Текст книги "Релейная защита в распределительных электрических сетях"
Автор книги: А. Наволочный
Соавторы: Александр Булычев
Жанр:
Справочники
сообщить о нарушении
Текущая страница: 2 (всего у книги 9 страниц) [доступный отрывок для чтения: 4 страниц]

При расчетах уставок быстродействующих защит (к которым относится и токовая отсечка) необходимо учитывать возможное влияние апериодической составляющей тока КЗ [1]. G этой целью в условие выбора включают коэффициент запаса,значение которого зависит от типа чувствительного элемента (токового реле) и защищаемого объекта:

Возможные значения коэффициента запаса приведены в табл. 2.1[4].
Таблица 2.1

Токовые отсечки без выдержки времени, установленные для защиты трансформаторов или линий, от которых далее питаются силовые трансформаторы, необходимо дополнительно отстраивать от бросков тока намагничивания, возникающих при включении (восстановлении питания) указанных трансформаторов.
Зона действия токовой отсечки линии определяется графически по точке пересечения кривой изменения тока КЗ и горизонтальной линии, соответствующей уставке. В зависимости от вида КЗ и режима работы энергосистемы положение правой границы зоны действия отсечки может изменяться (токовая отсечка обладает относительной селективностью),а ширина зоны действия может принимать значения от l MINдо l MAX(см. рис. 2.1). В пределах минимальной зоны действия l MINотсечка выявляет любые КЗ в любом режиме работы энергосистемы. За пределами максимальной зоны l MAX, напротив, никакое КЗ отсечкой выявлено не будет. Поэтому обычно зоной действия отсечки считают минимальную зону l MIN.
Эффективность отсечек оценивается по коэффициенту чувствительности или по длине зоны действия [4]:
– для отсечек трансформаторовчувствительность определяется по току самого «легкого» КЗ (определяемого режимом заземления нейтрали) в месте установки отсечки в минимальном режиме работы энергосистемы; при этом должно выполняться условие: k Ч ≥ 2;
– при расчете коэффициента чувствительности отсечек блоков «линия-трансформатор»используют минимально возможный ток при КЗ в конце линии (то есть на границе между линией и трансформатором): k Ч ≥ 1,5;
– токовая отсечка линии считается эффективной, если зона ее действия охватывает не менее 15–20 % от общей протяженности линии.
Так как токовая отсечка мгновенного действия контролирует лишь часть объекта, ее использование в качестве единственной защиты данного объекта недопустимо.
2.1.2. Схемы токовых отсечекОтсечки, выполненные по трехфазной трехрелейной схеме(рис. 2.2), применяются для защиты электрических сетей напряжением 110 кВ и выше (сетей с глухозаземленной нейтралью). Трансформаторы тока устанавливаются в каждой из трех фаз контролируемой сети. Вторичные обмотки ТТ и катушки токовых реле соединяют по схеме «звезда/звезда» (Y/Y); при этом в нормальном режиме токи в реле равны вторичным токам ТТ, то есть k CX= 1.
Так как в сетях 110 кВ и выше обычно дополнительно устанавливают специальную токовую защиту нулевой последовательности от КЗ на землю, может быть использована разновидность этой схемы без токового реле КА2 (то есть фактически двухфазная двухрелейная схема) [5].
Назначение блок-контакта SQ заключается в своевременном разрыве цепи питания катушки отключения YAT выключателя Q после его отключения, вызванного срабатыванием защиты. Тем самым исключается возможность обгорания контактов KL1.1 под действием дуги.
Двухфазная двухрелейная схема(рис. 2.3) используется, главным образом, для защиты в электрических сетях с изолированной или компенсированной нейтралью (обычно 6-35 кВ). Здесь трансформаторы тока устанавливаются в двух фазах защищаемой сети (как правило, в фазах A и C), а вторичные обмотки ТТ и катушки реле соединяются по схеме «неполная звезда/неполная звезда». В этом случае также k CX= 1.
2.2. Неселективные отсечки
К защитам головных участков электроэнергетических систем, как правило, предъявляются повышенные требования по быстродействию. Это связано с необходимостью обеспечения устойчивости параллельной работы синхронных генераторов и энергосистемы в целом. Применение токовых отсечек оказывается не всегда эффективным, так как из-за увеличенных сечений проводников головных линий токи КЗ при повреждениях в начале и в конце линии отличаются незначительно. В результате обеспечить приемлемую зону действия и селективность отсечки обычно не удается.

В таких ситуациях могут быть использованы неселективные токовые отсечки.
Неселективные отсечки – это токовые защиты максимального типа, которые могут действовать при повреждениях не только в пределах контролируемого объекта, на котором они установлены, но и за его пределами. Селективность действия неселективных отсечек обеспечивается за счет введения выдержки времени или применения дополнительных технических средств.
2.2.1. Неселективная токовая отсечка с выдержкой времениС целью расширения зоны, контролируемой токовой отсечкой, можно допустить возможность ее действия при КЗ на смежной линии (рис. 2.4). Селективное действие неселективной отсечки в этом случае можно обеспечить за счет ограничения зоны ее действия пределами действия быстродействующей защиты следующей линии и небольшой выдержкой времени срабатывания.

Так, установка токовой отсечки мгновенного действия ТО1 на линию W1, очевидно, неэффективна ввиду очень ограниченной зоны действия ( l( TO1)). Для защиты линии W1 в этом случае целесообразно использовать неселективную отсечку НО1, которую и по току, и по времени следует отстроить от токовой отсечки ТО2 линии W2:

где I C TO2– ток срабатывания токовой отсечки ТО2 линии W2;
k 3– коэффициент запаса неселективной отсечки;
I C HO1– время срабатывания токовой отсечки ТО2, t C HO1 ≈ 0,1 с;
Δ t– ступень селективности, Δ t= 0,4–0,6 с.
Выдержка времени неселективной отсечки обычно составляет 0,3–0,8 с [5]. За это время апериодическая составляющая тока КЗ практически полностью затухает, поэтому значения коэффициента запаса принимают в пределах 1,1–1,2 независимо от типа реле [4]. Кроме того, по этой же причине (наличие выдержки времени) нет необходимости в дополнительной отстройке от бросков тока намагничивания силовых трансформаторов.

При таком выборе уставок на линии W2 образуется общая зона действия l ОБЩ. При КЗ за пределами этой зоны, но в пределах зоны действия l ТO2отсечки ТO2 (точка К2) срабатывает только токовая отсечка ТО2, отключая поврежденную вторую линию. На КЗ в зоне l ОБЩ(точка К1) реагируют обе отсечки: селективная ТО2 и неселективная первой линии НО1, однако «своя» отсечка ТО2 сработает быстрее (практически, мгновенно), и точно так же будет отключена только поврежденная линия W2. Неселективная отсечка при этом вернется в исходное состояние, так и не успев сработать. При КЗ в пределах линии W1 будет селективно работать неселективная отсечка НО1.
Схема токовой отсечки с выдержкой времени приведена на рис. 2.5. Требуемая выдержка времени неселективной отсечки создается при помощи реле времени KT1.
2.2.2. Неселективная токовая отсечка без выдержки времениНеселективная токовая отсечка без выдержки времени применяется, когда по условиям обеспечения устойчивой работы энергосистемы или обеспечения термической устойчивости защищаемого оборудования требуется мгновенное отключение всех или части поврежденных элементов [4]. Исправить неселективное действие токовой отсечки при КЗ на смежных присоединениях можно с помощью устройств автоматического повторного включения (АПВ) или автоматического включения резервного источника питания (АВР).
Устройство АПВ (рис. 2.6) устанавливается на линии W1 и действует на выключатель Q1.
Если КЗ произошло на линии W2 в общей зоне l ОБЩдействия селективной отсечки ТО2 и неселективной отсечки НО1 (точка К2), обе отсечки сработают одновременно. В результате обе линии W1 и W2 оказываются отключенными своими выключателями. После отключения линии W1 устройство АПВ, обеспечив определенную выдержку времени, подаст сигнал на повторное включение выключателя Q1. Линия W1 вновь включается, и питание подстанции ПС2 восстанавливается. Поврежденная линия W2 остается в отключенном состоянии.
Если в исходном состоянии электрической сети КЗ произошло вне общей зоны действия защит l ОБЩ, но в зоне действия l TO2токовой отсечки ТО2 (точка К3), то под действием этой защиты будет быстро отключена только линия W2. Неселективная отсечка НО1 действовать не должна, и линия W1 остается во включенном состоянии.

При КЗ на линии W1 (точка К1) под действием неселективной отсечки НО1 будет отключена линия W1. Устройство АПВ повторно включит линию, и, если КЗ оказалось устойчивым (не ликвидировалось за время действия АПВ), неселективная отсечка НО1 вновь отключит линию W1. Количество включений линии W1 (обычно одно) ограничивается устройством АПВ.
Ток срабатывания неселективной токовой отсечки выбирается по условию ее надежного срабатывания в тех зонах, где трехфазные КЗ вызывают снижение напряжения до значений, при которых нарушается устойчивая работа энергосистемы [5]:

где U C MIN– междуфазное напряжение питающей энергосистемы в минимальном режиме ее работы, которое можно принять равным 0,9–0,95 номинального;
Z C MIN– сопротивление энергосистемы в минимальном режиме работы до места установки неселективной отсечки; k З– коэффициент запаса, k З= 1,1–1,2;
k 0– коэффициент, учитывающий допустимое снижение напряжения при трехфазных КЗ; в приближенных расчетах для обеспечения динамической стойкости синхронных генераторов k 0 ≥ 1,5, синхронных электродвигателей – k 0≥ 1,0 [4, 5].
Кроме этого, необходимо, чтобы при КЗ в общей зоне действия отсечек на линии W2 собственное время срабатывания отсечки ТО2 не превышало время срабатывания неселективной отсечки НО1.
2.3. Максимальные токовые защиты
Максимальные токовые защиты(МТЗ) – это токовые защиты максимального типа, селективность действия которых обеспечивается выбором различных выдержек времени срабатывания.
Как правило, МТЗ используются в электрических сетях с односторонним питанием. Они устанавливаются в начале каждого контролируемого объекта со стороны источника питания (рис. 2.7).
Выдержки времени срабатывания защит должны нарастать по мере приближения к источнику питания: t С31> t C32 > t C33 > t C3H4.
При КЗ на линии W3 (например, в точке КЗ) токи в линиях от источника до точки КЗ увеличатся и все три обтекаемые током КЗ защиты MT31—MT33 могут начать действовать. Среди перечисленных защит МТЗЗ имеет наименьшую выдержку времени и поэтому срабатывает первой, отключая только поврежденную линию W3. Остальные защиты вернутся в исходное состояние, так и не успев сработать.

При КЗ на линии W2 (в точке К2) током КЗ обтекаются защиты МТЗ1 и МТЗ2. Из них меньшей выдержкой времени обладает МТЗ2. Именно она должна сработать первой и отключить поврежденную линию W2.
При КЗ на линии W1 должна сработать защита МТЗ1.
2.3.1. Выбор уставок МТЗТок срабатывания МТЗ выбирается исходя из следующих условий.
Во-первых, ток срабатывания должен быть больше максимального рабочего тока, чтобы защита не действовала при нормальной работе системы:
I C3 MAX> I АБ МАХ.
Во-вторых, ток возврата защиты должен быть больше тока самозапуска в послеаварийном режиме работы системы, чтобы защита возвращалась в исходное положение после селективного отключения поврежденного оборудования другой защитой:
I ВЗ> I СЗП.
Так, при КЗ в начале линии W2 (рис. 2.8) токи в местах установки защит МТЗ1 и МТЗ2 увеличиваются, токовые реле этих защит срабатывают и реле времени начинают отсчет установленных на них выдержек времени. Одновременно снижается напряжение на шинах подстанции ПС2 и двигатели М, также питающиеся от шин этой подстанции, затормаживаются. Часть из них при этом отключается, другая часть в соответствии с технологическими требованиями остается подключенной к сети. После отключения линии W2 защитой МТЗ2 начинается процесс самозапуска этих двигателей, при котором ток в месте установки МТЗ1 равен току самозапуска электродвигателей. В этих условиях необходимо, чтобы МТЗ1 все же вернулась в исходное состояние, прервав отсчет времени.

Учитывая, что ток срабатывания защиты и ток ее возврата связаны коэффициентом возврата ( k в= I BЗ/ I С), а также используя коэффициент запаса k З, второе условие можно переписать в виде:

Для реле РТ-40, РТ-80, РТ-90 k З= 1,1–1,2, k В= 0,8–0,85 [4].
Если максимальное значение тока самозапуска неизвестно, его можно определить приближенно на основании коэффициента самозапуска, показывающего, во сколько раз ток самозапуска больше максимального рабочего тока. Тогда:

Здесь I СЗи k СЗП– соответственно ток самозапуска электродвигателей в месте установки защиты и коэффициент самозапуска.
Выдержки времени срабатывания МТЗ при каскадном соединении линий должны возрастать по мере приближения к источнику питания (см. рис. 2.7):

где t СЗ H4– время срабатывания собственной защиты нагрузки;
Δ t – ступень селективности;при использовании электромеханических реле времени Δ t= 0,4–0,6 с.
2.3.2. Схемы МТЗПолная звезда(трехфазная трехрелейная схема, рис. 2.9; k CX =1) применяется редко, так как в сетях 6-35 кВ при двойных замыканиях на землю она может приводить к неселективному отключению поврежденных линий. Чувствительность такой защиты, установленной на трансформаторах 110 кВ и выше, необходимо искусственно снижать, не допуская действия защиты при внешних однофазных КЗ. В сетях 110 кВ и выше обычно используют дистанционную защиту [5].
Неполная звезда(двухфазная двухрелейная или трехрелейная схема, рис. 2.10) используется для защиты в электрических сетях 6-35 кВ, то есть в сетях с изолированной или компенсированной нейтралью, где не может быть однофазных КЗ. Для уменьшения вероятности неселективных отключений при двойных замыканиях на землю ТТ во всей сети устанавливают на одноименных фазах (обычно А и С). На трансформаторах со схемами соединения обмоток «звезда/треугольник» (Y/Δ) и «треугольник/звезда» (Δ/Y), а также на линиях, питающих такие трансформаторы, следует использовать трехрелейнуюсхему [5]: при двухфазном КЗ на стороне низшего напряжения (НН) трансформатора ток КЗ в одной из фаз на стороне высшего напряжения (ВН) будет в два раза выше, чем в двух других. В одном из трех случаев двухфазных КЗ этой фазой будет являться фаза B, не охваченная защитой, и чувствительность защиты снизится в два раза. Для повышения чувствительности в этом случае в обратный провод двухфазной схемы следует включить дополнительное реле KA3 (показано пунктиром на рис. 2.10).

Треугольник(обмотки реле соединяются по схеме звезды, а вторичные обмотки трансформаторов тока – по схеме треугольника, рис. 2.11; k CX= √3; схема оперативного тока такая же, как для полной звезды – см. рис. 2.9) используется для защиты трансформаторов 35 кВ и выше.
Защита, выполненная по этой схеме, не действует при внешних однофазных КЗ (в отличие от схемы полной звезды).
На двухобмоточных трансформаторах со схемой соединения обмоток «звезда/треугольник» (Y/Δ) одно из трех реле может быть исключено [5] без ухудшения чувствительности защиты (реле KA2 на рис. 2.11).

Неполный треугольник(двухфазная однорелейная схема, рис. 2.12; k CX= √3) ввиду значительных недостатков допустимо использовать только для защиты электродвигателей выше 1 кВ мощностью не более 2 МВт [3, 5]. Этот способ соединения вторичных токовых цепей иногда называют схемой включения реле «на разность токов двух фаз».

2.4. Трехступенчатые токовые защиты
Для того чтобы обеспечить надежную защиту электрических сетей при повреждениях, часто недостаточно использовать защиту одного вида. Так, токовые отсечки обеспечивают быстрое выявление повреждений, но имеют зоны нечувствительности в конце контролируемого объекта. МТЗ имеют достаточно протяженные зоны действия, но их приходится выполнять с большими выдержками времени срабатывания, особенно на головных участках сетей, где требуется высокое быстродействие. Для того чтобы максимально использовать достоинства защит разных типов, их объединяют в один комплекс.
Наибольшее распространение получили трехступенчатые токовые защиты. В качестве первой ступени используются токовые отсечки мгновенного действия (селективные токовые отсечки). В качестве второй – токовые отсечки с выдержкой времени срабатывания (неселективные токовые отсечки). В качестве третьей ступени – МТЗ.

Трехступенчатые токовые защиты могут быть неполными. Например, на головной линии W1 (рис. 2.13), как правило, устанавливаются все ступени защиты. На смежных с головным участком сети линиях (W2) чаще используют только две ступени: первую и третью. На удаленных от источника питания объектах сети (линия W3) обычно достаточно только третьей ступени защиты – МТЗ.
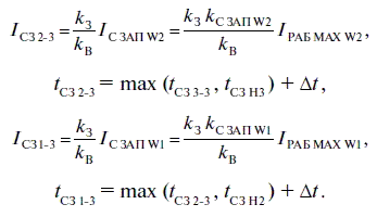
Расчеты целесообразно вести начиная с наиболее удаленной от источника питания линии (W3). Первичный ток срабатывания третьей ступени защиты 3 определяется так:

где I С ЗАП W3и I РАБ МАХ W3– соответственно значение тока самозапуска в послеаварийном режиме и максимальное значение рабочего тока в линии W3 в нормальном режиме;
k З– коэффициент запаса (для защит, имеющих выдержку времени);
k в– коэффициент возврата;
k С ЗАП W3– коэффициент самозапуска для линии W3.
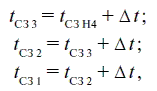
Выдержка времени срабатывания третьей ступени защиты 3:

где t C3 Н4– максимальное время срабатывания защит нагрузок, с которыми третья ступень защиты 3 может иметь общую зону действия;
Δ t– ступень селективности.
Параметры срабатывания МТЗ второй и первой линий определяются аналогично:

Первичный ток срабатывания первой ступени (отсечки мгновенного действия) второй линии:

Аналогично определяется ток срабатывания первой ступени защиты 1:

Вторая ступень защиты 1 должна быть отстроена от тока срабатывания первой ступени защиты, установленной на следующей (второй) линии:

где k 3 1–2и k 3 2–1 – коэффициенты запаса по току второй ступени защиты первой линии и первой ступени второй линии соответственно; в общем случае значения этих коэффициентов различны, так как первая ступень защиты не имеет выдержки времени, а вторая – с целью обеспечения селективности действия – имеет.
По времени вторая ступень защиты 1 также должна быть отстроена от времени действия быстродействующих защит отходящих присоединений (вторая линия), с которыми имеет общую зону действия:

где t C3 2–1 – время действия первой ступени защиты 2.
Токи срабатывания реле (вторичные токи) отдельных ступеней защит вычисляются так:

где I C3– первичный ток срабатывания соответствующей ступени защиты;
k СХ – коэффициент схемы;
k т– коэффициент трансформации ТТ защиты.
Базовая схема токовой трехступенчатой защиты, устанавливаемой на отходящей линии электропередачи 10 кВ, показана на рис. 2.14.

Чувствительность первых ступеней защит оценивается по величине зоны действия. Зона действия, как правило, определяется графически.
Чувствительность вторых ступеней может оцениваться по величине зоны действия или по значению коэффициента чувствительности. Если зона действия второй ступени полностью охватывает контролируемую линию, то третья ступень защиты этой линии выполняет только резервные функции. Если же зона действия второй ступени меньше длины контролируемой линии, то третья ступень защиты линии является основной.
Чувствительность третьих ступеней защит оценивается по коэффициенту чувствительности, как у отдельных МТЗ.
2.5. Направленные токовые защиты
Направленная защита– это защита, действующая только при определенном направлении (знаке) мощности КЗ [2].
2.5.1. Принцип действияВ электрических сетях с двухсторонним питанием и в кольцевых сетях обычные токовые защиты не могут действовать селективно. Например, в электрической сети с двумя источниками питания (рис. 2.15), где выключатели и защиты установлены с обеих сторон каждой линии, при повреждении в точке К1 должны выполняться следующие условия выбора выдержек времени срабатывания МТЗ:
t СЗ 2< t СЗ 3 < t СЗ 4 < t СЗ 5 < t СЗ 6.
При КЗ в точке K2:
t СЗ 1< t СЗ 2 < t СЗ 3 и t СЗ 4 < t СЗ 5 < t СЗ 6.
При КЗ в точке K3:
t СЗ 1< t СЗ 2 < t СЗ 3 < t СЗ 4 < t СЗ 5.
Как видно, эти требования противоречивы и не могут быть выполнены в одной системе защит.
Для обеспечения селективного действия токовых защит в этих условиях необходимо использовать дополнительный признак, характеризующий расположение места повреждения относительно защит. В качестве этого признака можно использовать направление мощности КЗ в месте установки защиты.

Для того чтобы обеспечить селективное действие МТЗ, нужно разрешить действовать только тем защитам, направление мощности КЗ в месте установки которых – от шин к линии. Тогда выполнять согласование по времени срабатывания необходимо только для тех защит, которым действие разрешено (рис. 2.16).

С учетом этого, при коротком замыкании в точке К1:
t СЗ 2< t СЗ 4 < t СЗ 6;
в точке K2:
t СЗ 1< t СЗ 3 и t СЗ 4< t СЗ 6;
в точке K3:
t СЗ 1< t СЗ 3< t СЗ 5.
При таких условиях требования к соотношению выдержек времени срабатывания отдельных защит, обеспечивающие их селективное действие, не противоречат друг другу. Следовательно, система защиты реализуема.









![Обложка: Честь Воина [CИ]](/files/books/110/no-cover.jpg)