Текст книги "Тайна рождения славян"
Автор книги: Владимир Курбатов
Жанры:
Историческая проза
,сообщить о нарушении
Текущая страница: 11 (всего у книги 28 страниц) [доступный отрывок для чтения: 11 страниц]
Народная этимология производит происхождение улицы Угрешской от Николо-Угрешского монастыря, основанного в 1380 году Дмитрием Донским и находящегося в урочище реки Угреша. «….моляся соверши молебное пение с воинством своим, и в то же время сам Благоверный Великий Князь Димитрий Иоаннович с Благоверными Князи и Боляры нарече оное место прозванием Угреша, еже зовется тем именем до сего дне». К этому преданию во многих источниках добавляется радостное восклицание Дмитрия Донского при виде чудесной иконы: «Сие вся угреша сердце мое!» («Это все согрело мое сердце!») [63].
Известный специалист по топонимике Е. М. Поспелов пишет: «Название урочища обычно связывают с рекой Угреша. Возможность былого существования этой речки косвенно подтверждается наличием гидронимов Угра, Угричка и Угреша в верховье бассейна Оки; Угриня в бассейне Западного Буга, Угр в бассейне Западной Двины, Ugra в Литве. Размещение этих гидронимов свидетельствует о вероятности их балтийского происхождения» [64].
Поскольку речь идет о существовании топонимии, то попытаемся создать ее полную картину. Действительно, топонимов «угр» существует достаточно много, и это не только гидронимы. Они расположены в Восточной, Центральной и Южной Европе.
Наибольшая плотность фиксируется в виде локального массива на Западной Украине: Угриничи, Угринцево, Угринковце, Угры и др. (карта № 26).
В центральной части Восточной Европы расположены три группы топонимов, образующих ветви. Северная начинается селением Угреватое, далее следует Угрево, а за Волгой расположилась Угренга. Средняя начинает формироваться в Смоленской области в верховьях Днепра топонимом Угрино, но главное, что на ней расположены наши базовые объекты – река Угра и улица Угрешская. На начальных стадиях несколько топонимов отделились от нее и направились на юг по границе Украины и России.
Южный массив представлен в виде разветвляющейся прямой. Он начинается с территории Венгрии топонимами Ugrizoll и Ugrosz, проходит через центр Сербии (Ugrinovac Ugrinovci, Ugriniči). От него имеются ответвления в Болгарию – Ugrchin и Хорватию – Ugrinič, Ugrice. Зафиксирован единичный ойконим Ugrigno в Италии.
Приведенные данные показывают, что «угр»-топонимы имеют более широкое распространение, чем это считалось ранее. Предположения о финно-угорском происхождении гидронима Угра лишены оснований. Так, слово «река» звучит в различных языках следующим образом: jogi – йок (карел.), joki – йоки (фин.), jogi – йоги (вепс.), jõgi – йыги (эст.), егк – деги (саам.), йхть (морд.), шур (удм.), вӱд (мар.). Как видите, даже отдаленных соответствий не наблюдается. Наконец, это является примером распространенной, но ошибочной практики подмены ономастических категорий (топонимов) географическими (река), о которой мы говорили выше. Имеет право на жизнь гипотеза о тотемном происхождении названий от представителя ихтиофауны – угря. Однако это актуально только для России и определенной степени для Венгрии. Так, «угорь» на болгарском змиорка, на сербском jегуЉа, на итальянском Eеl, на венгерском angolna, на чешском uhor, на польском tradzik.
Характерно, что приведенные топонимы расположены преимущественно в славянских странах или странах со славянской предысторией (Венгрия, Румыния). Поэтому значение основы «угр» следует искать в славянских лексиконах: праслав. *ǫgъrinъ (др. – рус. огринъ); укр. Вугор; серб-хорв. ýгор; ст. – слав. Ѫгринъ; болг. ýгрин; словен. унгарци; чеш. vogǝr, vogrin; словацк. uher, uhor; плск. węgier, węgrzyn. Современное слово «венгр» пришло к нам из литовского Veñgras, связанное с польским Węgier. В то время как самоназвание звучит как mаgуаr(ok). В западных языках это, как правило, ungar [5].

Карта № 26. Топонимия «угр – ugr»
Следовательно, топонимы «угр» могли возникнуть как внешние обозначения угорских поселений. Этимологизация предполагает соотнесение топонимической картины с базовыми историческими событиями. Угры прошли побережьем Черного моря и, согласно летописям, «В год 6406 (898). Шли угры мимо Киева горою, которая прозывается теперь Угорской, пришли к Днепру и стали вежами: ходили они так же, как теперь половцы. И, придя с востока, устремились через великие горы, которые прозвались Угорскими горами, и стали воевать с жившими там волохами и славянами». «…По сихъ бо придоша печенизѣ, и пакы идоша угри черни мимо Киевъ послѣже при Ользѣ…» При Екатерине II была отчеканена памятная медаль «В память мирного прохода угр мимо Киева» в период княжения Игоря (Олега). Далее они осели в Трансильвании и оттуда вторглись в Среднедунайскую низменность [5].
Согласно приведенным топонимическим данным, после Киева, перед тем как перейти Восточные Карпаты (Угорские горы), угры осели в Галиции и Волыни. Данный район не был пройден на рысях. Здесь долго стояли, поэтому появились ойконимы в виде плотного локального массива. Со временем их жители были ассимилированы и двинулись на восток в общей массе славянского переселения. Путь лежал через Белоруссию (Угры малые). Далее дороги разошлись. Одна ветвь двинулась на Верхнюю Волгу, вторая – в центр Восточной Европы. Перенос топоосновы «угр» стал результатом традиции, автоматически применяемой для обозначения не только ойконимов, но и гидронимов. Так и возникла река Угра.
Поначалу угорские поселения в Венгрии были достаточно редкими. Продолжали вести кочевой образ жизни и использовали славянские и валашские деревни. Поэтому проживавшие там славяне до того, как угры их вытеснили, успели дать характеристику всего двум топонимам. Позднее венгры их фонетику несколько подкорректировали.
Мадьярская экспансия была продолжена на юг. «И стали угры воевать с греками и попленили землю Македонскую до самой Селуни». Военные операции были сопряжены с миграциями населения, следствием чего явилась цепочка топонимов. Дунай перешли в районе Сингидуна. Поселения были угорские, а автором названий являлась славянская среда, уже сформировавшаяся к тому времени. Сведения летописей хорошо соответствуют топонимической картине. Македонией в то время именовалась достаточно обширная территория, захватывающая значительную часть современной Сербии. Под «землей Фракийской» подразумевалась Болгария. Вероятно, некоторые войсковые соединения доходили до Солуни. Из Хорватии одна группа переправилась в западную Адриатику.
Таким образом, с помощью континентальной топонимики нам удалось отсеять основную массу этимологических гипотез, касающихся реки Угра, и сделать вывод, не имеющий альтернатив. Лингвистическую проблему помог решить нелингвистический метод. С помощью топонимии «угр» реконструирована полная картина угорских расселений в славянской среде.
* * *
Приведенные данные позволяют получить предварительные представления о путях славянских расселений в Западной Европе. Причина состоит в ограниченном количестве информации, получаемой при использовании топооснов. Особенно это касается южного направления, где произошла смена этнической среды (Австрия, Румыния, Венгрия), – проблема идентификации маршрутов встречает значительные трудности. Имело место вымывание топонимов, как естественное во времени, так и принудительное.
С другой стороны, относительно малочисленные родоплеменные образования, которые они отражают, создавали на столь коротком пути ограниченное количество топонимов, а сильные коллективы при прохождении этого расстояния за один сезон успевали даже переправиться через Дунай и следов не оставляли. Оседали слабеющие общности, потерявшие миграционный потенциал, сил у которых хватало лишь для того, чтобы создать и поддерживать поселение. Поэтому с целью увеличения объема информации существовала необходимость в проведении дополнительных исследований с использованием топонимических фрагментов иного рода.
1.2. Районы формирования и миграции этно-диалектных групп. Топонимика формантовКак словообразующая морфема форманты бывают характерными не только для языка определенного народа, но и для его диалектов, говоров. Они возникают в процессе дифференциации языков, обусловленных общественно-историческими процессами. Наряду с основами форманты существуют в качестве характерной составной части топонима. Они проявляются в зонах расселения крупных субэтнических сообществ. Нидерле считает, что форманты – ici, – iči, – ice являются патронимическими окончаниями, обозначающими потомков одного рода, происходящего от общего предка. То есть они образованы от имени собственного главы разделившейся семьи. В то же время – ov, – ova, – ovo, а в женском роде – in, – ina, – ino представляют собой посессивные форматы. В таком случае следовало бы ожидать существования топонимиконов, состоящих исключительно из имен собственных. К тому же следует отметить, что патронимия в большом количестве появляется лишь в XII–XIII веках, когда расселение славян на западе было уже давно завершено [5]. Как мы увидим далее, это не имеет места. С предположением Нидерле можно согласиться лишь в том случае, если в качестве эпонимов предполагать тотемных предков.
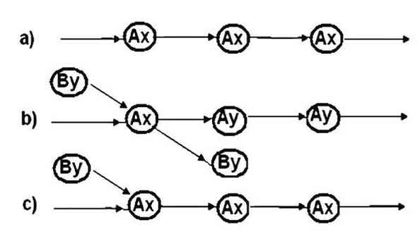
Поскольку форманты находятся в сочетании с различными топоосновами, то объем получаемой информации с их участием резко возрастает. С механизмом переноса топоосновы мы уже познакомились в [11 и 37]. Он заключается в ее передаче от населения предыдущего ойконима к последующему, представленному различными поколениями одной и той же общности (рис. 5-а). Этот процесс имеет характер традиции, заимствуемой новой генерацией от своих предков еще в точке старта очередного миграционного скачка. Он развивается в рамках сообществ, связанных кровными родственными узами, чаще всего на основе образа тотемных божеств, или, по крайней мере, их фикции.
Каким образом передается топоформант? Имеется ограниченное количество примеров, когда он «путешествует» совместно с топоосновой в форме неизменяемого топонима (Козловка, Козлов, Липовка) [11]. В большинстве случаев формантная часть не является стабильной. Как было показано в [11], она оказывается чувствительной к этническим контактам, вливанию в мигрирующее сообщество инородной компоненты. Это и обуславливает замещение старого форманта на новый. При этом внедряющееся сообщество находится на вторых ролях. Поэтому механизм переноса формантов по сравнению с топоосновами существенно отличается. Они как бы меняют «хозяев», переходя от одной основы к другой. Таким образом, топонимия формантов возникает как результат взаимодействия коллективов, принадлежащих к разнородным этническим и субэтническим языковым группам.
Далее мы подробно рассмотрим механизм распространения формантов. Могут быть предложены два основных случая. Топоним Ах «встречается» с топонимом Ву (здесь А и В – топоосновы, х и у – форманты) (рис. 5). При этом происходит замещение форманта «х» на «у». Ву остается без изменений (случай «b»). Возможно полное поглощение носителей одного из ойконимов другим (случай «с»). Прочие варианты являются сочетаниями «а – с».
Если рассматривать этот процесс детально, то на первой стадии происходит слияние носителей двух топонимов Ах и Ву с образованием единого сообщества Ах … Ву (Рис. 6-b), в котором носители основы А воспринимают основу «хозяев» В, но при этом сохраняют свой формант х (рис. 6-с). Если эти компоненты расходятся, то появляется индивидуальный топоним Вх (или Ау, как на рис. 6-d). Он снова может войти в альянс с исходным Ву и конвертировать его в Вх (Рис. 6e – 6i).

Рис. 5. Схема переноса индивидуальных топоформантов

Рис. 6. Детальный механизм замещения форматов
Можно рассмотреть другие индивидуальные варианты, общий смысл которых остается неизменным. Механизм массированного переноса топоформанта одного типа, например, q в топониме Fq, заключается в последовательном замещении на него формантов присутствующих во «встречных» топонимах (Ax, By, Cz, Dp). В результате возникают топонимы со старыми топоосновами, но с новым формантом Aq, Bq, Cq, Dq. Основа F при этом может приобрести любой формант (i) или оставить за собой исходный q (рис. 7). Представленные механизмы допускают, что количество формантов одного рода в зависимости от конкретных обстоятельств может увеличиваться спонтанно. Попросту говоря, при должном уровне репродуктивной активности от смешанных браков носители конкретного форманта, появившись на определенной территории в ограниченном числе, начинали размножаться, используя в качестве «пищи» присутствующие здесь топонимы. Фактически топонимика формантов отражает перемещения такой категории мигрантов, как «подселенцы».
Данная схема является сугубо принципиальной, так как фактические направления распространения изоним могут быть самыми разными, но чаще всего параллельными, и отражать некое глобальное переселение народа или одну из его магистралей. Представленный механизм характерен для случаев долгосрочных миграций. На коротких расстояниях может проявляться еще один случай, заключающийся в «почковании» малых общностей от крупных коллективов, переселяющихся с территорий, входящих в сферу определенного диалекта или говора (рис. 8). По сути дела, это конгломерат родоплеменных единиц, переносящих различные топоосновы, но единый формант. Такая ситуация идеализирована, но наглядна. Эта стихийно сложившаяся масса не была объединена никакими управляющими началами, кроме подсознательных стадных инстинктов, «а мы как все», возникших на определенной территории в момент исхода. Далее будут рассмотрены топонимии различных формантов.

Рис. 7. Массированный перенос топоформантов

Рис. 8. Образование топонимов при «почковании» мигрирующей общности
Топонимы «ica» – «ица» заполняют Словакию и Польшу (карта № 27). Несколькими топонимами этот массив проникает в Германию (Cerkwica, Kshuswica, Goramsica, Luzica, Niwica и др.). В Чехии таких представителей всего несколько: Hlavica, Bistrica, Orlica, Zlobica. Распространение на восток, граница которого проходит по Литве, Минску, Западным Карпатам и Молдавии, весьма несущественное. Имеется определенное количество объектов в Румынии и Венгрии. Страны экс-Югославии ими покрыты весьма плотно. В Болгарии интенсивность ослабевает.

Карта № 27. Топонимия форманта «ica – ица»
В данном случае заслуживают внимания территории Западной Украины и Румынии, где обнаружен ряд топонимов «ica». Важным в рассматриваемом аспекте является то обстоятельство, что они формируют явные полосы и цепочки. Мощный отток наблюдается в районе стыка границ Словакии и Польши в юго-восточном направлении. Его формируют Ломница, Кружельница, Шодница, Коросница, Клодница и др. На севере Молдавии у поселения Глина Ямица этот поток разветвляется. Одна ветвь (Тибрица, Лопатица, Звездочица) следует на юг в устье Дуная, другая движется на юго-запад по долине реки Олт. В ее среднем течении происходит изменение направления на юго-восточное, идущее на Бухарест. В среднем течении Дуная на левом берегу имеется населенный пункт с примечательным названием Panonica. Можно было бы полагать, что он имеет местное происхождение, естественным образом связанное с древним названием части Венгрии – Паннония. Однако в Боснии мы находим озеро с таким же именем. Вероятно, славяне, имея информацию о Паннонии и придя в эти места, назвали поселение этим именем.
Следами этого передвижения являются возникающие в Венгрии у границы с Хорватией Karasica, Gurovica, Gorica, Sugovica, Bodvica (зона А на карте). Это говорит о том, что оседать начали еще до форсирования Дуная. Вероятнее всего, миграция проходила по его долине с выходом на правый берег. Этот путь могли проходить за один сезон. Поэтому количество топонимов не столь высоко.
Таким образом, носители формантов «ica» двигались в земли Империи исключительно из Словакии и Южной Польши двумя путями: через Паннонию, форсируя Дунай в его среднем течении, и через Буковину, Поднестровье в Румынию. Судя по высокой плотности топонимов в республиках экс-Югославии, интенсивность первого потока была ощутимо выше. Для другой части мигрантов земли не только Румынии и Молдавии, но и Болгарии оказались транзитными, а окончательное оседание произошло в Македонии и Албании.
Из приведенной карты следует, что зарождение топонимов «ica» произошло на территории Словакии и юго-востоке Польши. Отсюда их шлейф распространился на север и восток. Естественной преградой для роста его ядра стала Висла. Крупные группы населения через Дунантуль переместились на Балканы, через Буковину шел весьма слабый поток.
Топонимы с форматом «ес» (ец) являются одними из широко распространенных в славянском мире. Однако в соответствии с обозначенными задачами объектом нашего внимания будут страны Западной Европы.
На карте № 28 представлена топонимия этого форманта. Объекты интенсивно расположены в славянских странах Центральной Европы. В странах Балкан плотность топонимов в среднем гораздо ниже, за исключением Словении и смежной территории Македонии, Сербии и Албании. Она аномально высока на стыке границ Словении и Хорватии. В Австрии, Румынии и Греции встречаются единичные представители.
На этом основании можно сделать вывод, что имел место перенос форманта «ес» на Балканы. Но как пролегал этот маршрут? Для этого рассмотрим топонимы, которые были обнаружены на территории Венгрии. На левом берегу Дуная расположены Kopec, Dobrogec. Уже в Хорватии эту цепочку продолжают Malibec и Kozarec, а сразу на другом берегу – Kaletinec и Dobrec. С этой точки зрения на фоне относительного разреженного окружения начинается широкий уплотненный массив, распространяющийся на юг через Албанию вплоть до Греции. Еще одним селением на венгерской территории является Bordec. Он находится непосредственно у границ со Словенией.
Если это славянские топонимы, то они могут отражать путь на юг. Kopec на чешском означает пригорок, склон, бугорок, но это поселения. Такие случаи в топонимике известны, они отражают традицию в переносе названий, возникших совершенно в иных местах. С такими примерами мы еще встретимся. Славянская принадлежность Dobrógec вытекает из фонетики и семантики, а также подтверждается наличием топонима Dobrec с той же основой, продолжающего эту траекторию. Для ойконима Bordec приемлемых значений в венгерском и славянских языках не обнаружено. Наиболее фонетически близким вариантом является слово «бордей» – землянка, хижина, трущоба (блг.). Полагая, что это может быть устаревшая лексема, уже вышедшая из оборота уже не существующая в словарях, мы решили поискать ее в топонимиконах других стран. Являясь консервативными, они бесстрастно хранят в себе следы былых явлений, включая имена неизвестных тотемных богов. Действительно, в Польше мы находим Bordichov и Bordzilovka, а в Словакии Вorda и Вordovice, а в Чехии и Словакии существуют топонимы Kopec.

Карта № 28. Топонимия форманта «ес»
Переселение носителей формантов «ес» происходило с территории Чехии и Словакии, а также Польши. Путь пролегал по левобережью Дуная, который они перешли в районе Нови Сад. Носители топоосновы Вordес сделали это еще раньше и вышли в направлении Загреба южнее Балатона. Интенсивное оседание произошло в западной части Хорватии и Словении. Основной поток двинулся в Боснию, откуда перетек в Герцеговину, Македонию и Албанию. От него началось рассеивание в восточном направлении.
Полученная топонимия позволяет сделать еще один важный вывод. Судя по плотности топонимов, формирование форманта «ес» произошло в Западной Чехии. Оттуда он распространился на Словакию и Польшу.
Топонимия в центральноевропейских странах бедна. В качестве единичных примеров можно привести Velika, Ceskasika в Чехии, Derksika в Словакии и Veronika в Польше. Наблюдается расширение на Белоруссию и Прибалтику. Плотность топонимов в России также невелика и распределена относительно равномерно. Основной массив развернут на Балканах, практически во всех республиках бывшей Югославии. В Австрии, Венгрии и Румынии присутствуют единичные топонимы (карта № 29). Это обстоятельство практически не дает возможности проследить пути переселения носителей «ika» на юг.
Для того чтобы это выявить, был использован метод топонимического отклика. Оказалось, что идентичные объекты в центральноевропейском и южном массивах имеются. Это Veronika в Польше и Veroniči в Сербии, горы Polednika также в Польше и Polednik в Боснии. Особенно представительный отклик имеется для топонима Velika в Чехии. Его близнецы расположены в Словении, Боснии, Хорватии, Сербии, Македонии, Болгарии и даже в Греции. Подобным образом мы определяем только районы исхода, однако отсутствие промежуточных топонимов не позволяет нам сделать однозначный вывод.

Карта № 29. Топонимия форманта «ika». Топонимы – трассеры «мaz»
Наиболее отдаленным объектом «ika», проникшим в Грецию, является селение Mazeika (Мазейка). Славянская фонетика не вызывает сомнения. Достаточно сказать, что село с подобным названием существует в Липецкой области. Попытаемся отследить названия с этой основой. Они имеются в Польше, занимая преимущественно ее восточную часть, но связей с южным массивом не просматривается. В центральной части Чехии мы встречаем название Mazelov, а на границе со Словакией Mazur. Ближе к Венгрии на реке Ипель примостился его «однофамилец» Mazsur. Разница состоит в транскрипции. Следующий топоним в южном направлении мы встречаем на правом берегу Дуная, только теперь он выступает уже в венгерском «обличии» – Mazaszazs. Путь продолжается в Боснии и Герцеговине селением Mazetichi и Mazelas в Македонии.
Что означает корень «мaz»? Во всех славянских языках он имеет семантику, связанную с мазью, мазанием. В польском, кроме того, мaż – чумацкий воз, а мazur – мазурка, танец. Мазуры – этническая группа в Восточной Пруссии, возникшая при переселении туда мазовшан из Польши. Кроме того, Мазур в этих краях – часто встречающаяся фамилия. Не исключено, что источником появления этого территориального этнонима была Чехия.
Выявленный маршрут переселения носителей «мaz»-топонимов приводит нас в самую гущу массива на Балканах. Здесь после долгих странствий он приобрел новый формант «ika» и воспроизвел его в Греции. Этот факт является лишним свидетельством того, что основной поток переселенцев шел именно сюда. Здесь они начинали оседать и интенсивно вступать в меж(суб)этнические контакты. Происходило дробление крупных исходных общностей, шел интенсивный обмен формантами, при этом росла численность населения. Все это приводило к формированию крупных топомассивов.








