Текст книги "Купить ресторан. Продать ресторан: от создания к продаже"
Автор книги: Елена Горелкина
Жанр:
Деловая литература
сообщить о нарушении
Текущая страница: 6 (всего у книги 14 страниц) [доступный отрывок для чтения: 6 страниц]
Требования к условиям работы в производственных помещениях
1. Производственные, вспомогательные и санитарно-бытовые помещения оборудуются приточно-вытяжной механической вентиляцией в соответствии с требованиями действующих норм и правил. В помещениях отделки кондитерских изделий приточная система вентиляции выполняется с противопыльным и бактерицидным фильтром, обеспечивающим подпор чистого воздуха в этом помещении. Отверстия вентиляционных систем закрываются мелкоячеистой полимерной сеткой.
Бытовые помещения (туалеты, комнаты гигиены) оборудуются автономными системами вытяжной вентиляции с естественным побуждением.
Помещения загрузочной, вестибюлей рекомендуется оборудовать тепловыми завесами для предотвращения попадания наружного воздуха в холодный период года.
2. В соответствии с Рекомендациями по расчету систем вентиляции и кондиционирования воздуха в горячих цехах предприятиях общественного питания теплонапряженность не должна превышать 200—210 Вт/кв. м производственной площади (170—180 ккал/ч), что необходимо учитывать при вводе новых, реконструкции и техническом переоснащении действующих предприятий общественного питания.
3. Допустимые величины интенсивности теплового облучения на рабочих местах от производственного оборудования не должны превышать 70 Вт/мкв, при облучаемой поверхности тела человека 25-50 %.
Для предотвращения неблагоприятного влияния инфракрасного излучения на организм поваров, кондитеров следует:
• применять секционно-модульное оборудование;
• максимально заполнять посудой рабочую поверхность плит;
• своевременно выключать секции электроплит или переключать на меньшую мощность;
• на рабочих местах у печей и плит, жарочных шкафов и другого оборудования, работающего с подогревом, применять воздушное душирование;
• регламентировать внутрисменные режимы труда и отдыха работающих.
4. Для предотвращения образования и попадания в воздух производственных помещений вредных веществ необходимо:
• строго соблюдать технологические процессы приготовления блюд;
• при эксплуатации газовых плит обеспечивать полное сгорание топлива;
• операции, связанные с просеиванием муки, сахарной пудры и др. сыпучих продуктов, производить на рабочем месте, оборудованном местной вытяжной вентиляцией; операции, связанные с приготовлением продуктов при повышенном испарении жира, производить на рабочем месте, оборудованном местной вытяжной вентиляцией с жироуловителями.
5. В цехе для приготовления холодных блюд и закусок, кондитерских цехах, где осуществляется приготовление крема и отделка мучных кондитерских изделий, при привязке проекта предусматривается северо-западная ориентация, а также применение устройств защиты от инсоляции (жалюзи, специальные стекла и другие устройства, отражающие тепловое излучение).
6. Для общего освещения производственных помещений следует применять светильники, имеющие защитную арматуру во взрывоопасном исполнении. Для освещения производственных помещений и складов применяются светильники во влагопылезащитном исполнении. Размещение светильников над котлами, плитами и т. п. запрещается. В отделочных цехах кондитерских производств рекомендуется устанавливать бактерицидные лампы.
Требования к устройству и содержанию помещений
1. Объемно-планировочные и конструкторские решения помещений должны предусматривать последовательность (поточность) технологических процессов, исключающих встречные потоки сырья, сырых полуфабрикатов и готовой продукции, использованной и чистой посуды, а также встречного движения посетителей и персонала.
На доготовочных организациях, работающих на полуфабрикатах, работа на сырье не проводится.
2. Набор и площади помещений должны соответствовать мощности организаций и обеспечивать соблюдение санитарных правил и норм.
3. Технологическое оборудование размещается так, чтобы обеспечивать свободный доступ к нему и соблюдение правил техники безопасности.
4. При работе организаций быстрого обслуживания на полуфабрикатах высокой степени готовности, в которых используются малогабаритное специализированное технологическое оборудование, посуда и приборы одноразового использования, допускается при наличии санитарно-эпидемиологического заключения органов и учреждений госсанэпидслужбы однозальная планировка с выделением отдельных рабочих зон, оснащенных оборудованием.
При применении столовой, чайной посуды, приборов многоразового использования устанавливается посудомоечная машина.
Общие требования к предприятиям общественного питания
1. На предприятиях общественного питания любого типа и класса должны обеспечиваться безопасность жизни и здоровья потребителей и сохранность их имущества при условии соблюдения «Правил производства и реализации продукции общественного питания», утвержденных постановлением Правительства РФ от 13 апреля 1993 года № 332, санитарных и технологических норм и правил, а также требований пожарной и электробезопасности.
2. На предприятиях общественного питания должны выполняться требования нормативных документов по безопасности услуг:
• санитарно-гигиенические и технологические требования СанПиН 42-123-5777, СанПиН 42-123-4117, сборники рецептур блюд и кулинарных изделий;
• требования к безопасности продовольственного сырья и продуктов – в соответствии с требованиями МБТ 5061;
• экологической безопасности – СанПиН 4-123-5777, СНиП 2.08.02;
• противопожарной безопасности – ГОСТ 12.1.004;
• электробезопасности – СНиП 11-4.
3. Предприятия общественного питания любого типа должны иметь удобные подъездные пути и пешеходные доступы ко входу, необходимые справочно-информационные указатели. Прилегающая к предприятию территория должна иметь искусственное освещение в вечернее время.
4. На территории, прилегающей к предприятию и доступной для потребителей, не допускается:
• проведение погрузочно-разгрузочных работ;
• складирование тары;
• размещение контейнеров с мусором;
• сжигание мусора, порожней тары, отходов.
Площадки с мусоросборниками должны быть удалены от окон и дверей помещений предприятия не менее чем на 20 м.
5. Архитектурно-планировочное решение и конструктивные эле менты здания, используемое техническое оборудование должны соответствовать СНиП 2.08.02.
6. На предприятии должны быть предусмотрены аварийные выходы, лестницы, инструкции о действиях в аварийной ситуации, система оповещения и средств защиты от пожара.
7. Предприятия всех типов и классов должны быть оснащены инженерными системами и оборудованием, обеспечивающим необходимый уровень комфорта, в том числе: горячее и холодное водоснабжение, канализация, отопление, вентиляция, радио-и телефонная связь.
8. Вход в предприятие должен обеспечивать одновременное движение двух встречных потоков потребителей на вход и на выход.
В предприятиях с количеством мест в залах более 50 должны быть предусмотрены отдельные входы и лестницы для потребителей и персонала.
9. Предприятие должно иметь вывеску с указанием его типа, класса, форм организации его деятельности, фирменного названия, юридического лица, информацию о режиме работы, об оказываемых услугах.
10. Размещение производственных помещений и оборудования в них должно обеспечивать последовательность проведения технологического процесса производства и реализации продукции, а также соблюдение технологических, санитарных норм и правил.
Состав помещений предприятий общественного питания. Помещения предприятий общественного питания в зависимости от их функционального назначения разделяют на следующие группы:
• помещения для потребителей – вестибюль (включая гардероб, умывальные и туалетные комнаты), залы с раздаточными (в ресторанах и др. предприятиях, где предусмотрено обслуживание официантами, – без раздаточных), буфет, магазин кулинарии, помещение для официантов;
• производственные помещения – горячий и холодный цехи, заготовочные цехи (мясной, рыбный, овощной), доготовочный цех (доготовки полуфабрикатов), кабинет заведующего производством, кондитерский цех, цех мучных изделий, моечные столовой и кухонной посуды, моечная и кладовая тары полуфабрикатов, сервизная, а также буфет и раздаточная в предприятиях с обслуживанием официантами;
• помещения для приема и хранения продуктов – охлаждаемые камеры для хранения мяса, рыбы, молочных продуктов, жиров и гастрономии, напитков, полуфабрикатов, а также пищевых отходов, неохлаждаемые кладовые для хранения сухих продуктов, кладовая и моечная тары, помещение кладовщика, кладовая инвентаря, приемочная продуктов;
• служебные и бытовые помещения – кабинет директора, контора, главная касса, комната персонала, помещения общественных организаций, комната заведующего хозяйством, гардероб для персонала и официантов, душевые, уборные и бельевая;
• технические помещения – электрощитовая, вентиляционная камера, тепловой узел или котельная, бойлерная, помещение для установки холодильных машин и кондиционеров.
Состав помещений и их площадь зависят главным образом от типа и вместимости предприятия, а также характера производства (на сырье или полуфабрикатах работает предприятие). Для предприятий, работающих на сырье, за счет увеличения площади охлаждаемых камер, наличия заготовочных цехов, кладовой овощей увеличивается площадь производственных помещений и помещений для приема и хранения продуктов.
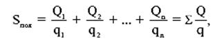
Определение площади помещений. Площадь предприятий общественного питания в зависимости от характера производственных помещений определяют:
• по нагрузке на 1 кв. м грузовой площади (кладовые для хранения сырья и полуфабрикатов);
• по установленному в данном помещении оборудованию (производственные цехи кладовые);
• по нормативам площади в зависимости от количества мест в зале (помещения для потребителей).
Во всех случаях расчетная общая площадь корректируется и уточняется методом компоновки. При этом отклонение компоновочной площади от расчетной не должно превышать 5 %. При определении площади помещений по нагрузкам или установленному оборудованию вначале рассчитывают полезную площадь. В первом случае полезная площадь:

где Q – количество продуктов определенного вида, подлежащее
хранению в кладовой, кг;
q – нагрузка данного продукта на 1 кв. м грузовой площади, кг.
Во втором случае полезную площадь рассчитывают как сумму площадей, занимаемых установленным в данном помещении оборудованием:

где р – количество единиц оборудования одного вида (типа); S – площадь, занимаемая единицей оборудования этого вида, кв. м. На основании полезной площади определяют ориентировочную общую площадь:

где ? – коэффициент использования площади помещения. Значения ? принимаются следующие.
Складские помещения:
Охлаждаемая камера хранения продуктов:
молочно-жировых – 0,5
гастрономических – 0,5
фруктов, зелени и напитков – 0,4
полуфабрикатов – 0,4
Кладовая:
сухих продуктов – 0,4
Производственные цехи:
Холодной доготовки п/ф – 0,4
Кондитерский – 0,28 – 0,3
Кулинарный – 0,28 – 0,3
Горячий – 0,3 – 0,35
Холодный – 0,35 – 04
Моечные
Столовой посуды – 0,35 – 0,4
Кухонной посуды – 0,4
Общую площадь зала рассчитывают на основании норм площади на место:
S o = pW,
где р – количество мест в зале;
W – норма площади на место, кв. м.
Для предприятий, работающих с самообслуживанием, в норму площади зала включена площадь, отводимая на раздаточную (при обслуживании официантами для раздаточных выделяют от дельное помещение). Схема расположения помещений кафе представлена на рис. 1.
Рис. 1. Расположение помещений в кафе

Глава 5
ВЫБОР КОНЦЕПЦИИ РЕСТОРАНА И ЕГО НАЗВАНИЯ
По сравнению с другими видами услуг ресторанный бизнес действительно дает возможность создания некоего театра, единственного в своем роде места действия. Такая уникальность не предполагается ни в ритейле, ни в индустрии красоты, ни в другом бизнесе, основанном на сервисе, – стандарты ведут к определенному однообразию.
Олег Бардеев, известный московский ресторатор, управляющий партнер сети ресторанов «Старлайт Дайнер», так описывает уникальность этой сферы: «За свою коммерческую практику я занимался и торговлей, и производством. Ресторанный бизнес объединяет в себе и производство, и торговлю, и сервисные услуги. И, как говорят мои американские партнеры, “если ты проработал лет пять в ресторанном бизнесе, ты можешь начинать развивать любое из этих направлений”»[5]5
www.e-xecutive.ru
[Закрыть].
Уникальность нужна именно для того, чтобы это совмещение производства, торговли и услуг воспринималось как нечто цельное, гармоничное. Особенно хорошо это показывают отчеты оценочных комиссий после посещения целого ряда ресторанов одного и того же уровня. Высокую оценку может получить заведение, целиком выдержанное в своем «жанре», а нарекания получают те, у кого много несоответствий внутри концепции: декларируется высокая кухня, но хлеб подается из ближайшего гастронома; заявлен русский стиль, но предлагается усредненный европейский вариант кухни; в ресторане более 100 посадочных мест, но практически нет мест для парковки и т. д. Профессионалы высокого уровня иногда говорят, что для них ресторан – конвейер, где все жестко регламентировано. Легко поверить, что для них, с их опытом, все так и складывается. Для большинства же этот бизнес остается бизнесом людей, и чтобы он работал как часы, нужно приложить творческие усилия.
Такие детали прорабатываются на уровне концепции ресторана, и специалисты определяют ее по-разному. Например, кто-то формулирует ее в нескольких строках.
«Golden Tulip представляет свою новую ресторанную концепцию – LODGE. В сентябре она будет представлена в отелях сети в Нидерландах. Затем ресторан LODGE откроется в декабре этого года в Гамбурге, в отеле Golden Tulip Hamburg Aviation.
LODGE – это ресторан, бар и гостиная в одном месте. Здесь за умеренную цену можно пообедать, выпить коктейль и послушать музыку в приятной обстановке. Выбор блюд очень широк, а кухня работает с 7 утра до 10 вечера. Golden Tulip предлагает четыре категории LODGE – в городе, на озере, в лесу, у реки. Эти рестораны смогут посещать не только постояльцы отеля, но и любые желающие. Планируется, что в дальнейшем они будут открыты в большинстве отелей Golden Tulip. Меню будет создаваться командой шеф-поваров под руководством Эрика ван Дийка».
Кто-то считает подобное скорее идеей, чем рабочим сценарием для реального заведения питания. Например, компания «РестКон», консультирующая рестораторов в том числе по вопросам открытия, выносит более детальное определение.
«Концепция – это техническое задание, или пошаговая инструкция создания вашего ресторана как бизнеса, с подробной разработкой всех его составляющих.
Разработать детальную концепцию ресторана – значит еще раз проверить состоятельность ресторанной идеи, сформировать целостное представление о деятельности всех ресторанных служб. Оформленная концепция позволяет получить на выходе именно тот продукт в виде готового ресторана, который задуман. Концепция позволяет координировать работу всех участников процесса создания ресторана – от проектировщиков до дизайнеров и поставщиков оборудования».
Маркетинговая часть
1. Оценка ценового сегмента планируемого предприятия, определение оптимального среднего чека.
2. Определение оптимальной целевой аудитории с точки зрения наполненности рынка и расположения будущего предприятия.
3. Позиционирование предприятия на рынке, определение конкурентных преимуществ.
4. Разработка маркетинговой стратегии заведения.
Организационно-техническая часть
1. Экспликация помещений: залы, производственные помещения, административные, служебные и складские помещения.
2. Определение ассортиментного перечня блюд (кухни и бара) с указанием оптимальной торговой наценки и выходов.
3. Подбор и расстановка технологического оборудования и технологической мебели.
4. Расстановка посадочных мест с учетом зонирования зала.
5. Описание бизнес-процессов предприятия: обслуживание, производство, учет.
6. Определение типа обслуживания, режима работы предприятия.
7. Штатное расписание предприятия, управленческая структура.
8. Необходимый набор:
• инвентаря зала и бара, офисного инвентаря;
• мебели зала;
• посуды, стекла;
• формы персонала;
• столового белья;
• приборов для зала.
9. Программное обеспечение.
Финансовая часть (бизнес-план)
1. Определение динамики среднего чека.
2. Планируемая оборачиваемость залов.
3. План инвестиций.
4. План постоянных/переменных расходов.
5. Отчет о движении денежных средств.
Творческая часть
1. Предложения по стилистике, названиям предприятия.
На взгляд автора, этот план концепции практически дублирует бизнес-план, в то время как концепция должна дополнять этот многостраничный документ. Консалтинг существует как многогранная теоретическая проработка любого вопроса, и соответственно оплачивается. Здесь хотелось бы поговорить о творческой составляющей концепции, о самом процессе ее «изобретения». С нашей точки зрения, концепция ресторана – это обоснованная идея предприятия питания; суть отличий этого проекта от конкурентов; рассказ о том, почему конкретный ресторан будет эффективен в данном конкретном месте при заданных условиях. Правильная концепция – это зафиксированное на уровне творческого осмысления, прочно связанное единство конъюнктуры рынка, местоположения и количества вложенных средств. На их стыке и появляется концепция, которая может быть в данных условиях жизнеспособной.
Как рождается концепция ресторана?
Так ставить вопрос – все равно что спрашивать у художника: «Как вы задумали эту картину?». Но если художник может ответить, что его просто «озарило», то в случае с коммерческим предприятием требуется больший прагматизм. При этом люди остаются людьми и создают те рестораны, которые им нравятся. Во всяком случае, вот несколько путей, по которым идут изобретатели ресторанных концепций.
По аналогииЭта вдохновленность чужим опытом – не просто клонирование, а скорее творческая обработка увиденного, приложение к реалиям своей страны, своего города.
«История хабаровского ресторана “Scalini” началась за океаном. Однажды Виктор Андреевич Лопатюк посетил в Америке уютный, комфортный ресторан хорошей итальянской кухни. Обслуживание было высшей категории, карта вин изобиловала элегантными сортами. В свой следующий приезд Виктор Андреевич пожелал непременно посетить полюбившийся итальянский уголок, но был разочарован – ресторан закрыт. В памяти остались лишь старые ступени, которые вели в ресторан. Тот ресторан назывался “Scalini”, что по-итальянски означает “ступени”. Возникла идея воссоздать ресторан во всех деталях: великолепная кухня, внутреннее убранство, лучшие вина. Долгое время пустовало большое красивое здание бывшей гостиницы “Эспланад”, глядя на центральную улицу Хабаровска пустыми глазницами окон. Артель старателей “Амур” реконструировала здание. На трех верхних этажах разместился бизнес-центр “Дальний Восток”, на первом этаже – кафе “Фаст-Фуд” и кофейня, а в цокольном – респектабельный ресторан “Scalini”. Приехал шеф-повар из Италии, закуплено новейшее оборудование, приглашен дизайнер для оформления интерьера. Собрана команда профессионалов»[6]6
www.scalini.ru
[Закрыть].
Если речь идет об известных образцах, с которых «лепится» ресторан, многие черты можно отметить как заимствованные. Специалисты хорошо видят в «Идеальной чашке» прообраз Старбакс, но это не мешает широкой публике ценить такие места, как нечто уникальное, присущее только их улице или району.
По ощущению пустоты в нишеРассказывает Елена Борисычева, директор ресторана «Купеческий» в Новгороде:
«В 1998—1998 годах, когда было задумано открыть наше заведение, мы оглянулись вокруг и обнаружили, что в городе с купеческим прошлым, с Нижегородской ярмаркой, нет ни одного русского ресторана, – все предлагали европейскую кухню. Тогда это было модно, ведь Нижний долгое время оставался закрытым, потом его открыли, и захотелось какой-то новизны. А пельменные, блинные, пирожковые тем временем исчезли. Нам показалось, что ресторан с русской кухней – это очень своевременно. Здание, где располагается “Купеческий”, находится в историческом центре Нижнего Новгорода, и одно из главных условий, которое необходимо было выполнить, заключалось в том, чтобы не разрушить его архитектурный образ ни снаружи, ни внутри. Мы вызвали реставраторов из Москвы и придумали ресторану название. Не знаю, каким бы еще оно могло быть…»[7]7
http://kupetchesky.ru/
[Закрыть].
У людей с предпринимательским талантом ощущение незаполненности какого-то потенциально прибыльного «экономического пространства» может быть очень четким. Популярная бизнес-литература щедра на предостережения: «Подумайте, если ниша пуста, может быть, это потому, что она не востребована?» Совет здравый, но тем не менее многие интуитивно попадают в точку, выстраивая концепцию по принципу «пустующего места». Интересно, что иногда автором той или иной концепции движет желание исправить чужую ошибку: ниша может быть номинально и заполнена, но все проекты, которыми она представлена, неудовлетворительны с точки зрения исполнения и не вызывают энтузиазма у посетителей. И вот находится человек, который «знает, как правильно». С этой позиции, например, известный американский ресторатор Фил Романо подходил к одному из первых своих проектов «Романо Макарони Гриль».
«Примерно в это время ресторанный мир гудел разговорами о сети ресторанов “Olive Garden” («Оливковый сад»), имеющей большой успех и прекрасные отзывы прессы. И вот однажды в полдень, после безрадостного хождения по магазинам в поисках подарков на Рождество я зашел пообедать в один из них.
“Olive Garden” предлагал действительно полезную еду: множество салатов, супов, хлеб и старые добрые закуски. Но еда была не так уж и хороша, и совершенно точно – не уникальна. Я оглядел поддельные итальянские декорации, и меня передернуло от отвращения. Официант, должно быть, подумал, что я страдаю от несварения. Он спросил: “Все в порядке, сэр?”. Я криво кивнул.
Дело было в том, что я не чувствовал, что я в итальянском ресторане! Тем не менее посетителей вокруг было много, и они продолжали прибывать. Стоял шум и звон приборов по тарелкам, но я оглянулся в поисках кухни и занервничал. Я не мог ее найти… Не было видно, как готовят еду. А что там скрывать?
Как я понял, “Olive Garden” был итальянским рестораном, созданным корпорацией. А я – настоящий итальянец, и знаю, как организовывать рестораны. Если “Olive Garden”, подумал я, смогла сделать это по всей стране, почему я не смогу? Чтобы сделать по-настоящему итальянскую вещь, нужны итальянцы, а ведь нет ничего более итальянского, чем “Романо Макарони Гриль”»[8]8
Романо Ф. Пища для ума. Концепция создания 10-миллиардной ресторанной империи. М.: Вершина, 2006. С. 52.
[Закрыть].









