Текст книги "Релейная защита в распределительных электрических сетях"
Автор книги: А. Наволочный
Соавторы: Александр Булычев
Жанр:
Справочники
сообщить о нарушении
Текущая страница: 3 (всего у книги 9 страниц) [доступный отрывок для чтения: 4 страниц]
Для того чтобы определить направление мощности, передаваемой по контролируемой электрической сети, в месте установки защиты используют специальное реле – реле направления мощности.Отечественная промышленность выпускает реле направления мощности двух видов: индукционные (серий РБМ-170 и РБМ-270) и микроэлектронные (типа РМ-11 и РМ-12) [3].
Индукционное реле направления мощности [2, 3] имеет две обмотки, размещенные на полюсах замкнутого стального магнитопровода 1(рис. 2.17). Одна из них, токовая (4)включается во вторичные цепи ТТ, и ток в ней (I p )определяется вторичным током ТТ. Вторая – потенциальная (5) – подключается ко вторичной обмотке трансформатора напряжения (ТН), и ток в ней ( I H) пропорционален подведенному напряжению ( U H). Между полюсами расположен внутренний стальной сердечник 2цилиндрической формы и алюминиевый ротор 3, имеющий форму стакана. На роторе укреплен контактный мостик 6. При направлении мощности КЗ от шин в линию этот мостик замыкает неподвижные выходные контакты 7(реле срабатывает). Возврат реле происходит под воздействием противодействующей пружины 8.

Магнитные потоки, создаваемые катушками с соответствующими токами, сдвинуты в пространстве на угол 90°. Взаимодействие потоков с токами, индуктированными ими в роторе, создает вращающий момент, который заставляет ротор поворачиваться. Если магнитные потоки имеют синусоидальную форму, то вращающий момент М ВР ~Ф I × Ф U × sinΨ. Здесь Ф I и Ф U – магнитные потоки, создаваемые токовой и потенциальной катушками соответственно; T – электрический угол между магнитными потоками Ф I и Ф U .
На рис. 2.18 показана векторная диаграмма, поясняющая принцип действия реле. Приняты следующие обозначения: Í pи Ú H– векторы тока и напряжения, подведенных к реле; φ р– угол между векторами Í pи Ú H, определяемый параметрами силовой электрической сети и схемой включения реле; Í H– вектор тока в потенциальной катушке реле; α – угол между векторами Í Hи Ú H(угол внутреннего сдвига), определяемый соотношением активного и реактивного сопротивлений цепи потенциальной катушки.
Учитывая, что Ф I ~ I p, Ф U ~ I H ~ U H, а Ψ = α – φ р, можно получить:
M BP= k p × U H × I P × sin (α – φ р).

В этом выражении k p– постоянный коэффициент, определяемый параметрами реле, а U H × I p × sin (α − φ р) = S p– мощность на зажимах реле. Следовательно, вращающий момент реле пропорционален мощности: M BP= k p × S p, то есть реле реагирует на мощность.
Вращающий момент реле равен нулю, когда sin (α – φ р) = 0. Отсюда следует, что M BP= 0, если φ р= α при отставании и если φ р= (α + 180°) при опережении вектором Í pвектора Ú H. Линия, расположенная под этим углом к вектору Ú H, называется линией нулевых моментов или линией изменения знака момента [2, 3].
Угол φ рмежду векторами Í Pи Ú H, при котором вращающий момент имеет максимальное значение, принято называть углом максимальной чувствительности φ МЧ. Линия, расположенная к вектору Ú Hпод углом φ МЧ, называется линией максимального момента.
Если внутренний угол α = 0 (рис. 2.19, а), то вращающий момент M BP= k p × U H × I p × sin (−φ р) в реле пропорционален реактивной мощности, подведенной к реле (синусное релеили реле реактивной мощности).Эти реле выполняют так, что M BPположителен, если угол φ р< 0 (то есть M BP= k p × U H × I p × sin φ р). Угол максимальной чувствительности для синусного реле φ МЧ= 90°.
Если внутренний угол α = 90° (рис. 2.19, б), то вращающий момент
M BP= k p × U H × I P × sin (90 − φ р) = k p × U H × I P × cos φ р
пропорционален активной мощности, подведенной к реле ( косинусное релеили реле активной мощности).Для косинусного реле φ МЧ= 0°.

В реле смешанного типа (см. рис. 2.18) угол аможет иметь значения от 0° до 90°. У отечественных реле смешанного типа (РБМ-171, РБМ-271) угол аизменяется дискретно: α = 45° (φ МЧ= 45°) или α = 60° (φмч = 30°).
Срабатывание реле направления мощности происходит при выполнении условия:
M BP ≥ М ПР,
где М ПР– противодействующий момент, который определяется силой противодействия возвратной пружины, трением в подшипниках реле и силой нажатия контактов при срабатывании реле.
Поскольку вращающий момент реле пропорционален подведенной к нему мощности, то реле срабатывает при определенном произведении U H × I p. Минимальное значение мощности на зажимах реле, при котором оно срабатывает, принято называть мощностью срабатывания реле S CP. Для большинства индукционных реле S CP= (0,2 − 4) B × A.
Чувствительность реле оценивается по вольт-амперной характеристике, которая представляет собой зависимость напряжения срабатывания реле от тока (рис. 2.20, а), при неизменном угле между векторами Ú Hи Í pравном углу максимальной чувствительности [3].

Зависимость мощности срабатывания реле от угла между векторами Ú Hи Í pпри неизменном токе принято называть угловой характеристикой реле (рис. 2.20, б) [2]. Она определяет зоны срабатывания и несрабатывания реле. Как видно, при углах, соответствующих изменению направления вращающего момента, мощность срабатывания возрастает и стремится к бесконечности. При φ р= φ МЧмощность срабатывания реле имеет минимальное значение.
Принцип действия микроэлектронных статических реле направления мощности РМ-11 и РМ-12 основан на измерении длительности интервалов времени, при котором напряжение и ток, подведенные к реле, имеют одинаковый знак. Время совпадения знака сигналов измеряется в течение каждого полупериода и сравнивается с уставкой. При определенной продолжительности времени совпадения знаков сигналов реле срабатывает. Эти реле превосходят индукционные по многим основным характеристикам и широко используются в системах релейной защиты [3].
2.5.3. Схемы направленных защитВ отечественных энергосистемах принято использовать в направленных токовых защитах так называемую 90-градусную схему включения реле направления мощности смешанного типа. При этом в токовую катушку первого реле подается через ТТ ток фазы А, а к его потенциальной катушке подводится через ТН линейное напряжение ВС (рис. 2.21, а)[2]. Угол между этими векторами составляет 90°. Отсюда и произошло название схемы включения реле. Такое сочетание сигналов, подводимых к реле, улучшает его работоспособность при близких КЗ.

Для трехфазного исполнения защиты Í P1= Í A ; Ú P1= Ú BC; Í P2= Í B; Ú P2= Ú CA ; Í P3= 4; Ú P3= Ú AB, где Í P1, Í P2, 4 – вектoры токов 15 токовых катушках первого, второго и третьего реле направления мощности; Í A Í B, Í C– векторы вторичных токов соответствующих фаз; Ú P1, Ú P2, Ú P3– векторы напряжений, подведенных к потенциальным катушкам первого, второго и третьего реле направления мощности; Ú AB , Ú BC, Ú CA– векторы вторичных линейных напряжений.
На рис. 2.21, бпоказана векторная диаграмма реле направления мощности, соответствующая 90-градусной схеме включения реле с углом внутреннего сдвига α = 45° (φ МЧ= −45°) в симметричном режиме контролируемого объекта. Вектор тока Í Aотстает от вектора фазного напряжения Ú Aпри КЗ на контролируемом объекте (например, линии) на угол φ КЗ, определяемый соотношением активной и реактивной составляющих сопротивления контролируемой линии (см. рис. 2.21, а).Вектор Í Аимеет два предельных положения. Одно – Í AI– при КЗ за чисто индуктивным сопротивлением (φ КЗ= 90°). Другое – Í AII– при КЗ за чисто активным сопротивлением (φ КЗ= 0°, например, при КЗ вблизи места установки реле). Это означает, что угол φ pмежду векторами тока Í P= Í PI= Í Aи напряжения Ú H= Ú P1= Ú BC, подведенными к реле, φ p= −(90° − φ КЗ) и может изменяться в симметричном режиме от 0 до 90° (вектор тока опережает вектор напряжения).
Как видно, вращающий момент реле при трехфазных КЗ в зоне действия защиты положителен и близок к максимальному; следовательно, реле надежно срабатывает. При трехфазных КЗ вне зоны вращающий момент изменяет свое направление на противоположное φ р ∈ [180°… 270°] и реле столь же надежно не срабатывает.
2.5.4. Выбор параметров срабатывания направленных токовых защитНаправленные МТЗ необходимо отстраивать от максимальных рабочих токов с учетом самозапуска электродвигателей в послеаварийных режимах после отключения смежного присоединения, то есть так же, как и обычные ненаправленные МТЗ:

В сетях с глухозаземленной нейтралью направленные МТЗ должны быть также отстроены от токов, возникающих в неповрежденных фазах при однофазных и двухфазных КЗ на землю (если не используется блокировка действия от защит, действующих при замыканиях на землю) [2]:
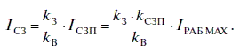
I СЗ= k З × I НФ,
где k З– коэффициент запаса ( k З= 1,15-1,3);
I НФ= I РАБ MAX+ k 0 × I К0– максимальное значение тока в неповрежденной фазе;
k 0 – доля тока КЗ в неповрежденной фазе k 0< 1;
I К0– максимальное значение тока при однофазном или двухфазном КЗ на землю.
Большее из значений, полученных по первому и второму условиям, принимается за расчетное.
Еще одной мерой, призванной исключить неправильное действие реле направления мощности неповрежденных фаз, является использование особых схем защит (с так называемым пофазным пуском), которые подают сигнал на отключение объекта только тогда, когда срабатывают токовое реле и включенное на ток той же фазы реле направления мощности [2]. Пример схемы двухфазной направленной МТЗ с пофазным пуском показан на рис. 2.22.

Дополнительно смежные защиты, действующие в одном направлении, должны быть согласованы по чувствительности. Токи срабатывания защит должны нарастать при их обходе против направления действия с приращением не менее 10 %. Иначе при токах КЗ, близких по значению к токам срабатывания защит, некоторые из них могут подействовать неселективно.
Защиты необходимо отстраивать от максимальных токов в местах их установок независимо от направления действия защиты и направления передачи мощности для исключения ложного срабатывания при повреждениях цепей напряжения защиты [2]. Если при этом чувствительность защиты недостаточна, то допускается использовать в качестве расчетного ток, соответствующий передаче мощности в направлении действия защиты.
Выдержки времени срабатывания выбираются по условию обеспечения селективности. Согласуются защиты, действующие в одном направлении. Время срабатывания защит должно нарастать ступенчато с приращением Д tпри обходе их против направления действия (см. рис. 2.16):

Здесь t C3 H1и t C3 H4– время срабатывания защит, установленных на присоединениях Н1 и Н4 соответственно.
Участок контролируемой электрической сети вблизи места установки защиты, в пределах которого реле направления мощности при КЗ может не сработать из-за недостаточной мощности на его зажимах (U p →0), принято называть мертвой зоной.
Границу этой зоны можно определить, опираясь на следующие рассуждения [2]. Пусть напряжение срабатывания реле при КЗ на границе мертвой зоны равно:

Здесь I PK– значение тока в токовой катушке реле при повреждении в начале контролируемого объекта (в месте установки защиты); φ p– угол между векторами тока и напряжения, подведенными к реле.
При 90-градусной схеме включения реле φ p= −(90°− φ). Угол φ КЗмежду векторами тока и напряжения в первичной цепи определяется соотношением удельных реактивного ( х УД) и активного ( r УД) сопротивлений контролируемого объекта:

Первичное фазное напряжение срабатывания реле:

где k TH– коэффициент трансформации трансформатора напряжения.
Сопротивление мертвой зоны:

Тогда протяженность мертвой зоны:

где

2.6. Дифференциальные защиты трансформаторов
Принцип действия дифференциальных защит основан на пофазном сравнении токов параллельно установленных защищаемых объектов (поперечные дифференциальные защиты)или токов до и после защищаемого объекта (продольные дифференциальные защиты).
В отличие от рассмотренных выше максимальных токовых защит (с относительной селективностью) дифференциальные защиты обладают свойством абсолютной селективности.
Дифференциальная токовая защита используется в качестве основной быстродействующей защиты трансформаторов мощностью 6,3 МВА и выше, параллельно работающих трансформаторов мощностью 4 МВ-А и выше, а также трансформаторов мощностью 1 МВ-А и выше, если токовая отсечка последних не обладает достаточной чувствительностью, а МТЗ имеет выдержку времени более одной секунды [3].
Дифференциальная защита трансформаторов имеет ряд особенностей, отличающих ее от продольных дифференциальных защит линий [2, 3, 4].
Во-первых, фазные токи до и после защищаемого трансформатора отличаются по величинеуже в нормальном режиме его работы (при отсутствии повреждений в зоне действия дифференциальной защиты). Эта ситуация практически может быть разрешена предварительным выравниванием токов в плечах защиты (то есть за ТТ на сторонах ВН и НН) за счет подбора ТТ с нужными коэффициентами трансформации. Кроме того, для реализации дифференциальной защиты промышленностью выпускаются специальные реле серий РНТ и ДЗТ, содержащие уравнительные обмотки с регулируемыми числами витков для дополнительного выравнивания токов в плечах защиты.
Во-вторых, токи на сторонах ВН и НН защищаемого трансформатора могут отличаться еще и по фазам,когда способы соединения первичных и вторичных обмоток силового трансформатора не совпадают. В этом случае выравнивание вторичных токов достигается изменением способов соединения вторичных обмоток ТТ на обратное по отношению к защищаемому трансформатору (рис. 2.23).
В-третьих, при выборе тока срабатывания дифференциальной защиты необходимо обязательно учитывать бросок тока намагничивания при включении (восстановлении питания) защищаемого силового трансформатора.
В-четвертых, при отстройке тока срабатывания защиты от тока небаланса нужно учитывать две дополнительные составляющие этого тока. Первая обусловлена неполным выравниванием действия вторичных токов при подборе коэффициентов трансформации ТТ или при вынужденном выставлении округленных значений чисел витков уравнительных обмоток. Вторая составляющая вызвана наличием регулирования напряжения трансформатора под нагрузкой (РПН).
Получили распространение следующие разновидности дифференциальных защит трансформаторов: дифференциальная токовая отсечка, дифференциальная защита без торможения и дифференциальная защита с торможением [2, 3, 4].
Дифференциальная токовая отсечкавыполняется на основе обычных токовых реле РТ-40, включенных без насыщающихся ТТ (рис. 2.24). Основное достоинство дифференциальной отсечки – простота и связанные с этим дешевизна и меньшая сложность при выборе уставок. Однако главный недостаток такой защиты – большой ток срабатывания – часто приводит к недостаточной чувствительности и, соответственно, невозможности использования этой разновидности дифференциальной защиты.
Дифференциальная защита без торможенияна основе реле серии РНТ (РНТ-565) используется, главным образом, на трансформаторах без РПН. Упрощенная схема реле РНТ-565 представлена на рис. 2.25.
Здесь w BT– вторичная обмотка; w K3– короткозамкнутая обмотка; w PAB– рабочая обмотка, число витков которой может быть выставлено в интервале от 8 до 35 с точностью до одного витка; w УP 1и w УP 2– уравнительные обмотки, для каждой из которых может быть выставлено число витков от 0 до 34 также с шагом в один виток.


Благодаря использованию в конструкции реле насыщающегося ТТ (НТТ) и короткозамкнутой обмотки удается снизить ток срабатывания защиты и повысить ее чувствительность. Схема одного из возможных вариантов исполнения дифференциальной защиты двухобмоточного трансформатора на основе реле РНТ-565 представлена на рис. 2.26.

Дифференциальную защиту с торможениемна основе реле серии ДЗТ (например, ДЗТ-11) обычно устанавливают на трансформаторах с РПН. На упрощенной схеме реле ДЗТ-11 (рис. 2.27) w T– так называемая обмотка торможения, число витков которой может быть выставлено из следующего ряда: 1, 3, 5, 7, 9, 11, 13, 18, 24. Характеристики рабочей и уравнительных обмоток те же, что и для реле РНТ-565. Благодаря наличию обмотки торможения на магнитопроводе НТТ ток срабатывания защиты выбирают только по условию отстройки от броска тока намагничивания (ток небаланса не учитывают). Обычно это приводит к еще большему увеличению чувствительности защиты. Однако существуют ситуации, когда большей чувствительностью обладает все же защита на основе реле РНТ, поэтому в общем случае может быть рекомендован алгоритм выбора разновидности защиты, предполагающий проверку возможности использования каждой из трех перечисленных выше защит в том же порядке.

Расчеты дифференциальных защит двухобмоточных трансформаторов с большим диапазоном регулирования напряжения (AUj,^ % > 10 %) следует начинать со стороны ВН, так как именно на этой стороне установлено устройство РПН [4].
Ток срабатывания дифференциальной защиты отстраивается от броска тока намагничивания (для всех защит) и от тока небаланса (кроме защиты с торможением), то есть соответственно:

где k OT CP– коэффициент отстройки от броска тока намагничивания, для дифференциальной токовой отсечки k ОТ СР≈ (3,4–4), для реле типа РНТ k OT CP= 1,3, для реле ДЗТ – k OT CP= 1,5;
I HOM Т– номинальный ток трансформатора;
k З– коэффициент запаса, для дифференциальной токовой отсечки и для реле типа РНТ k 3= 1,3, для реле ДЗТ – k 3= 1,5;
I НБ– ток небаланса.
При наличии РПН бросок тока намагничивания рассчитывают для его (РПН) крайнего «отрицательного» положения [4]:

где S T– номинальная мощность трансформатора;
U HOM 1 – его номинальное первичное напряжение;
Δ U PПН – половина полного диапазона регулирования напряжения на стороне ВН, относительное значение.
Ток небаланса включает в себя три составляющие:

Первая обусловлена погрешностью ТТ:

Вторая составляющая тока небаланса вызвана наличием РПН:

Третья обусловлена невозможностью установки на коммутаторах реле РНТ и ДЗТ расчетных дробных чисел витков:

или неполным выравниванием токов в плечах защиты при подборе ТТ:

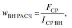
где w ВН РАСЧ– расчетное число витков уравнительной обмотки, включенной на стороне ВН;
w ВН– принятое целое число витков той же обмотки;
I 2 BHи I 2 HH– средние значения вторичных номинальных токов за ТТ на сторонах ВН и НН соответственно:

Здесь k CX– коэффициент, учитывающий схему включения вторичных обмоток ТТ и обмоток реле, k CX BH= √3, k CX HH= 1; k TT– коэффициенты трансформации ТТ, установленных на сторонах ВН и НН защищаемого силового трансформатора.
2.6.2. Расчет числа витков обмоток реле РНТ-565 и ДЗТ-11Определяется ток срабатывания реле для стороны ВН:

Рассчитывается и округляется в меньшую сторону число витков уравнительной обмотки на стороне ВН (первой, см. рис. 2.26):

где F CP– магнитодвижущая сила, необходимая для срабатывания реле, для реле РНТ-565 и ДЗТ-11 F CP= 100 ± 5 A витков. Рассчитывается и округляется в ближайшую сторону число витков второй уравнительной обмотки (включенной на стороне НН):

Рассчитывается коэффициент чувствительности защиты:

где I P MIN– ток в реле, соответствующий минимальному току повреждения в зоне действия, от которого защита должна сработать;
I CP– ток срабатывания реле для той же стороны, для которой выше был определен I P MIN.
Обычно необходимо, чтобы k Ч≥ 2, в крайнем случае k Ч≥ 1,5 [4].
2.6.4. Особенности расчета дифференциальной защиты без торможенияПроизводится предварительный расчет тока срабатывания защиты без учета неизвестной третьей составляющей тока небаланса. Далее осуществляется предварительная (по той же причине) проверка чувствительности защиты. Если защита по чувствительности проходит, производится расчет чисел витков уравнительных обмоток, уточняется значение тока небаланса и проверяется надежность отстройки тока срабатывания защиты от уточненного значения тока небаланса. Если отстройка не обеспечена, расчет повторяется вновь для нового значения тока срабатывания, отстроенного от уточненного тока небаланса. Далее, как и для любой разновидности дифференциальной защиты, производится окончательный расчет коэффициента чувствительности и выполняется проверка трансформаторов тока на 10 %-ную погрешность.
2.6.5. Особенности расчета дифференциальной защиты с торможениемПервая особенность связана с отсутствием необходимости учета тока небаланса при выборе тока срабатывания защиты и, соответственно, в упрощении процедуры расчета, которая для реле серии РНТ имела, возможно, рекурсивный характер.
Вторая особенность связана с необходимостью расчета числа витков тормозной обмотки и выбором места ее включения. На двухобмоточных понижающих трансформаторах тормозную обмотку включают в плечо защиты, противоположное стороне источника питания (рис. 2.28), чтобы загрубление действия реле происходило только при внешних КЗ (при повреждениях в зоне действия защиты тормозная обмотка током КЗ не обтекается). Число витков обмотки:

tgα – справочная величина, учитывающая тормозные свойства реле, для реле ДЗТ-11 tgα = 0,87.










![Обложка: Честь Воина [CИ]](/files/books/110/no-cover.jpg)