Текст книги "Криминология. Теория, история, эмпирическая база, социальный контроль"
Автор книги: Яков Гилинский
Жанр:
Юриспруденция
сообщить о нарушении
Текущая страница: 5 (всего у книги 33 страниц) [доступный отрывок для чтения: 12 страниц]
Помимо вышеназванной монографии В. В. Лунеева, анализ состояния и динамики преступности в России за два минувших столетия представлен в коллективной монографии «Девиантность и социальный контроль в России (XIX–XX вв.): Тенденции и социологическое осмысление».[125]125
Девиантность и социальный контроль в России (XIX–XX вв.): Тенденции и социологическое осмысление / Ред. Я. И. Гилинский. СПб., 2000.
[Закрыть] Поэтому мы остановимся лишь на некоторых важнейших, с нашей точки зрения, тенденциях. При этом следует учитывать, что на протяжении XIX–XX вв. неоднократно менялись границы государства, уголовное законодательство, система показателей уголовной статистики (в царской России – это, как правило, судебная статистика, в СССР и современной России – милицейская), что существенно затрудняет сопоставление данных. Заведомая неполнота статистики объясняется отсутствием сведений об осужденных волостными, инородческими и военными судами Российской империи, а также данных военной юстиции СССР и постсоветской России, «белыми пятнами» сталинского периода и т. п. И все же некоторые тенденции просвечивают сквозь туман уголовной статистики…
Основным источником сведений об осужденных являются «Своды статистических сведений о подсудимых, оправданных и осужденных по приговорам общих судебных мест, судебно-мировых установлений и учреждений, образованных по законоположениям 12 июля 1889 г. за… год». В табл. 3.3 представлена динамика количества осужденных в России за 1874–1912 гг. Мы наблюдаем постепенное возрастание числа осужденных; относительно устойчивый удельный вес женской преступности (в среднем 10–12 % от общего числа осужденных), преступности несовершеннолетних (в среднем 16–17 % с некоторым возрастанием к концу периода до 20–22 %) и рецидивной преступности (в среднем 17–19 % с максимальным разрывом от 15,2 до 22,5 %). Относительная стабильность демографических показателей и уровня рецидива на протяжении 38 лет позапрошлого столетия лишний раз свидетельствует о внутренних закономерностях развития преступности как социального феномена. Более того, и в современной России, спустя столетие, при совершенно изменившихся социальных, политических, экономических условиях, сохраняются на том же уровне доля женской (11–13 % в 1991–1994 гг.) и подростковой (14–17 % за те же годы) преступности при незначительном увеличении рецидивной (21–24 %).[126]126
Преступность и правонарушения 1994. М., 1995. С. 27.
[Закрыть]
Более показательными являются данные об убийствах. Сведения за 1909–1913 гг. свидетельствуют об их росте и высоких для своего времени показателях: число следствий по делам об убийствах в 1909 г. – 30 942 (осуждено по законченным делам около 7 тыс. человек), в 1910 г. – 31 113 (осуждено 7517 человек), в 1912–33 879 (осуждено 8134 человека), в 1913 г. – 34 438.[127]127
Гернет М. Н. Избранные произведения. М., 1974. С. 549–550.
[Закрыть]
Приведем некоторые данные о структуре преступности за 1909–1913 гг.[128]128
Гернет М. Н. Указ. соч. С. 549–550; Россия. 1913 год: Статистико-документальный справочник. СПб., 1995. С. 393–394.
[Закрыть] Среди 25 учитываемых видов преступлений первое место (по показателю «возникло следствие») занимают кражи – свыше 125 тыс. (1909 г.) – 167 тыс. (1913 г.), или 31–36 % от общего числа учитываемых статистикой преступлений. На втором месте со значительным отрывом от краж – преступления против телесной неприкосновенности – свыше 45,5 тыс. (1909 г.) – 43 тыс. (1911 г.), или 10–12 %. Далее следуют: насильственное похищение имущества (в отличие от краж – тайного похищения) – свыше 40–43 тыс., или 9–11 %; оскорбление чести – около 8 %; убийства – 7,3–7,7 % (очень высокий удельный вес для такого тяжкого преступления); поджоги, истребление имущества – 6,4–8 %, служебные преступления – около 3 %; против женской чести – также около 3 %; присвоение и растраты – чуть больше 1 %; мошенничество – 1 %; религиозные преступления – 0,6–0,7 %; государственные преступления (свыше 2 тыс. следствий) – 0,4–0,5 %.
Уровень преступности, по не очень полным и трудно проверяемым сведениям, составлял: в 1846–1857 гг. – 239; 1874–1883 гг. – 177; 1884–1893 гг. – 149; 1899–1905 гг. 229; 1906–1908 гг. – 271; 1909–1913 гг. – 274. Эти цифры нам еще пригодятся для оценки ситуации в советский и постсоветский периоды.
Некоторые данные о социально-демографическом составе осужденных приводились выше. Добавим к этому, что в 1913–1916 гг. отмечается резкий рост преступности несовершеннолетних в крупных городах: в Петербурге (Петрограде) количество дел в судах о малолетних выросло за эти годы с 1640 до 3217, в Москве – с 1514 до 3684, в Киеве – с 1132 в 1913 г. до 1703 в 1916 г. Доля 10–16-летних в общем количестве судимых за государственные преступления составляла в 1883–1890 гг. 0,8 %, 17–20-летних – 18,8, 21–25-летних – 35,4 %. По данным Е. Тарновского, различается вклад различных социальных групп в разные преступления. По кражам коэффициент криминальной активности рабочих в 250 раз превышал показатель хозяев, а по изнасилованиям и растлениям – сближался до 1:1. Высокий уровень преступности рабочих «против женской чести» (14 на 1 тыс. человек рабочих) уступает преступности священно– и церковнослужителей (15). Для купцов и приказчиков очень высок уровень мошенничества, подлогов и присвоений.[129]129
Гернет М. Н. Указ. соч. С. 281–283.
[Закрыть]
Таблица 3.3
Количество осужденных в Российской империи (1874–1912)

Как и в современной России, уровень городской преступности в целом был выше сельской. Так, в 1897–1914 гг. на 100 тыс. населения приходилось осужденных в городах – 97, в столицах – 72, в сельской местности – 37. Однако по тяжким насильственным преступлениям лидировало село. Эта закономерность сохранилась столетие спустя: и в наши дни уровень убийств и тяжких телесных повреждений (умышленное причинение тяжкого вреда здоровью) в сельской местности в 1,5–2 раза выше, чем в городах.
Понятно, что сведения за первые годы советской власти неполны и отрывочны (по отдельным губерниям). Так, в 1920 г. по 46 губерниям в народные суды (без трибуналов) поступило 1 248 862 уголовных дела, по ним было выявлено 881 933 обвиняемых, из коих осуждено 582 571 человек. Лишение свободы применяется пока еще ограничено и преимущественно к представителям бывших «эксплуататорских классов». В 1921 г. по 63 губерниям рассмотрено всеми судами 1,7 млн дел, осуждено 0,8 млн человек. В 1922 г., соответственно, рассмотрено 1,8 млн дел, осуждено 1,1 млн человек.[130]130
Золин П. М. Преступность в стране в 1909–1928 гг.: Сравнительная статистика // Советское государство и право. 1991. № 5. С. 112–118.
[Закрыть] В 1924 г. – 2 018 246 дел. С 1925 по 1928 г. имеются данные в целом по СССР. За эти годы были осуждены 3 739 196 человек. Всего же за первые 10 лет советской власти число осужденных приблизилось к 10 млн человек. Иначе говоря, уже был осужден каждый 15-й житель страны. И это – при минимальном количестве так называемых «контрреволюционных преступлений»! Вот когда началась призонизация (от англ. prison – тюрьма, т. е. «отюрьмовление») всей страны, приведшая с учетом последующих репрессий и не очень-то либеральной уголовной политики в постсталинские времена к тому, что сегодня не менее 15–20 % взрослого населения страны прошло через тюрьмы, лагеря, колонии…
Важно и другое – для сохранившихся любителей советского «порядка»: «С первых лет Октября появилась реальная опасность сращивания интересов преступности и правоохранительных органов на базе тотального расхищения формально обобществленной экономики».[131]131
Там же. С. 117.
[Закрыть] Только в 1920 г. по 79 губерниям сотрудниками милиции было совершено не менее 8 тыс. различных преступлений. Неслучайно уже 30 ноября 1922 г. ЦК РКП(б) издает циркуляр «О борьбе со взяточничеством».
В те же годы быстро растет и профессиональная преступность, закладывается фундамент организованной преступности (в 20-е гг. в виде банд, с начала 30-х гг. формируется сообщество «воров в законе»). «Группа профессиональных преступников увеличивается более, чем какая-либо другая категория, преступность становится уделом более или менее стойкой группы деклассированных элементов».[132]132
Гернет М. Н. Преступность за границей и в СССР. М., 1931. С. 85, 160.
[Закрыть]
Статистические данные о преступности в сталинский период никогда не публиковались. Лишь в последние годы мы получили возможность ориентировочно судить о «контрреволюционных преступлениях» и репрессиях органов НКВД и уголовной юстиции по отношению к «врагам народа». Однако даже после «открытия архивов» сведения о количестве репрессированных противоречивы и неточны. По некоторым, заведомо неполным данным, с 1918 по 1958 г. были осуждены за «контрреволюционные» («государственные») преступления 3 785 052 человека, в том числе к высшей мере наказания (расстрелу) 826 933 человека (не считая осужденных к иезуитским «10 годам лишения свободы без права переписки», что фактически означало – к расстрелу, и 16 009 человек «разницы» между различными отчетами ВЧК-ОГПУ-НКВД-МГБ-КГБ).[133]133
Лунеев В. В. Преступность XX века: Мировые, региональные и российские тенденции. М., 1997. С. 180; Он же. Политическая преступность // Государство и право. 1994. № 7. С. 107–121.
[Закрыть] Только за страшные 1937–1938 гг. были осуждены как «враги народа» (и члены их семей) 1 344 923 человека, из них 681 692 – к расстрелу. Кроме того, значительное число лиц было уничтожено «без суда и следствия» (они, конечно, не попали в статистические сведения). Наконец, огромное количество людей были высланы «в административном порядке» и погибли в нечеловеческих условиях мест поселения. Так, только в 1930–1931 гг. было выселено «кулаков» 1 803 392 человека. Всего же «борьба с кулачеством» затронула более 20 млн человек. На 15 июля 1949 г. значилось 2 552 037 переселенцев, на 1 января 1953 г. – 2 753 356.[134]134
Земское В. Н. Спецпоселенцы (По документации НКВД-МВД СССР) // Социологические исследования. 1990. № 11. С. 3–17.
[Закрыть]
При переписи населения 1937 г. «не хватило» 18 млн человек. Разумеется, организаторы переписи пополнили список расстрелянных.[135]135
Лунеев В. В. (1994) Указ. соч. С. 120.
[Закрыть] По данным А. Антонова-Овсеенко, только с января 1935 г. по июнь 1941 г. было репрессировано свыше 19 млн человек, из них в первый же год после ареста погибло (казнено, умерло, в том числе под пытками) около 7 млн человек. По мнению А. И. Солженицына, с 1917 по 1959 г. жертвами государственного терроризма стали 66,7 млн человек. Близкая к этому цифра – 61,9 млн человек (с 1917 по 1987 г.) – названа в книге Крессела.[136]136
Kressel N. Mass Hate: The Global Rise of Genocide and Terror. Plenum Press, 1996. P. 252–253.
[Закрыть] Во всяком случае, в СССР были уничтожены десятки миллионов невинных жертв, что означает геноцид со стороны правящей верхушки против своего народа.
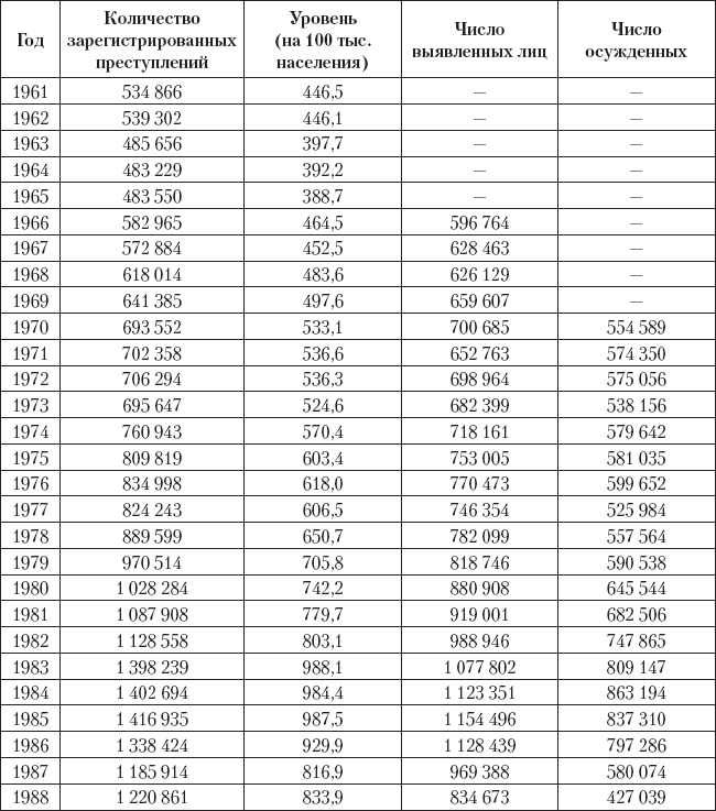
Значительно более полные, сопоставимые и интересные для нас, современников, сведения о зарегистрированной преступности в России имеются с 1961 г. Некоторые из них представлены в табл. 3.4. На основании этих данных, тоже далеко не полных, можно сделать ряд выводов.
Во-первых, явно выражено постепенное повышение объема и уровня преступности, что вполне отвечает общемировым тенденциям эпохи после Второй мировой войны.
Во-вторых, отмечается снижение объема и уровня преступности в периоды хрущевской «оттепели» (1963–1965 гг.) и горбачевской «перестройки» (1986–1988 гг.). То, что это не случайность, подтверждается позитивной динамикой в те же годы других социальных показателей (снижение уровня самоубийств, смертности, рост рождаемости и т. п.). Очевидно, прогрессивные реформы, направленные более (М. Горбачев) или менее (Н. Хрущев) на демократизацию общества, либерализацию экономики, приоткрывающие форточку или окно гласности, вселяют в людей надежду и свидетельствуют об их действительных чаяниях лучше, чем цены на колбасу и водку.
Таблица 3.4
Зарегистрированная преступность, число выявленных лиц и осужденных в России (1961 2006)


Источник: «Преступность и правонарушения. Статистический сборник». Ежегодники. М.: МВД РФ, МЮ РФ; «Состояние преступности в России». Ежегодники. М.: МВД РФ.
В-третьих, наблюдается резкий всплеск зарегистрированной преступности в 1989–1993 гг. (абсолютное количество преступлений и уровень по отношению к 1988 г. увеличились в 2,3 раза!). Это вполне объяснимо для периода бурных социальных, экономических, политических перемен при сохранении глубокого и всестороннего (тотального) кризиса в стране.
В-четвертых, социальный контроль над преступностью, деятельность системы уголовной юстиции все больше «не поспевают» за ростом зарегистрированной преступности. Об этом свидетельствует хотя бы то, что при росте числа преступлений с 1970 по 2006 г. в 5,6 раза, число выявленных лиц возросло всего в 1,9 раза, а число осужденных с 1970 по 2005 г. – лишь в 1,6 раза. Если же учесть высокую и, с моей точки зрения, все возрастающую латентность преступности, то разрыв между темпами ее роста и роста активности правоохранительных органов увеличивается многократно.
В-пятых, отмечается снижение показателей зарегистрированной преступности в 1994–1997 гг. Возможно, что в 1994–1997 гг. наступила некоторая стабилизация в динамике преступности, вызванная, в частности, достижением «порога насыщения» в предшествующие годы. Вместе с тем, есть серьезные основания полагать, что с 1993–1994 гг. началось массовое противозаконное сокрытие преступлений от регистрации. О росте искусственной латентности уже говорилось выше. Большинство отечественных криминологов также констатируют массовое сокрытие преступлений, начавшееся в 1993–1994 гг. Так, Л. Волошина пишет: «Из приведенных выше фактов вытекает очень опасное социальное следствие: чем шире разрастается латентность, тем легче манипулировать преступностью в ведомственных интересах, так как выборочно работая… с резервом латентных преступлений, проще повысить или понизить показатели… Современная уголовная статистика не дает государству и обществу адекватного представления о положении дел».[137]137
Волошина Л. А. Тяжкие насильственные преступления: статистика и реальность // Тяжкая насильственная преступность в России начале 90-х годов. М., 1996. С. 3–9.
[Закрыть] О массовом сокрытии преступлений от регистрации («соцсоревновательном методе») подробно пишет В. В. Лунеев.[138]138
Лунеев В. В. (2005) Указ. соч.; Он же. Преступность в России при переходе от социализма к капитализму // Государство и право. 1998. № 5. С. 47–58.
[Закрыть] Но даже сокрытие преступлений от учета не смогло надолго приостановить рост преступности.
Поэтому, в-шестых, в 1998–1999 гг. вновь отмечается рост преступности, так что в 1999 г. количество зарегистрированных преступлений впервые превысило 3 млн, а уровень впервые (после 20-х гг.) превзошел 2 тыс. (на 100 тыс. жителей). Некоторое сокращение показателей преступности в 2000–2004 гг. вновь «компенсировалось» ростом в 2005–2006 гг.
Как уже отмечалось, более точную картину дает динамика относительно менее латентных тяжких преступлений, таких как убийство, тяжкие телесные повреждения, разбойные нападения. Сведения о них представлены в табл. 3.5.
Таблица 3.5
Динамика некоторых преступлений в России (1985–2006)

Сведения, приведенные в таблице, позволяют сделать ряд выводов.
Во-первых, наблюдается интенсивный рост тяжких преступлений в 1989–1994 гг. Так, по сравнению с 1987 г. (наименьшие показатели эпохи «перестройки»), уровень умышленных убийств (с покушениями) к 1994 г. вырос в 3,5 раза, тяжких телесных повреждений – в 3,3 раза (при росте общей преступности за те же годы в 2,2 раза). Уровень грабежей за 1987–1993 гг. вырос в 5,9 раза, разбойных нападений – в 6,9 раза (при росте общей преступности за те же годы в 2,3 раза).
Во-вторых, после непродолжительного «затишья» 1995–1997 гг. возобновился рост тяжких преступлений в 1998–2005 гг.
В-третьих, сам уровень (на 100 тыс. населения) умышленных убийств (около 20 в 1993, 1996, 1997, 2006 гг. и свыше 20 в 1994–1995, 1998–2005 гг.) чрезвычайно высок по сравнению с мировыми и особенно – западноевропейскими данными (ср. с табл. 3.2). При этом сведения милицейской статистики, приведенные выше, далеко не полны: в ней не учитываются преступления, квалифицированные по иным статьям УК, кроме «умышленные убийства» (ст. 102, 103 УК РСФСР 1960 г., ст. 105 УК РФ 1996 г.). Неудивительно, что по данным медицинской статистики (она же – официальная государственная статистика, передаваемая в международные организации – ООН, ВОЗ), уровень смертей от убийств значительно выше. Так, по данным медицинской статистики,[139]139
World Health Statistics. Annual. Geneve: World Health Organization, 1997; Российский статистический ежегодник. M., 1995.
[Закрыть] уровень смертей от убийств составил: в 1992 г. – 22,9 (по милицейской статистике уровень убийств – 15,5), в 1993 г. – 30,4 (по милицейской статистике – 19,6), в 1994 г. – 32,3 (вместо 21,8), в 2002 г. – 30,8 (вместо 22,4), в 2003 г. – 29,5 (вместо 22,1). Наконец, не учитывается количество убитых среди «пропавших без вести» и не обнаруженных, а эта цифра составляла во второй половине 90-х гг. свыше 25 тыс. человек ежегодно (конечно, не все они убиты, но, вероятно, значительная часть).
В-четвертых, я бы отметил еще одно обстоятельство. Наряду с уровнем убийств, важным (и печальным) индикатором социального благополучия/неблагополучия служит уровень самоубийств. При этом объемы и уровни убийств (результат агрессии вовне) и самоубийств (агрессия против себя) находятся в определенной взаимосвязи.[140]140
Подробнее см.: Гилинский Я., Юнацкевич П. Социологические и психолого-педагогические основы суицидологии: Учебное пособие. СПб., 1999. С. 49–52.
[Закрыть] Предлагалось рассматривать сумму уровней убийств и самоубийств как интегральный индикатор уровня социальной патологии.[141]141
Смидович С. Г. Самоубийства в зеркале статистики // Социологические исследования. 1990. № 4. С. 74–79.
[Закрыть] Тогда, например, уровень социальной патологии увеличился в России с 1988 по 1995 г. с 34,1 (9,7 + 24,4) до 72,2 (30,8 + 41,4), т. е. более чем в 2,1 раза за 7 лет. За те же годы этот показатель уменьшился в Австрии с 25,6 (1,2 + 24,4) до 23,3 (1,0 + 22,3), в Дании с 26,8 (1,1 + 25,7) до 18,9 (1,2 + 17,7), в Канаде с 15,6 (2,1 + 13,5) до 15,0 (1,6 + 13,4), в Швеции с 20,3 (1,4 + 18,9) до 16,2 (0,9 + 15,3) и т. п. Мною был применен «индекс насилия» – частное от деления уровня убийств на уровень самоубийств в качестве одного из возможных показателей социального благополучия/ неблагополучия, а также степени «цивилизованности/социальности», если заимствовать терминологию А. Зиновьева.[142]142
Подробнее см.: Социальная философия Александра Зиновьева // Вопросы философии. 1992. № 11. С. 34–70.
[Закрыть] При этом я исходил из того, что: а) убийство и самоубийство – два проявления агрессии; б) оба эти явления социально обусловлены и имеют относительно низкую латентность; в) оба социальных феномена представляются наиболее экстремальными способами разрешения социальных и личностных конфликтов; г) самоубийство служит более «цивилизованной» и достойной человека реакцией, нежели убийство. В результате оказалось возможным эмпирически (по многолетним данным, публикуемым Всемирной организацией здравоохранения – ВОЗ[143]143
Ежегодники: World Health Statistics. Annual. World Health Organizations. Geneva.
[Закрыть]) выделить, конечно же условно, четыре группы стран: с низким показателем соотношения уровней убийств и самоубийств (0,03–0,10) и, соответственно, высокой степенью «цивилизованности» при низкой «социальности» (Австрия, Венгрия, Дания, Норвегия, Франция, ФРГ, Швейцария, Япония и др.); со средним показателем рассматриваемого индекса (0,11–0,39) и средней «цивилизованностью – социальностью» (Болгария, Греция, Канада, Польша и др.); с высоким показателем этого индекса (0,40–0,99) – низкая «цивилизованность», высокая «социальность» (Аргентина, Россия, США, Уругвай и др.); с очень высоким, экстремальным значением индекса (> 1). Последний случай означает наличие экстремальных социально-политических условий, включая состояние войны (Мексика, Пуэрто-Рико, Эквадор и др.). Динамика рассмотренного показателя в России представлена в табл. 3.6.
Приведенные в этой таблице данные показывают, как Россия после 1988 г. перешла из группы стран со средним значением индекса насилия в группу стран с высоким показателем. Следует особенно отметить нарастание этого индекса насилия с 2000 г. В отдельных регионах, например в Санкт-Петербурге, начиная с 1993 г. этот показатель превысил 1 (1985 г. – 0,32; 1990 г. – 0,45; 1992 г. – 0,81; 1993 г.– 1,15; 1994 г.– 1,25; 1995 г.– 1,14; 1998 г.– 1,11).
Рост уровней убийств и самоубийств в России, резкое увеличение интегрального показателя социальной патологии и индекса насилия свидетельствуют, очевидно, о глубоком социально-экономическом кризисе страны.
Данные о некоторых социально-демографических характеристиках лиц, совершивших преступления, представлены в табл. 3.7.
Эти самые общие сведения нуждаются в конкретизации по отдельным видам преступлений.
Доля женщин в целом сокращалась с 1987 г. (21,3 %) до 1993 г. (11,2 %) с последующим возрастанием до 17,8 % в 2002 г. и вновь некоторым сокращением. Разумеется, вклад женщин в преступность неодинаков для различных преступлений. Так, за рассматриваемый период женщины совершили убийств – 9,9 % (1990) – 13,4 % (1995); причинений тяжкого вреда здоровью – 7,2 % (1990) – 15,4 % (2006); 4–9 % хулиганских действий; 4–6 % разбойных нападений; 6–8 % грабежей; 9–13 % краж; 38–47 % присвоений (растрат) вверенного имущества; 25–34 % дачи или получения взятки; 7–17 % преступлений, связанных с наркотиками.
Таблица 3.6
Уровень смертности от убийств и самоубийств в России (1988 2003)

Источники: Демографические ежегодники России // Вопросы статистики. 2004. № 2. С. 33.
По возрасту прослеживается отчетливая тенденция к сокращению доли несовершеннолетних в общей массе лиц, выявленных как совершившие преступления, с 17,7 % в 1989 г. до 10,2 % в 2000 г. с последующим незначительным ростом. Отмечаются пониженные темпы роста преступности несовершеннолетних по сравнению с темпами роста общей преступности. Если учесть, что та же тенденция просматривается по отдельным видам преступлений (по кражам доля несовершеннолетних в 1988 г. составила 40,6 %, в 2006 г. – 17,8 %, по грабежам соответственно 40,6 и 23,3 %, по разбойным нападениям – 22,6 и 17,1 % и т. п.), то можно сделать гипотетический вывод об относительно лучшей адаптации подростков к резко меняющимся условиям социального бытия. Другой вопрос – каковы способы адаптации? Известно, например, что подростки и молодежь составляют главный резерв и действующие кадры организованной преступности, которая благодаря очень высокой латентности не находит отражения в статистике. Кроме того, фиксируется повышение удельного веса несовершеннолетних в тяжких насильственных преступлениях: по убийствам с 3,4 % в 1988 г. до 6,9 % в 2005 г., по тяжким телесным повреждениям (причинение тяжкого вреда здоровья) за те же годы с 3,4 до 8,2 %.
Таблица 3.7
Социально-демографический состав выявленных лиц, совершивших преступления в 1987–2006 гг. в России, в %

* С 1993 г. – наркотического и токсического возбуждения.
По социальному составу наблюдается резкое сокращение доли рабочих (от 53,5 до 20,3 %). Очевидно это, как и сведение на нет доли колхозников – работников сельского хозяйства (от 5,2 до 0,6 %), объясняется размыванием и сокращением этих классов бывшего социалистического общества. Столь же объяснимо резкое увеличение удельного веса лиц, не имеющих постоянного источника доходов (от 11,8 до 59–60 %), и набирающий темпы рост доли лиц, официально признанных безработными (учет ведется с 1993 г. и к 2005 г. их удельный вес вырос с 2,9 до 6,3 %). Динамика фермеров и предпринимателей незначительна, без выраженных тенденций. Доля учащихся сокращается и в силу уменьшения их числа в популяции и по причинам, общим для подростков. Стабильно низка с тенденцией к сокращению доля служащих. Однако при этом следует делать поправку на очень высокую латентность должностной и коррупционной преступности.
Как всегда, во все времена и во всех странах, относительно устойчива доля рецидивной преступности. Это удивительное постоянство при всех изменениях уголовной юстиции послужило одним из обоснований «кризиса наказания». Подробнее об этом – в заключительной (IV) части нашей монографии.
В целом прослеживается тенденция роста «пьяной» преступности в 1987–1994 гг. (с 28 до 41 %) с последующим снижением до 19,5 % в 2006 г. Особенно высок удельный вес убийств (71–78 %), причинения тяжкого вреда здоровью (74–80 %), изнасилований (70–78 %), хулиганства (72–75 %), совершенных в состоянии алкогольного опьянения. Заметим, что до 1917 г. удельный вес «пьяной» преступности был значительно ниже (в среднем 11 %, по данным М. Н. Гернета), равно как и в 20-е гг. XX столетия (6–15 %).
Незначительна доля лиц, совершивших преступления в состоянии наркотического и токсического опьянения (0,2–0,9 %) или же страдающих наркоманией (в среднем 0,2 %). Только привычной толерантностью (терпимостью) к потребителям алкогольных напитков и официальной идеологией «войны с наркотиками» можно объяснить столь «несправедливое» отношение официоза и mass-media к потребителям наркотиков (образ хищного преступника) по сравнению с традиционными для России пьяницами.
Более подробные сведения о различных видах преступности в России будут представлены в соответствующих главах части III настоящей книги.








