше дальности полета стрелы. Некоторое снижение «нормативной» глубины прикрытого пространства, возникшее после строительства среднего вала (со 100 до 74 метров) может быть объяснимо действием следующих факторов:
1. Потребностью пропорционирования. (Об этом далее.) Наличием на среднем валу высоких навальных сооружений, которые перекрывали от прицельного обстрела всю площадь средней части.
2. Возросшей огневой мощью защитников в сравнении с огневой мощью потенциальных захватчиков. Эта огневая мощь позволяла им держать стрелков агрессора на максимальном удалении от фортификации, отгонять их от вала, организуя по ним стрельбу на подавление. Иными словами, субъектом обороны Иднакара в это время могла стать организация профессионалов, то есть войско.
3. Вероятно, строитель среднего вала вообще оценивал уровень вероятности обстрела извне как невысокий. Это может указывать на то, что в это время потенциальный противник в виде войска Иднакару не угрожал.

Рис. 1. Городище Иднакар, линии валов. Видно как с увеличением площади меняется отношение площадь/высота
Заметим, что повышение оборонительных качеств фортификации путем удаления позиций стрелка через вынесение вала в напольную сторону может быть проиллюстрировано массой примеров из того же множества городищ.(Сведения о них приводим по [2, С. 220-223, табл. 22])
Так, система обороны Кушманского городища (Учкакар) состоит из двух параллельных валов-рвов, с расстоянием между ними в 100 метров. (№ 3 в табл. и на карте)
На Краснослудском городище (Эбгакар) валы располагаются на расстоянии друг от друга в 30 метров. (№ 9 в табл. и на карте)
Гординское I городище (Гурьякар) дает расстояния в 30 и 70 метров. (№ 22)
Поломское II городище (Гыркесшур) имеет валы, расположенные через 80 метров. (№ 30)
Перенесем городища из таблицы на плоскость, откладывая по вертикальной оси координат высоту местоположения в метрах, а по горизонтали-площадь городища в тысячах метров квадратных. Символы городищ (треугольник, круг, квадрат) соответствуют очертаниям объектов на местности. Получаем график (Рис.2).
Таким образом, числовое значение удаления валов в напольную сторону, лежащее в интервале от 70 до 100 метров, отмеченное для названных городищ и средней линии обороны Иднакара (74 метра) может указывать, что повышение оборонительных качеств всех этих фортификаций было вызвано действием аналогичных факторов. Можно предполагать, что все эти объекты оборонительного зодчества образуют своего рода «серию», и что наращивание оборонительных качеств этих городищ происходило в одном и том же временном промежутке, по воле одного и того же субъекта – руководителя обороны, либо одним и тем же производителем работ, который прибегал к нормативному значению удаления вала. Норматив этот, как мы показали выше, был связан с прицельной дальностью стрельбы из лука (до 100 метров).
Мы показали выше, что уровень естественной защищенности прямо пропорционален высоте месторасположения городища, иначе говоря, он обратно пропорционален величине зоны, которая может быть поражаема прицельной стрельбой от подошвы холма, на котором это городище расположено. То есть, сравнительный уровень естественной защищенности для любого городища можно выразить в виде отношения его общей площади к ширине поражаемой зоны. Ширину этой зоны для различных высот мы вычислили и привели в таблице. (См. таблицу 1.)

Рис. 2
Общая площадь каждого из Чепецких городищ нам известна из таблицы, приводимой М.Г. Ивановой. Разделив площадь на ширину поражаемой зоны, получаем некоторое числовое значение для каждого объекта. Соединим на нашем графике изолиниями объекты с близкими числовыми значениями естественной защищенности. (См. график на рис. 3.) Получаем, что объекты подразделились на несколько уровней по признаку естественной защищенности от обстрела с поймы, у нас это до 500, от 500 до 1500, от 1500 до 3000 и свыше 3000. (Шаг нашей градации здесь совершенно условен, и градация нужны нам здесь исключительно для иллюстрации тезиса о корреляции высоты, площади и уровня безопасности.)
Объекты на графике, распределенные по зонам безопасности располагаются между концентрическими изолиниями, прогиб которых максимален у начала координат. Для максимальных значений высоты и площади построенные нами изолинии приближаются и друг к другу, и к осям координат. Иными словами, на больших высотах уровень безопасности все меньше зависит от площади, и безопасность от прицельного обстрела становится абсолютной на высотах свыше 70 метров. С другой стороны, низкорасположенный объект самой большой площади из всех перечисленных (это городище № 11, с площадью 22 тыс. кв. метров), также имеет высокий уровень безопасности. Таким образом, на графике видно, что большинство объектов тяготеют к вертикальной оси. то есть их безопасность обеспечивалась строителями за счет высоты месторасположения свыше 20 метров, а их площадь не превышает 10-12 тыс. кв. метров. Соотношение их высоты (в метрах) и площади (в тысячах квадратных метров) лежит в области значений от тридцати к одному– это объекты 5, 24, 25, 32, занимающие левый верхний угол графика, и до четырех-пяти к одному– это объекты ИВ и 12.
Лишь несколько объектов тяготеют к горизонтальной оси. Они расположены на высотах до 20 метров (объекты 3. 11. и 30), но зато их площадь больше, чем у любого из высокорасположенных городищ, и уровень безопасности обеспечен за счет их большой площади. Соотношение их высоты и площади составляет один к одному – для объектов 3 и 11, и один к двум для объекта 30. Последний, однако, увеличил свою площадь в результате постройки второго вала на расстоянии 80 метров от первого. Используемая нами таблица, к сожалению, не содержит данных, которые позволили бы нам вычислить первоначальную площадь этого городища, можно лишь утверждать, что она была значительно меньше фиксируемых сегодня 20 тысяч метров. Значит, и тут первоначальное соотношение высота– площадь могло быть близко значению один к одному. В любом случае, уровень естественной защиты здесь обеспечивался за счет площади городища. К этой же группе мы относим и городище Иднакар, ведь после постройки наружного вала его площадь, увеличившись до 40 тыс. метров квадратных, вступила в соотношение с его высотой, как один к одному. (Условно и безмасштабно обозначен как ИН у правого обреза графика.)
Высота 20 метров ее пороговое значение для данного подмножества. Ибо, как видно из нашей таблицы, для высоты 10 метров глубина видимой зоны за бровкой в метрах составляет 15 метров, то есть на такую глубину поражаем весь периметр. Для городища площадью 2-3 тыс. кв. метров (К примеру, это объекты 16 и 17 на нашем графике) значение незащищаемого валом периметра определим, оценочно, как корень квадратный из площади, умноженный на три. Получим от ста сорока до ста шестидесяти метров. Тогда поражаемая площадь составит произведение этого числа на 15. Получаем от 2100 до 2400 кв. метров. Видно, что непоражаемой площади на городище такой высоты почти не остается.
Наряду с множествами городищ, безопасность которых обеспечивалась либо, преимущественно за счет их высоты, либо за счет их площади существует совершенно особая группа объектов, для которых отношение их высоты к площади постоянно. Это расположенные на биссектрисе координатных осей городища 14, 3, 15, 22, ИС. Рассмотрим их по отдельности:
Городище № 3 Кушманское (Учкакар) имеет площадь около 14 тыс. кв. метров, и, на первый взгляд, оно находится гораздо правее биссектрисы координатных осей. Однако, обратим внимание, что по данным, которые приводит М.Г. Иванова, оно имеет подтреугольную форму, имеет 2 вала и рва, длина которых 94 и 126 метров, а расстояние между ними – 100 метров. Попытаемся выяснить, какова была площадь этого городища до перестройки. Обращение к плану городища, который помещен на рис. 103-4 на с. 219 в монографии М.Г. Ивановой мало нам поможет. На рисунке расстояние между валами приблизительно

Рис. 3.
равно расстоянию от внутреннего вала до оконечности мыса, и составляет полтора сантиметра, а масштаб указан в 1 сантиметре 30 метров, то есть, табличные 100 метров не получаются никак. Значит, неверны будут и другие измерения по этому плану. Поэтому, обратимся к аналитическому методу. Представим план городища в виде равнобедренного треугольника ABC. Длина вала – это основание треугольника ВС, а расстояние между валами – это известная нам часть средней линии ND. Обозначим неизвестную часть средней линии (это расстояние от оконечности мыса до первого вала) как AN. Площадь треугольника нам известна – 14000 кв.метров. Площадь равнобедренного треугольника равна половине произведения его средней линии на основание. (Иллюстрация в тексте не в масштабе.)

S=AD*BC/2
AD=AN+ND
14000=(AN+100)-126/2
AN=122
Итак, расстояние от первого вала до оконечности мыса нам стало известно, а тогда площадь городища до строительства второго вала составит:
S=AN*EF/2= 122*94/2=5734 квадратных метра.
Городище № 22 Гординское I Гурьякар. Его параметры, приводимые в таблице, позволяют нам поместить его на биссектрису координатных осей. Однако, этот объект приобрел свои параметры не сразу, а в результате достройки. (Вспомним, что дистанция между его валами составляет 30 и 70 метров.)

Рис. 4.
Городище Иднакар (Условно назовем его Иднакар Средний и отметим на графике, как «ИС») после постройки среднего вала приобрело параметры, которые позволяют поместить его на биссектрису координатных осей нашего графика.
Таким образом, 5 городищ образуют множество, для каждого члена которого соотношение высоты и площади постоянно. Высоты и площади их образуют числовой ряд. (См. график на рис.4) На графике видно, что для объектов, расположенных на биссектрисе координатных осей соотношение их высоты и площади постоянно. (Тысячи квадратных метров к метрам высоты). S/H= 6/12=7,5/15=9/18=12/24= 15/30= 18/36=const= 1/2=0,5
Значения их высоты и площади образуют числовые ряды. Отмеченная закономерность позволяет предложить следующие гипотезы для ее объяснения:
1. Объекты строились одним историческим субъектом (носителями единой традиции) и составляют серию.
2. Следует искать недостающий в серии (пока не обнаруженный археологами) объект с высотой 30 метров и площадью 15 тыс. кв. метров.
3. Возможно, им должен был стать объект № 23, после достройки, подобно тому, как строительством очередного вала была увеличена площадь объектов 22 и Иднакара Среднего, но это городище по каким-то причинам не было достроено до проектного значения площади.
Пропорционирование габаритов городищ, как основа их типологизации
Итак, мы получили на нашем графике (рис.5) три группы объектов, которые отличаются по признаку отношения высоты к площади. Это множество объектов в левой верхней части, для которых абсолютное значение этого соотношения не превышает один к четырем = 0,25. Наилучший показатель в этой группе у Иднакара, площадь которого после постройки внутреннего вала составила около 10 тыс. квадратных метров, а высота площадки 40 метров. (Условно назовем это подмножество первым номером.)
Второе подмножество составляют объекты, расположенные на биссектрисе координатных осей. Для них отношение высоты к площади составляет один к двум, то есть 0,5.
Третье подмножество составляют объекты, расположенные в правом нижнем углу графика. Для них значение рассматриваемого показателя составляет один к одному или два к одному (объект 30 после перестройки).
Посмотрим, поможет ли такое подразделение скорректировать имеющиеся типологии городищ? Типология, предложенная М.Г. Ивановой вкратце выглядит так: По ее мнению, городища без культурного слоя использовались как убежища, и «вследствие удаленности от основной водной магистрали (реки Чепцы) перспектив для дальнейшего развития они не имели» [2, С. 216-241]. Обратимся к нашему графику и к карте расположения Чепецких городищ, которая помещена в монографии М.Г. Ивановой – это ее рис. 101 на стр.215, а наш рис.5.

Рис. 5.
Сравнивая наш график и приведенную карту, видим, что такие объекты, как 20, 24, 25 не имеют культурного слоя, хотя и расположены при этом на берегу реки Чепца. С другой стороны, масса городищ с культурным слоем, расположенных на Чепце (9, 10,21,23,29,31,32,33) тоже не получили перспектив развития, их площадь не увеличивалась. Значит, близость к реке не является необходимым, но вовсе не достаточным условием «перспективности». Является справедливым утверждение, что значительное число городищ без культурного слоя располагается на удалении от Чепцы – это 1, 2, 4, 5, 7, 12. 13, 14, 27, 28. Но соответствуют ли эти городища назначению убежищ?
Во-первых, все они (кроме 14) входят в подмножество объектов с наихудшим показателем соотношения площадь/ высота, причем, закономерность этого соотношения (пропорция) нами не просматривается.
Объекты с таким невысоким показателем (до 0,25) помещаются в левой верхней части нашего графика. То есть это наихудшие городища по показателю их естественной защищенности.
Во-вторых, все городища без культурного слоя (кроме №14 и 12) расположены на высотах от 40 до 100 метров от уровня реки и выше на площадках, окруженных понижением рельефа. Такое расположение, в сочетании с их небольшой площадью (до 12 тыс. кв. метров) делает невероятным наличие на площадке источника водоснабжения (родника, колодца). А, не имея последнего, убежище не имеет и автономности существования, и свою функцию выполнять не может.
Наконец, такие городища располагаются крайне неравномерно по заселенной площади. В одних случаях кучками по 2-3, зачастую с интервалами в сотни метров: объекты (1, 4); (12, 13, 14); (2, 7); (24, 25, 26), либо в непосредственной близости от городищ с культурным слоем (5, 10); (20, 21), (23, 24). В других случаях (27, 28) они находятся на значительном расстоянии от ближайшего поселения. Неужели руководитель обороны столь нерациональным образом бессистемно распылял свои силы и средства на строительство маломощных крепостец? Если и можно принять эти объекты за убежища, то руководящая воля субъекта – организатора обороны в их строительстве не просматривается. Скорее, это следы народной самообороны. Кроме того, отсутствие культурного слоя и (и датирующего вещевого материала?), отсутствие следов боестолкновений на таких объектах, вообще, порождает серьезные сомнения в их причастности к единой системе территориальной обороны, организованной носителями одной (Поломской? Чепецкой? Древнеудмуртской?) культуры. Обратим внимание, что выделенная нами первая группа городищ (левый верхний угол графика) имеет признак, общий для всех из них. А именно, вне зависимости от близости к реке Чепце, вне зависимости от наличия или мощности культурного слоя ни одно из этих городищ не получило перспективы развития, а половина из них вообще не была заселена. (Те, что по мнению археологов были убежищами.)
Для нас наиболее явная причина тому – изначальное отсутствие, либо фатальное (сезонное?) сокращение дебита водоисточника внутри городища, что вело к чрезмерной трудоемкости водоснабжения в мирное время (их высоты от 40 до 100 метров от поймы реки!) и к отсутствию автономности на случай осады. В таких условиях строитель возводил городище небольшой площади (соответственно, как убежище небольшой емкости) и минимальной степени естественной защищенности изначально осознавая невозможность увеличения этих параметров в дальнейшем.
Вторая, менее важная причина – микрорельеф, который не позволял увеличивать площадку. (Разумеется, без воды такое увеличение всё равно бессмысленно.)
Далее, согласно типологии М.Г. Ивановой «среди городищ выделяются три памятника: Иднакар (18). Гурьякар (22), и Учкакар (3). для которых были выбраны крупные мысы с перспективой их расширения в напольную сторону»[2. С. 218] Кроме сходства мысовой топографии, автор отмечает сходство параметров второго вала Учкакара и Среднего вала Иднакара, идентичность следов жилищ и стратиграфии культурного слоя Гурьякара и Иднакара.
Обратимся опять к построенным нами графикам.
Городища второго из выделяемых нами подмножеств располагаются на биссектрисе координатных осей. Все они имеют соотношение площади к высоте равное два к одному, или 0.5.
В эту группу мы включаем городище Зуйкар (14) без культурного слоя, городище Учкакар (3), до увеличения его площади после перестройки, городище Сепычкар (15), городище Гурьякар (22) после перестройки, городище Гординское II (23), которое в случае достройки могло увеличить площадь до требуемых параметров, а также Иднакар после постройки среднего вала. Как видно, все три объекта выделяемые М.Г. Ивановой по сходству признаков артефактов, входят и в наше подмножество, выделенное по принципу оборонительных качеств.
Табличные значения площадей и высот объектов этого подмножества образуют ряды чисел, кратных тройке. Такие числовые ряды могут показаться мистическими, но, по нашему мнению, это результат простого совпадения в системе мер. Для нас не важно, в какой системе мер измерены высота и площадь объектов, важно лишь то, что при сравнении объектов по соотношению их площадей к высоте это соотношение будет константно для всех из них.









![Обложка: Честь Воина [CИ]](/files/books/110/no-cover.jpg)