Текст книги "Юный техник, 2001 № 12"
Автор книги: Юный техник Журнал
Жанры:
Технические науки
,сообщить о нарушении
Текущая страница: 5 (всего у книги 6 страниц)
КОЛЛЕКЦИЯ «ЮТ»

Первый вариант многоцелевого самолета поднялся в воздух в 1955 году. Это был IAR-817. А после доработок в 1960 году на конвейер встал IAR-818, оснащенный более мощной силовой установкой. В эксплуатационном варианте самолет может взять на борт до 4 пассажиров. А в санитарном, кроме больного, еще и сопровождающих его лиц. Самолет нашел применение в сельском хозяйстве, на почте, в качестве грузового перевозчика. На нашей схеме изображен гидросамолет на его базе – IAR-818 Н.

Техническая характеристика:
Длина… 10 000 мм
Ширина… 12 100 мм
Высота… 3100 мм
Экипаж… 1+3 пассажира
Силовая установка… М-337
Мощность… 155 кВт
Полезная нагрузка… 475 кг
Стартовый вес… 1300 кг
Максимальная скорость… 185 км/ч
Потолок… 4000 м
Дальность полета при полной заправке… 900 км

Чехословацкие трамваи появились в нашей стране в 1957 году, а с 1959 года самой распространенной стала модель Т-2. Благодаря центральной фаре и горизонтальной хромированной планке их прозвали «циклоп». Специально для СССР эти трамваи делались двухдверными, а кабина водителя была защищена плексигласовым колпаком. Токосъемник имел форму пантографа, благодаря чему обеспечивался надежный токосъем. Первые 180 трамваев получила Москва. Здесь они «прижились».

Техническая характеристика:
Кузов… сварной, несущей конструкции
Тележки… с карданной передачей
Тормоза… электрические (пневматика отсутствует вообще)
Длина… ок. 15 000 мм
Ширина… ок. 2500 мм
Высота (с токосъемником) около… 4000 мм
Кол-во пассажиров… 56
ПОЛИГОН
Вихревая труба
Холодильничек размером со спичку для охлаждения всего лишь одного, но самого важного транзистора в электронной схеме или же холодильник, способный засыпать снегом целый город, могут быть построены на одном и том же принципе – вихревой трубы.
Каждый, наверное, видел, как вихрь собирает столбом дорожную пыль. Это явление использовано в циклонных сепараторах – устройствах для очищения газов от пыли. Их, например, применяют для очищения от золы и сажи дымовых газов заводских печей (кстати, пылесосы с этим эффектом в последнее время рекламируются по телевидению).
Французский инженер Жорж Ранк, долго занимавшийся такими аппаратами, случайно обнаружил, что температура в центральной части вихря значительно ниже температуры исходного газа. Это явление он и использовал в холодильном устройстве под названием «вихревая труба», на которое в 1931 году получил патент. Подаваемый в трубу воздух с температурой 20 градусов выходил разделенным на два потока. Один имел температуру 100 градусов, другой – минус 20.
В 1933 году Ж.Ранк сделал доклад во французском физическом обществе, но специалисты отнеслись к нему с недоверием, заявив, что при измерении температуры была допущена ошибка. О Ранке надолго забыли.
Позже, в 1937 году, ничего не зная о работах Ранка, советский ученый К.Страхович теоретически доказал возможность охлаждения вращающегося потока, поведав об этом в учебнике. Но и это осталось без внимания.
Только когда в 1946 году немецкий физик Р.Хильш опубликовал исследования по работе вихревой трубы, ученый мир отнесся к ней с интересом и назвал трубой Ранка – Хильша. Вот как она устроена (рис. 1.).

Сжатый газ от внешнего источника поступает во входное сопло, создающее в трубе вращающийся поток. Он движется к концу трубы и встречает стенку с отверстием регулировочного вентиля. Часть газа уходит наружу через это отверстие. Другая часть потока, отражаясь от стенки, поворачивает обратно. Таким образом, поток в трубе становится двухслойным. Внешний его слой движется от сопла к стенке, а внутренний – от стенки к соплу. Кроме того, эти слои еще и вращаются в одном и том же направлении.
Газ, находящийся во внутреннем слое, отдает часть своей кинетической энергии внешнему слою. За счет этого внешний слой потока разогревается, а внутренний охлаждается. Его выводят наружу через отверстие в передней стенке трубы.
Таким образом, мы имеем два потока: холодный и горячий.
Горячий поток отводит за пределы вихревой трубы тепло, отнятое у холодного потока. Вместе с ним теряется до 70 % сжатого газа. Но если вихревую трубу охлаждать снаружи, например, при помощи «рубашки», по которой протекает вода, то с обеих ее сторон будет вытекать холодный газ. Тогда расход сжатого газа уменьшается более чем вдвое.
Следует отметить, что затраты энергии для получения холода с помощью трубы Ранка примерно в 20 раз выше, чем у обычного холодильника. Но, несмотря на это, в ряде случаев она незаменима.
На рисунке 2 изображен защитный костюм сталевара, оснащенный ранцевым вихревым холодильником.

Вес холодильника 1–2 кг, он получает сжатый воздух по шлангу от заводской сети. Выходящий из вихревой трубы охлажденный поток направляется в костюм и защитную маску для дыхания. Создающееся небольшое избыточное давление надежно защищает человека от попадания под маску вредных примесей, содержащихся в атмосфере цеха. Поэтому костюмы такого типа используются и на химических производствах, где температура порою превышает 60–70 градусов, а воздух содержит влагу и ядовитые примеси. Вспоминая жаркое лето, кто-нибудь невольно подумает о подобном костюме.
Несмотря на низкий КПД, были созданы вихревые холодильники для хранения пищевых продуктов. Правда, ставятся они не в жилых домах, а в кабинах локомотивов. Здесь обычный бытовой холодильник быстро выходит из строя из-за вибраций. Для вихревой трубы они не помеха. Воздуха для ее работы в изобилии, его берут от тормозной системы локомотива. Правда, вихревая труба сильно шумит. Но услышит ли машинист шипение струйки воздуха, когда за спиной у него работает дизель на 5–6 тысяч киловатт?
Вихревые холодильники широко применяются для охлаждения кабин комбайнов, автобусов, морских судов и самолетов, словом, везде, где достаточно сжатого воздуха.
И даже там, где его немного. Мы не случайно упомянули электронику. Предел чувствительности некоторых электронных схем бывает обусловлен собственными тепловыми шумами первого каскада усилителя. Чтобы их снизить, транзисторы приходится охлаждать до температуры минус 70° и ниже. Здесь тоже используют вихревую трубу. Размер ее в таких случаях невелик: длина 10 мм при внутреннем диаметре 1 мм.
На рисунке 3 изображена схема демонстрационной вихревой трубы, которая могла бы показать снижение температуры на 2–3 градуса.

Для ее изготовления можно использовать оргстекло с просверленными каналами или медную трубку от старого холодильника диаметром 2 мм. Регулировка потока горячего воздуха осуществляется при помощи заточенного на конус винта. А работать такая вихревая труба может от автомобильного электрического компрессора.
Во время демонстрации (рис. 4) используются два термистора, соединенных по схеме моста, в диагонали которого установлен гальванометр. Один термистор должен обдуваться холодным воздухом, другой – теплым.

Демонстрацию начинают с балансировки моста при полностью вывернутом вентиле. Ввертывая вентиль, можно заметить отклонение стрелки нуль-индикатора, которое покажет, что на горячем конце вихревой трубы температура повышается. а на холодном снижается.
В заключение отметим, что вихревая труба Ранка-Хильша, несмотря на свой почтенный возраст, все еще открывает множество неожиданных свойств. Как недавно выяснилось, она может разделять газы по химическому и даже изотопному составу. В ней прекрасно горит любое топливо, в том числе и твердое. Вихревая труба может работать не только на газах, но и на жидкостях.
Потому стоит поэкспериментировать с вихревой трубой. Самая лучшая книга о ней была написана в 1976 году А.Мартыновым и В.Бродянским. Называется она «Что такое вихревая труба?» (Москва, издательство «Энергия»).
А. ИЛЬИН
Рисунки автора
МОЗАИКА ИНТЕРНЕТА
РЫБЫ СВЕТЯТСЯ ОТ ЯДА
Эти крохи – их длина всего 2 сантиметра – с недавних пор чутко реагируют на появление в воде вредных веществ, мигом меняя свою окраску. Этому их научили ученые из университета Цинциннати (США), внедрившие рыбам ген светлячка. Так что теперь рыбы мерцают тревожным светом, если в воде обнаруживают вредные вещества, например, тяжелые металлы или канцерогены, вызывающие заболевания раком.
– Этих «улучшенных» рыбок можно будет использовать для проверки воды в реках, озерах и колодцах, – отмечает Дэниел Неберт, творец этих «трансгенных» существ. – На здоровье же самих рыб подсадка гена никак не сказывается…
К сказанному остается добавить, что новый метод диагностики воды более быстр и дешев, чем традиционный химический анализ.
Адрес в «Интернете»: dan.nebert@uc.edu
ВЫШЕЛ РОБОТ НА ПОЛЯ
Израильский агроном Охад Хессель создал при Хайфском университете ферму, на которой всеми делами вершат роботы. Поддоны с растениями располагались в отдельных металлических контейнерах. Роботы вовремя включают свет, поливают растения и подкармливают их. Даже посев и сбор урожая происходят автоматически.
«Таким образом с одного контейнера длиной 12 и шириной 2,5 метра можно собирать каждый день до пятисот головок салата – в 1000 раз больше, чем на обычном поле!»– сообщает Хессель.
По словам изобретателя, его роботы приживутся в регионах с суровым климатом, в высокогорных районах и даже на орбитальных станциях. «Нужно лишь запрограммировать время, и тогда урожай будет собран вовремя и полностью», – отмечает ученый.
Адрес в «Интернете»: www.orgsni-tech.com
ЗАОЧНАЯ ШКОЛА РАДИОЭЛЕКТРОНИКИ
Выше добротность – лучше прием

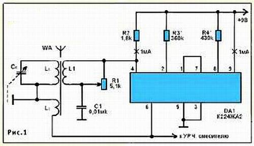
Принципиальная схема несложной приставки прямого усиления, повышающей чувствительность радиоприемников, приведена на рисунке 1.

Работает приставка в средневолновом диапазоне. Ночью, напомним, на средних волнах можно поймать весьма удаленные станции. На схеме: элементы WA, Ск, Lк – магнитная антенна с контурной катушкой и секция блока конденсаторов переменной емкости, уже имеющиеся в конструкции приемника; Lс – штатная катушка связи входного контура со смесителем преобразователя или с каскадом усиления радиочастоты. Вновь вводимый узел содержит микросхему DA1, несколько навесных деталей и катушку обратной связи L1, надеваемую на стержень магнитной антенны рядом с катушкой Lк. Первый каскад DA1 включен по схеме эмиттерного повторителя, благодаря чему имеет высокое входное сопротивление; будучи присоединен выводом 6 к цепи катушки Lc, он практически не создает дополнительной нагрузки на входной контур Lк, Ск. С выхода эмиттерного повторителя сигнал поступает на второй, также «спрятанный» в микросхеме, каскад усиления; с его коллекторной нагрузки R2 снимается значительно усиленный сигнал, поступающий в катушку обратной связи L1. При правильном положении последней ее магнитный поток усиливает поток от катушки Lк, что равносильно снижению потерь в контуре. Благодаря увеличению добротности контура, принятый сигнал воспроизводится громче, снижаются или пропадают вовсе помехи от сигналов радиостанций, работающих на близких частотах. Но если обратная связь излишне велика, приемник самовозбуждается.
Поскольку на разных участках диапазона требуются различные уровни обратной связи, в схему приставки введен регулятор связи в виде переменного резистора R1, в той или иной степени шунтирующего катушку L1. Катушка наматывается на каркасе из плотной бумаги, повторяющем форму торца ферритового стержня антенны, содержит порядка 15 витков провода ПЭЛШО 0,15 и может перемещаться по стержню относительно контурной катушки.
Со схемой приемника наша регенерирующая приставка связана в трех доступных точках – с «общим проводом», цепью питания и цепью катушки Lc. Указанные на схеме величины токов микросхемы можно подогнать при необходимости подбором номиналов резисторов R3, R4. Перемещая катушку L1 относительно Lк и уточняя число витков L1, нетрудно добиться возникновения генерации на всем принимаемом диапазоне. Может случиться, что у вас нет нужной микросхемы или для нее не удается найти места вблизи магнитной антенны. Тогда приставку можно выполнить согласно схеме, показанной на рисунке 2.

Здесь для повышения входного сопротивления усилительного каскада на транзисторе VT1 использован транзистор с высоким коэффициентом передачи тока, типа КТ3102В либо Г. Его режим по постоянному току обеспечивается подбором резистора R2. На рисунке 3 дано расположение выводов используемых полупроводниковых приборов; позиции «а», «б» отвечают разным исполнениям корпусов транзистора КТ3102.

Ю. ПРОКОПЦЕВ
ЗФШТ ОБЪЯВЛЯЕТ НАБОР
Заочная физико-техническая школа (ЗФТШ) при Московском физико-техническом институте проводит набор учащихся общеобразовательных учреждений (школ, лицеев, гимназий и т. п.), расположенных на территории Российской Федерации.
Обучение в ЗФТШ для граждан, проживающих в Российской Федерации, в рамках утвержденного плана приема – бесплатное.
Цель ЗФТШ – помочь учащимся, интересующимся физикой и математикой, углубить и систематизировать свои знания по этим предметам, а также способствовать их профессиональному самоопределению.
Набор в 8, 9, 10 и 11-й классы ЗФТШ на 2002–2003 учебный год проводится на следующие отделения:
Заочное (индивидуальное обучение).
Тел.: (095) 408-51-45.
Прием на заочное отделение проводится на конкурсной основе по результатам выполнения вступительного задания по физике и математике, приведенного в данном объявлении. Полная программа обучения рассчитана на 4 года (8 – 11-й кл.), но поступать можно в любой из этих классов.
В течение учебного года, в соответствии с программой, ученик будет получать по каждой теме задания по физике и математике (по 4 задания по каждому предмету для 8-го класса, 6–7 заданий по каждому предмету для 9, 10 и 11-го кл.), а затем рекомендуемые ЗФТШ авторские решения этих заданий вместе с проверенной работой учащегося.
Очно-заочное (обучение в факультативных группах).
Тел./факс: (095) 485-42-27.
Факультативные группы могут быть организованы в любом общеобразовательном учреждении двумя преподавателями – физики и математики. Руководители факультатива принимают в них учащихся, успешно выполнивших вступительное задание ЗФТШ. Группа (не менее 8 человек) принимается, если директор общеобразовательного учреждения сообщит в ЗФТШ фамилии, имена, отчества ее руководителей и поименный алфавитный список обучающихся (Ф. И. 0. полностью с указанием класса текущего учебного года, итоговых оценок за вступительное задание по физике и математике, телефона, факса и e-mail школы). Все эти материалы и конверт с маркой достоинством 3 руб. для ответа о приеме в ЗФТШ с обратным адресом на имя одного из руководителей следует выслать до 15 июня 2002 г. по адресу: 141700, г. Долгопрудный Московской области. Институтский пер., 9, МФТИ, ЗФТШ (с указанием «Факультатив»). Тетради с роботами учощихся в ЗФТШ не высылаются. Работа руководителей факультативов может оплачиваться общеобразовательным учреждением как факультативные занятия по предоставлению ЗФТШ при МФТИ соответствующих сведений.
Руководители факультативов будут получать в течение учебного года: учебно-методические материалы ЗФТШ (программы по физике и математике, задания по темам программы, решения заданий с краткими рекомендациями по оценке работ учащихся), информационно-рекламные материалы и т. д. Работы учащихся проверяют и оценивают руководители факультативов, а в ЗФТШ ими высылаются ведомости с итоговыми оценками по каждому заданию.
Очное (обучение в вечерних консультационных пунктах).
Тел./факс: (095) 485-42-27.
Для учащихся Москвы и Московской области по программе ЗФТШ работают вечерние консультационные пункты, набор в которые проводится или по результатам выполнения вступительного задания, или по результатам собеседования по физике и математике, которое проводится в первой декаде сентября.
Программы ЗФТШ являются дополнительными образовательными программами и едины для всех отделений.
Кроме занятий по этим программам, ученикам ЗФТШ (всех отделений) предлагается участвовать в физико-математической олимпиаде «Физтех-абитуриент», которая проводится на базе МФТИ и в ряде городов России в мартовские школьные каникулы, в других очных и заочных олимпиадах МФТИ и его факультетов, а также в конкурсах и научно-технической конференции школьников «Старт в науку».
По окончании учебного года учащиеся, успешно выполнившие программу по выбранной форме обучения, переводятся в следующий класс, а выпускники (11-й кл.) получают свидетельство об окончании с итоговыми оценками по физике и математике, которое учитывается на собеседовании при поступлении в МФТИ.
Вне конкурса (без выполнения вступительного задания) в ЗФТШ принимаются победители областных, краевых, республиканских, зональных и всероссийских олимпиад по физике и математике 2001–2002 уч. г. (участие подтвердить справкой из школы, копией диплома до 15 мая 2002 г.).
Вступительное задание по физике и математике ученик выполняет самостоятельно. Работу сделайте на русском языке и аккуратно перепишите в одну школьную тетрадь. Порядок задач сохраняйте тот же, что и в задании. Тетрадь перешлите в большом конверте простой бандеролью (только не сворачивайте в трубку). Вместе с решением обязательно вышлите справку из школы, в которой учитесь, с указанием класса. Справку наклейте на внутреннюю сторону обложки тетради.
На лицевую сторону обложки наклейте лист бумаги, четко заполненный по образцу:

1. Область Магаданская
2. Фамилия, имя, отчество Матвеев Антон Сергеевич
3. Класс, в котором учитесь седьмой
4. Номер школы б/н
5. Вид школы (обычная, лицей, гимназия, с углубленным изучением предмета и т. п.) обычная
6. Подробный домашний адрес (с указанием индекса и телефона), e-mail 686135, п. Хасын Маг. обл., ул. Молодежная, 2, кв. 8 тел. 95-3-35
7. Место работы и должность родителей
отец судья, райсуд
мать учитель ин. яз., школа
8. Адрес школы и телефон факс, e-mail 686135, п. Хасын Маг. обл., ул. Геологов, 20, 95-5-50
9. Фамилия, имя, отчество преподавателей
по физике Козлова Ольга Анатольевна
по математике Савченко Елена Александровна
10. Каким образом к Вам попала эта афиша?
В ЗФТШ ежегодно приходит более 6 тысяч вступительных работ. Пожалуйста, обратите внимание на правильность заполнения анкеты! Пишите аккуратно, лучше печатными буквами.
ВНИМАНИЕ! Для получения ответа на вступительное задание и для отправки вам первых заданий обязательно вложите в тетрадь конверт с наклеенными марками на сумму 3 руб. На конверте напишите свой домашний адрес.
Ученикам, зачисленным в ЗФТШ в рамках утвержденного плана приема, необходимо будет оплатить целевой взнос для обеспечения процесса подготовки и издания учебно-методических материалов по программе ЗФТШ и рассылки их по почте адресатам. Сумма взноса будет составлять ориентировочно для учащихся заочного и очного отделений 200–350 руб. в год, для очно-заочного – 400–700 руб. (с каждой факультативной группы).
Срок отправления решения – не позднее 1 марта 2002 года.
Вступительные работы обратно не высылаются. Решение приемной комиссии будет сообщено не позднее 1 августа 2002 года.
Тетрадь с выполненными заданиями (по физике и математике) высылайте по адресу: 141700, г. Долгопрудный Московской области. Институтский пер., 9, МФТИ, ЗФТШ.
Для учащихся Украины работает Киевский филиал ЗФТШ при МФТИ (обучение платное). Желающим в него поступить следует высылать работы по адресу: 252680, г. Киев, пр. Вернадского, д. 36, Институт металлофизики. Киевский филиал ЗФТШ при МФТИ. Телефон: (044) 444-95-24.
Для учащихся из стран зарубежья возможно платное обучение на заочном и очно-заочном отделениях ЗФТШ. Условия обучения для прошедших конкурсный прием будут сообщены дополнительно.
Ниже приводятся вступительные задания по физике и математике. В задании по физике: задачи 1–5 предназначены для учащихся седьмых классов, 1, 2, 4–7 – для восьмых классов, 4, 7-12 – для девятых классов, 7, 12–17 – для десятых классов. В задании по математике: задачи 1–5 – для учащихся седьмых классов, 2–6 – для восьмых классов, 5-11 – для девятых классов, 8 – 14 – для десятых классов.
Номера классов указаны на текущий 2001–2002 учебный год.
ВСТУПИТЕЛЬНОЕ ЗАДАНИЕ ПО МАТЕМАТИКЕ
1. Вычислить число

2. Найти частное двух чисел, если оно в два раза меньше одного из них и в шесть раз больше другого.
3. На конечной остановке в трамвай вошли пассажиры, и половина их заняла места для сидения. Сколько человек вошло на конечной остановке в трамвай, если после первой остановки число пассажиров увеличилось на 8 % и известно, что трамвай вмещает не более 70 человек?
4. В треугольнике AВС проведены высота ВК и отрезок BL, перпендикулярный стороне AВ. Известно, что LALB = 45°' а точка L делит отрезок КС пополам. Найти длину стороны АС, если длина отрезка КС равна 4 см.
5. Дан угол и точки B и С, расположенные одна на одной стороне угла, другая – на другой стороне угла. Найти точку М, равноудаленную от сторон угла, такую, что MB = MС.
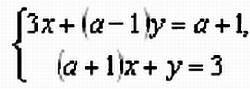
6. Найти все значения параметра, при которых система

имеет единственное решение.
7. Сумма трех чисел, составляющих арифметическую прогрессию, равна 45. Если третье число увеличить на 48, то вновь полученные числа, взятые в том же порядке, образуют геометрическую прогрессию, знаменатель которой не является целым числом. Найти исходные три числа.
8. К 22 часам 20 % не проголосовавших к 18 часам человек проголосовало, после чего процент не проголосовавших людей составил 32 %. На сколько процентов увеличилось количество проголосовавших к 22 часам по сравнению с проголосовавшими к 18 часам?
9. Найти все значения параметра а, при которых уравнение

имеет четыре различных корня.
10. В ромбе ABCD из вершины на сторону AD опущен перпендикуляр BE. Найти углы ромба, если

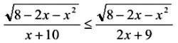
11. Решить неравенство

12. В трапеции с основаниями 3 см и 4 см диагональ имеет длину 6 см и является биссектрисой одного из углов. Может ли эта трапеция быть равнобокой?
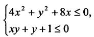
13. Решить систему неравенств

14. Рассматриваются всевозможные параболы, ветви которых направлены вниз, касающиеся оси OX и прямой 
Найти уравнение той из них, для которой сумма расстояний от начала координат до точек пересечения параболы с осями координат минимальна.
ВСТУПИТЕЛЬНОЕ ЗАДАНИЕ ПО ФИЗИКЕ
1. На первую треть пути автомобиль затратил четверть всего времени, а оставшееся расстояние он проехал со скоростью 40 км/ч. Какова средняя скорость автомобиля?
2. Рычаг с тремя грузами находится в равновесии. Масса правого груза 5 кг, левого – 1 кг. Найдите массу среднего груза, если массой остальных элементов конструкции можно пренебречь.

3. Ученик измеряет плотность тела, не подозревая, что оно изготовлено из равных масс двух материалов с плотностями 3 г/см3 и 6 г/см3. Какой результат он получит?
4. В воде плавает тело массой 1 кг и объемом 3 литра. Найдите выталкивающую силу и минимальную силу, которую надо приложить к телу, чтобы полностью погрузить его под воду.
5. Из материала с плотностью, вдвое большей плотности воды, изготовили полый шар объемом 8 литров. Найдите объем полости внутри шара, если он плавает в воде, погрузившись ровно наполовину.
6. В термос поместили 1 кг воды при температуре +50 °C и некоторое количество льда при температуре —20 °C. Сколько могло быть льда, если в итоге в термосе установилась температура 0 °C.
7. Найти показание амперметра в схеме на рисунке, если вольтметр показывает 6 В? Сопротивления резисторов указаны в Омах. Измерительные приборы можно считать идеальными.

8. Тело свободно падает с высоты 90 м. Разделить эту высоту на три части так, чтобы на прохождение каждой из них потребовалось одно и то же время.
9. Тело, имея начальную скорость V0= 1 м/c, двигалось равноускоренно и, пройдя некоторое расстояние, приобрело скорость V = 7 м/с. Какова была скорость тела на половине этого расстояния?
10. Груз массой m = 20 кг можно поднимать с помощью системы из подвижного и неподвижного блоков. С какой постоянной силой F надо тянуть веревку, чтобы за время подъема t = 0,5 c груз из состояния покоя достиг скорости V = 2 м/с? Массами веревки, блоков и трением в осях блоков пренебречь.

11. Шайба, брошенная вверх вдоль наклонной плоскости, скользит по ней и через некоторое время возвращается в точку бросания. При каком угле наклона наклонной плоскости шайба возвратится, имея втрое меньшую скорость, чем при бросании? Коэффициент трения скольжения между шайбой и наклонной плоскостью μ = 0,3.
12. Вокруг вертикально расположенного стержня вращается насаженный на него диск. На диске находится шарик, прикрепленный к стержню нитью длиной l и составляющей угол α со стержнем. С каким периодом должна вращаться система, чтобы шарик не отрывался от диска?

13. Деформация вертикально расположенной легкой пружины, удерживающей гирю, составляет х = 4 см. Чтобы увеличить деформацию пружины на 50 %, медленно надавливая на груз в вертикальном направлении, надо затратить работу А = 0,3 Дж. Найти жесткость К пружины.

14. Протон, пролетая мимо первоначально покоившегося ядра неизвестного химического элемента, отклонился на угол α (cos α = 4/15), потеряв 10 % своей скорости. Найти массовое число химического элемента.

15. Вертикальный цилиндрический сосуд сечения S = 10 см2 закрыт массивным поршнем. При подъеме сосуда с ускорением 2g объем газа под поршнем уменьшается в 1,5 раза. Найти массу поршня, считая температуру газа постоянной. Внешнее давление Р0= 105 Па. Трением поршня о стенки сосуда пренебречь.
16. В цилиндре под поршнем находится n = 2 моля идеального газа. Определить начальную температуру газа, если при сообщении ему тепла Q = 18 кДж объем увеличился в 2,5 раза. Молярная теплоемкость газа при постоянном давлении Ср = 21 Дж/моль К.
17. В закрытом сосуде находится воздух с относительной влажностью 60 % и температурой 27 °C. Какой станет относительная влажность воздуха в сосуде, если его нагреть на 73 °C? Давление насыщенных паров воды при температуре 27 °C равно 3,4 кПа.








