Текст книги "Образ в системе психической регуляции деятельности"
Автор книги: Наталья Завалова
Соавторы: Наталья Завалова,Владимир Пономаренко
сообщить о нарушении
Текущая страница: 8 (всего у книги 18 страниц)
3.2. Психический образ. регулирующий действия летчика в автоматическом режиме управления.
В автоматическом режиме летчик избавлен от необходимости выполнять управляющие движения – отслеживание директорных сигналов. Он должен визуально контролировать точность автоматического пилотирования и быть готовым на определенном этапе полета, а также при отказах автоматики взять управление на себя. В данном случае отпала одна из причин редукции образа —загруженность операцией слежения и в то же время появилась возможность контролировать многие приборы, переключить внимание на их показания. И действительно, внешняя картина визуального контроля приборов изменилась по сравнению с директорным режимом, она приблизилась к операциональной структуре восприятия показаний приборов в обычном режиме пилотирования, в котором к летчику не поступают обобщенные командные сигналы (табл. 3.4.).
Таблица 3.4. Характеристика сбора информации с пилотажных приборов в разных режимах управления
| Режим управления | Доля времени фиксации взгляда на приборе, % | Продолжительность перерывов фиксации взгляда на приборе, с | КПП | НПП | УС | Вар | Вые | КПП | НПП | УС | Вар | Вые |
| Ручной | 57 | 23 | 6 | 9 | 5 | 0.9 | 1.9 | 5,1 | 9,1 | 7.7 | ||
| Директорный | 76 | 12 | 5 | 3 | 4 | 0,6 | 4,6 | 8.0 | 16,6 | 12,5 | ||
| Автоматический | 46 | 18 | 15 | 10 | 11 | 1.4 | 3,1 | 4,3 | 8,2 | 5,8 | ||
| Разница между ручным и директорным | —21 | +11 | +1 | +6 | +1 | +0,3 | —2.7 | –2,9 | —7,5 | –4,8 | ||
| Разница между ручным и автоматическим | +11 | +5 | —9 | 1 | —6 | —0.5 | —1,2 | +0,8 | +0,9 | +1.9 |
Как видно из табл. 3.4, характеристики сбора информации в автоматическом полете меньше отличаются от тех, которые наблюдаются при ручном управлении, чем от аналогичных характеристик в директорном режиме. Напомним, что в последнем случае к летчику поступает та же информация, что и в автоматическом полете. В директорном режиме внимание в основном сосредоточено на директорном индикаторе КПП. Оно более равномерно распределяется между разными приборами – близко к тому, которое имеет место при ручном управлении. Ручной и автоматический режимы по параметрам времени фиксации взгляда на пилотажных приборах обнаруживают сходство.
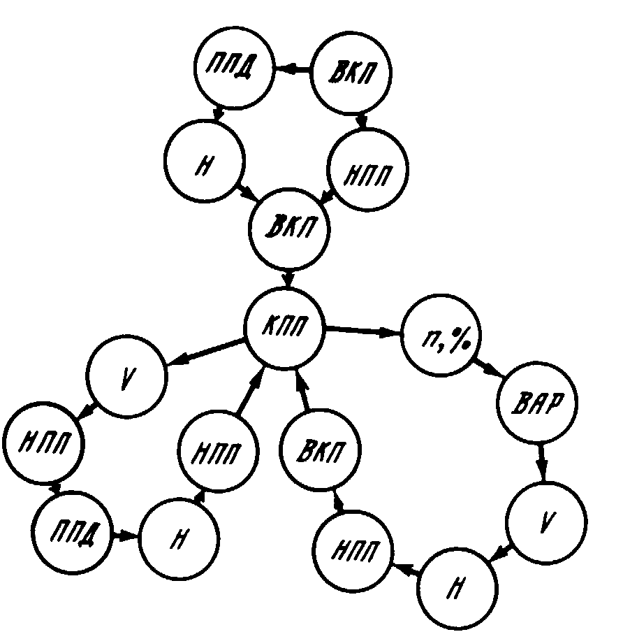
На рис. 2 приведены маршруты взгляда в режиме автоматического управления. В автоматическом режиме, так же как и в ручном, наблюдаются радиально–кольцевые маршруты (данные В. В. Полякова).
Однако это внешнее сходство не означает совпадения внутренней структуры восприятия. В ручном и автоматическом режимах различаются степень прагматичности сигналов, поступающих от приборов, и уровень обобщенности пилотажной информации. При ручном управлении информация от каждого пилотажного прибора необходима для построения двигательного воздействия; вместе с тем отсутствует обобщенный пилотажный сигнал, выдаваемый на КПП в директорном и автоматическом режимах. Поэтому летчик должен не только собрать информацию от каждого пилотажного прибора, но и переработать ее для формирования соответствующего плана воздействия на управляемый объект. Это приводит к дефициту времени, что, в свою очередь, отрицательно сказывается на структуре восприятия. Для ручного режима специфичен порядок сбора информации, вынужденный внешними обстоятельствами. Уменьшение доли внимания тому или иному прибору часто диктуется отсутствием времени, а не уменьшением потребности в информации.
В режиме автоматического управления летчик произвольно регулирует восприятие приборной информации, распределяет свое внимание между приборами соответственно информативности каждого из них. Отличие автоматического режима управления от директорного по параметрам, характеризующим операционный состав восприятия пилотажной информации, при идентичности инструментальных пилотажных сигналов, поступающих в обоих режимах, обусловлено изменением условий действий. Автоматизация исполнительских операций устранила объективную необходимость исключительной сосредоточенности внимания на перемещении директорных индексов, т.е. объективно действующую причину редукции образа. Теперь летчик располагает достаточными резервами времени для восприятия всей информации, необходимой для формирования полноценного образа полета. Однако автоматизация не увеличила степени прагматичности этой информации и поэтому не устранила внутренней причины редукции образа. Эксперименты в полетах и на моделирующих устройствах [18] показали, что и в автоматическом режиме управления высока вероятность редукции образа полета.

Рис. 2. Схема перемещения взгляда в автоматическом режиме управления. Обозначения те же, что на рис. 1.
Согласно высказываниям летчика Б.Т., в режиме автоматического управления «больше свободного времени, но и больше возможности усыпления бдительности». Внутренним механизмом этого «усыпления бдительности» является редукция предметного содержания образа, а последствием – грубые ошибки летчика при отказах автоматики.
Когда в экспериментальных полетах вводились отказы автоматики, приводившие к постепенным нарушениям режима полета, то опытные летчики часто не замечали существенных отклонений от линии заданного пути и даже некоторых опасных эволюций самолета. Реальные грубые нарушения режима полета не замечались летчиками в тех случаях, когда директорные индексы "вели себя нормально", т.е., если не было противоречий показаний директорных индексов "образу вилки" – расположению индексов в центре прибора. О том, что действиями летчика руководил именно "образ вилки", свидетельствуют не только объективные последствия ввода отказа, но и объяснения летчиками своих ошибок: "не заметил отклонений, так как директорные индексы стояли на нуле". Как правило, все объяснения' летчиков сводились к ссылкам на показания директорных индексов, хотя они и не могли исключить вероятность отказа вычислителя, ложных показаний директорных приборов и не были лишены информации от комплекса остальных приборов. В результате неполноценности образа реально значимые отклонения от заданного пространственного положения самолета не замечались летчиками в течение 30—80 с в полете при заходе на посадку (т.е. на опасной высоте). На наземном имитаторе некоторые существенные отклонения в параметрах полета при автоматическом управлении замечались летчиком значительно позднее, чем такие же отклонения при управлении в ручном режиме. Иначе при значительно большей загруженности летчика. Время обнаружения оказалось в 10 раз (на порядок) больше, чем при ручном управлении.
Несмотря на то что в автоматическом режиме управления отсутствует необходимость непрерывной прикованности внимания к директорным индексам, а время и структура контроля приборов могут обеспечить формирование полноценного образа, все же отмечается преобладание "образа вилки".
Итак, устранение необходимости непрерывно следить за директорными приборами не привело само по себе к восстановлению полноценного образа полета. Как показали исследования, летчик должен сам осознать необходимость формирования наряду с "образом вилки" образа пространственного положения. Для этого он должен быть поставлен в такие условия, в которых полноценный образ необходим практически – тогда его формирование приобретает личностный смысл. Одно из условий – переживание летчиком совершаемых ошибочных действий при отказах директорных индексов (вычислителя траекторного управления). Характерно, что предупреждения о возможности ошибок вследствие поступления ложных сигналов от директорных индексов, как правило, оказывается недостаточным. Летчики просто не верят в возможность таких "глупых" ошибок, зная, что они располагают полной информацией для правильной оценки режима полета в целом. Только в результате собственной ошибки создается внутренняя потребность постоянного осознания пространственного положения самолета, анализа показаний приборов, отражающих режим полета: авиагоризонта, высотомера, указателей курса, скорости.
Для этого у человека должна быть выработана осознанная привычка к активному сопоставлению показаний комплекса пилотажных приборов с показаниями директорных индексов. Если в директорном режиме управления эта дополнительная задача (восприятия и сопоставления показаний) может быть не под силу человеку, загруженному выполнением операции слежения, то автоматический режим создает благоприятные условия для решения такой дополнительной задачи. Восприятие и сопоставление показаний всей совокупности приборов обеспечивают формирование и поддержание полноценного образа полета. Но объективные предпосылки должны сочетаться с высоким личностным смыслом для летчика такой осознанной привычки. Именно переживание ошибочного действия поддерживает личностный смысл формирования полноценного образа. Отсюда следует, что, проектируя деятельность летчика, необходимо заставить его еще в период обучения переживать ошибки, связанные с недостаточной полнотой и четкостью образа полета.
Полноценный образ полета формируется и в том случае, если производится сложный полет, завершение которого зависит от умения летчика взять на себя управление на наиболее ответственном этапе полета, для чего необходимо точно знать местоположение самолета. Так, завершая автоматизированный заход на посадку при плохой видимости (при низком минимуме погоды), при которой посадочная полоса видна с высоты 80—60 м и с расстояния около 1000 м, летчики осознают необходимость наглядно представить себе пространственное положение самолета в период полета в облаках, вне видимости земли. Наглядное визуальное представление о положении самолета относительно еще невидимого аэродрома и точки предполагаемого приземления сознательно формируется летчиком заранее, чтобы подготовиться к пилотированию по визуальным наземным ориентирам, чтобы увидеть взлетно–посадочную полосу в том месте и в том положении, в каком ожидалось, и не тратить времени на поиски наземных ориентиров. В большинстве случаев незадолго до выхода из облаков летчики усиливают контроль приборов, позволяющих оценить положение самолета относительно аэродрома и взлетно–посадочной полосы. Автоматический режим управления наиболее благоприятен в этом смысле – как правило, летчик успевает точно оценить и представить свое положение, и взлетно–посадочная полоса оказывается там, где ожидалась, т.е. образ восприятия совпадает с образом представления.
Заслуженный летчик–испытатель С. А. Микоян так оценивает различие режимов управления с точки зрения сложности формирования образа—представления: "При ручном управлении по планкам положения работа летчика наиболее напряженная, так как приходится все время сравнивать положение планок со стрелкой АРК (или курсом) и вариометром. При этом летчик опасается неточного выхода и стремится скорей увидеть, где находится ВПП, попадает ли он на нее (особенно если заход был шероховатый). При директорном управлении, если директорные стрелки не противоречат планкам положения, все значительно спокойнее. Наиболее спокойно в режиме автоматического управления – летчику легко контролировать правильность захода, поэтому ВПП оказывается там, где ожидалась". Можно заключить, что в тех случаях, когда летчик нуждается для достижения цели управления в представлении пространственного положения, автоматический режим позволяет сформировать это представление с наибольшим успехом.
Автоматический режим благоприятен с точки зрения создания для летчика объективных предпосылок сохранения на всем протяжении полета полноценного образа полета. Косвенным подтверждением сказанного могут служить характеристики периодичности восприятия приборов (высотомера и указателя скорости) при заходе на посадку в облаках (табл. 3.5).
Таблица 3.5 . Периодичность контроля приборов
| Высота полета | Режим управления | Перерывы в восприятии, с | высотомера | указателя скорости | ||
| (в облаках) | ||||||
| 250 | Автоматический | 5,3 | 4,1 | Директорный | 6,8 | 6,9 |
| 100 | Автоматический | 5.2 | 6.7 | Директорный | 15,5 | 16,4 |
Анализируя табл. 3.5, мы можем принять, что на высоте 250 м периодичность восприятия важных для ориентации приборов соответствует объективным потребностям оценки параметров. В обоих режимах эта периодичность примерно одинакова. Однако на высоте 100 м, хотя объективная потребность в знании о высоте и скорости полета увеличилась, в директорном режиме контроль этих параметров существенно снизился, тогда как в автоматическом изменений не произошло. Заметим, что на высоте 100 м при заходе на посадку работа летчика требует от него большого операционального напряжения: уплотнения всех операций контроля и управления. Сохранение достаточного уровня контроля в автоматическом режиме на высоте 100 м свидетельствует об освобождении внимания летчика благодаря автоматизации исполнительских операций. Это означает, что автоматизация исполнительских операций представляет реальную возможность для формирования полноценного образа полета, включения в него представлений о всех пространственно–временных параметрах объекта управления, а не только о его положении относительно «линии заданного пути».
При автоматизации полетов по маршруту (длительный автоматический полет) создается еще одна проблема – сохранения проприоцептивной составляющей образа полета, лежащей в основе чувства самолета. На скоротечных этапах полета, например при заходе на посадку, летчик способен сознательно сохранять в памяти ощущения, возникающие при воздействиях на рули, и осуществлять мысленно не только визуальный, но и проприоцептивный контроль режима полета.
При длительных автоматизированных полетах, особенно в спокойной атмосфере, автопилот выдерживает постоянный режим полета и физические воздействия на летчика минимальны. При этом из структуры образа полета может выпадать чувство самолета. Летчик в этом случае взаимодействует с информационной моделью полета, его контакт с системой отображения информации в основном визуальный, а действия осуществляются на уровне своеобразной интеграции сенсорно–перцептивных и вербально–логических процессов: человек воспринимает, обобщает показания приборов, оценивает обстановку полета и время от времени принимает решение изменить режим работы автоматики.
Изменение образа полета в спокойно протекающем длительном автоматизированном полете обусловлено, кроме исключения проприоцептивной составляющей действия (объективно заданное условие), еще и чисто психологическими причинами —возникновением установки на то, что самолетом управляет автоматика. Эта установка настолько меняет целенаправленность летчика, что он, в частности, 1) забывает регулировать параметр скорости, хотя управление скоростью не автоматизировано и осуществляется вручную, 2) долгое время (до 160 с) не замечает существенных отклонений в режиме полета при наличии всей необходимой визуальной информации, 3) при внезапном требовании (срочно) взять управление на себя (вследствие отказов автоматики) задерживает начало вмешательства в управление и начинает исполнительские действия с малоцелесообразных движений.
Если проблема сохранения образа пространственного положения решается путем приобретения соответствующего опыта в условиях, когда исключение данного компонента из его предметного содержания ведет к грубым ошибочным действиям, то сохранение проприоцептивной составляющей чувства самолета не может быть обеспечено только за счет осознанного стремления человека к формированию полноценного образа полета. В автоматизированном полете при всей полноте визуальной информации, необходимой для поддержания представления о пространственном положении, отсутствуют проприоцептивные сигналы с органов управления. Поэтому здесь помочь летчику сохранить чувство самолета можно лишь техническими средствами, а именно путем создания системы совместного управления человека и автоматики [52].
Использование совместного управления необходимо как способ повышения надежности действий летчика (и надежности системы "летчик—самолет" в целом) на некоторых сложных и опасных этапах, таких, как полет на малой высоте с облетом препятствий [125]. Надежность действий летчика повышается за счет сохранения образа полета, включающего такую его составляющую, как чувство самолета.
Итак, в автоматизированном полете, как в директорном, так и в автоматическом режимах управления, возможна и нередко происходит редукция образа полета, сведение сложного по структуре и богатого по содержанию образа к одному из его компонентов, регулирующих наиболее простые двигательные акты, – к "образу вилки" Этот факт предъявляет специфические требования к проектированию деятельности современного летчика, который с самого начала своей профессиональной деятельности будет работать на самолетах, оборудованных системами автоматического управления.
Первый опыт реальных полетов и проведенные экспериментальные исследования показали, что проблема сохранения образа полета может решаться как путем обучения, так и техническими средствами. При проектировании деятельности должны учитываться два аспекта проблемы: снижение надежности действий летчика в связи с редукцией образа полета, снижение мотивации труда.
Психологический анализ деятельности человека в автоматизированной системе управления делает наиболее наглядным положение о том, что процесс обучения даже такой профессии, в которой двигательные исполнительские акты занимают подавляющий по времени и трудоемкости объем выполняемых действий, не может быть основан только на отработке двигательных навыков. Основа надежности действий человека – формирование психического образа, регулирующего действия. И чем более автоматизирован процесс управления, тем больше внимания при проектировании деятельности человека–оператора должно уделяться формированию концептуальной модели. Дело в том, что при выработке навыков выполнения ручных операций необходимый образ, регулирующий исполнительские действия, формировался без специально направленных усилий со стороны обучающегося.
Так, у летчика, управляющего самолетом с хорошими аэродинамическими свойствами вручную и преимущественно визуально (не по приборам), образ полета, включающий чувство самолета и 'образ пространственного положения, формировался постепенно по мере приобретения опыта. Это происходило обязательно, так как учащийся летчик, если его действия не регулировались образом полета, а были основаны на заучивании только исполнительских актов, не мог получить летной квалификации. Пилотирование же по директорным приборам может быть основано на выработке "механического" навыка отслеживания командных сигналов (при условии абсолютной надежности работы директорией системы). Именно поэтому образ полета у летчика, управляющего при автоматизации процесса пилотирования, должен вырабатываться путем направленных усилий во время специального обучения.
Глава 4. Содержание и свойства психического образа, регулирующего действия в так называемых нестандартных ситуациях.
Предметное содержание оперативных образов, регулирующих поведение человека в нестандартных, в частности аварийных, ситуациях, во многом определяется информацией, поступающей в момент возникновения и в процессе развития таких ситуаций.
Система информации в аварийной ситуации обладает следующими двумя интегральными характеристиками: 1) степенью, или уровнем привлекающего эффекта сигнала о возникновении ситуации и 2) степенью полноты и определенности информации о смысле случившегося. Достаточно высокий уровень первой характеристики обеспечивает переключение внимания на неожиданно возникшую ситуацию; достаточная полнота и определенность сигнала обеспечивают формирование адекватного оперативного образа, основными функциями которого является регуляция процессов опознания случившегося и принятия решения о действии.
К сожалению, в аварийных ситуациях, возникающих в полете на одноместном самолете, возможно любое сочетание уровней двух упомянутых характеристик, в том числе нередко наблюдается или неопределенность информации, или недостаточный привлекающий эффект сигнала, или то и другое.
Затруднения, возникающие в нестандартных ситуациях, в большей мере связаны с недостаточностью привлекающего эффекта, полноты и определенности сигналов, чем с выполнением действия после опознавания случившегося и принятия решения двигательных операций. По нашим данным [18], летчик нередко тратит на опознание ситуации две трети того времени, которым он располагает в полете для предотвращения аварии. Опознание нестандартной ситуации и принятие решения о необходимом действии осложняются тем, что эти ситуации многообразны, а сигналы многозначны. Разные ситуации часто отображаются внешне сходными сигналами, и наоборот.
С точки зрения проектирования деятельности это означает, что подготовка к действиям в нестандартных ситуациях должна основываться не столько на отработке двигательных навыков, сколько на формировании психических механизмов регуляции действий, т.е. на формировании психического образа, адекватного задаче.
Сигналы о возникновении аварийной ситуации в полете могут быть как инструментальными, так и неинструментальными. Даже инструментальные сигналы (загорание специальной сигнальной лампы, изменения показаний приборов) далеко не всегда являются однозначными показателями возникновения определенной ситуации. Неинструментальные сигналы, поступающие в результате изменения положения самолета, тряски, вибрации, изменения звукового фона и т.п., чаще всего не несут полной и определенной информации о событии.
Достаточный (высокий) привлекающий эффект необходим для того, чтобы человек своевременно начал действовать в аварийной ситуации – начал поиск и выбор релевантной информации, обеспечивающей в свою очередь опознание смысла случившегося и формирование адекватного задаче образа–цели. Именно привлекающий эффект сигнала о нестандартной ситуации определяет начало действия. Он должен быть рассчитан на непроизвольное привлечение внимания человека.
Высоким привлекающим эффектом обладают физически сильные неинструментальные сигналы (угловое вращение самолета с ускорением 10 град/с, тряска, резкий звук), а также звуковые инструментальные сигналы (сирена, звонок, голос человека). Сигнальные лампы, световые табло обладают средним привлекающим эффектом, так же как и некоторые неинструментальные сигналы (несимметричная тяга, угловые ускорения от 5 до 10 град/с, изменение усилий на ручке управления). Наконец, некоторые инструментальные сигналы (изменение показаний стрелочных приборов, расположенных вне центрального поля зрения) обладают столь низким привлекающим эффектом, что могут долгое время быть незамеченными, в результате чего усугубляется опасность неблагополучного исхода полета.
Если сигнал замечен, обеспечено только начало действия; но его течение и завершение определяются сочетанием достаточной полноты и определенности информации, которая соотносится с концептуальной моделью, сформированной у летчика.
С точки зрения степени определенности и полноты информации можно выделить следующие типы сигналов: 1) несущие определенную и полную информацию; 2) несущие противоречивые сведения; 3) не обладающие полнотой сведений о случившемся. Определенная информация поступает от таких инструментальных средств, как табло, на которые сообщения выдаются в виде надписи; речевые информаторы; некоторые индикаторы, сообщающие о состоянии самолетных систем. Противоречивая информация связана с поступлением сигналов, косвенно сообщающих о событии, например, появление рассогласований в показаниях группы приборов при отказе одного из них.
Обнаружение рассогласования вызывает формирование ряда противоречивых гипотез о его причинах.
Не обладает полнотой сведений большинство неинструментальных сигналов. Они, как правило, легко обнаруживаются, но, будучи неопределенными, не позволяют быстро сформировать оперативный образ, адекватный задаче человека в возникшей ситуации.
Как правило, совокупность сигналов, возникающих в нестандартных (аварийных) ситуациях, не обеспечивает возможность для человека–оператора быстро опознавать ее и находить нужное действие. Поэтому его надежность во многом зависит от способности сформировать полноценный оперативный образ на основе преобразования именно неполноценной информации, превращения ее в субъективно полную и определенную, преодоления противоречивости сигналов. Это означает, что психический образ, регулирующий действия в аварийных ситуациях, должен обладать некоторыми специфическими чертами и свойствами, отличающими его от психического образа, регулирующего действия в стандартных условиях полета.
Во–первых, этот образ формируется экстренно и не как результат развития предшествующих оперативных образов, а как новый психический механизм, исключающий возможность регуляции действий образами, сформированными ранее. Во–вторых, нередко в памяти человека отсутствует готовый образ–эталон, с которым можно было бы сопоставить экстренно формирующийся образ. Это связано с неполноценностью поступающей информации, требующей создания "экстренного образа", но не дающей достаточных оснований для формирования его четкого предметного содержания. Возникающие при этом трудности отчасти обусловлены недостаточной подготовкой человека–оператора в процессе обучения.
Иначе говоря, как правило, у оператора нет заранее подготовленных и отработанных образов, которые позволяли бы "с лета" парировать возникшую нестандартную ситуацию. Образ формируется при возникновении самой ситуации и выступает как образ–гипотеза, нуждающийся в проверке, при этом до начала исполнительного действия, а для проверки гипотезы нужна дополнительная информация извне или извлечение из памяти дополнительных компонентов образа–эталона. В–третьих, основной функцией формирующегося образа является опознание ситуации, т.е. анализ неполноценной информации, вычленение релевантных признаков ситуации, подтверждающих гипотезу. В–четвертых, формирующийся образ должен обладать гибкостью, высокой динамичностью, обеспечивать способность к перестройке, к отказу от гипотезы, если она не подтверждается.
Исследование действий летчиков в аварийных ситуациях показало, что формирование у летчика адекватного задаче образа во многом случайный процесс, что высока вероятность возникновения неполноценного, бесполезного (и даже вредного!) для Действий в данных конкретных условиях оперативного образа. Нередко оперативный образ, адекватный задаче, формируется лишь после цикла пробных и ошибочных действий, приводящих к усложнению и без того сложной обстановки полета.
Такие действия неизбежно возникают в том случае, если у летчика отсутствует эталонный, т.е. соотносящий оперативный образ. Это связано с недостатками профессионального обучения. Дело в том, что в процессе подготовки к действиям в нестандартных ситуациях отрабатываются преимущественно автоматизированные навыки, обеспечивающие быстрое и точное выполнение двигательных операций; формированию же эталонного образа при этом не уделяется должного внимания. Как правило, обучающимся называют и демонстрируют отдельные информационные признаки, сообщают последовательность их появления, но далеко не всегда выделяются действительно существенные признаки предсказываемой ситуации; в результате нередко создается неправильный образ–эталон, не только не помогающий, но даже мешающий узнаванию события. Обычно только после реальной непредвиденной встречи с конкретной аварийной ситуацией приобретается необходимый опыт и вырабатывается требуемый образ–эталон, способствующий своевременному формированию оперативного образа, адекватного задаче человека.
Рассмотрим, как формируется оперативный образ, регулирующий действия летчика в некоторых аварийных ситуациях с неполной информацией. Остановимся вкратце на трех типах ситуаций, подробный анализ которых давался в работе [18].
Первая ситуация – это ситуация отказа одного из двигателей самолета. О недостатках подготовки к действиям в данной ситуации (недостатках обучения) с точки зрения формирования образа, адекватного задаче опознания отказа, мы судили по ряду косвенных признаков: по тексту инструкции, которую изучает и которой должен следовать летчик в случае отказа двигателя, а также по характеру его действий при наступлении события.
О работе силовой установки четырехмоторного самолета летчик судит по показаниям специальных приборов (44 индикатора), сигнализаторов (4 сигнальные лампочки), а также по неинструментальной информации (разворачивающий момент, звук, изменение тяги, изменение усилий на органах управления).
Анализ действий летчиков при реальных отказах двигателя показал, что оперативный образ формируется сначала как гипотеза, регулирующая поиск дополнительной информации. Гипотеза формируется на основании только части признаков, прежде всего неинструментальных сигналов. Для производства исполнительских действий требуется подтверждение гипотезы путем извлечения инструментальных признаков отказа – показаний приборов. Летчик, ощутив разворачивающий момент или изменение тяги, обращается к приборам, при этом латентный период обращения к приборам составляет 0,3—0,8 с. Однако инерционность системы индикации такова, что за это время на приборах еще не успевает отобразиться ситуация отказа. В результате гипотеза, возникшая на основе неинструментальных сигналов и нередко правильная, отвергается, поиск направляется по неверному пути, а опознание опасной ситуации чрезвычайно затягивается.
Оперативный образ события в этом случае формировался до поступления инструментальных сигналов, и вместо поиска информации летчик стремился лишь сличить сформированный (гипотетический) образ с показаниями приборов. Он искал информацию не для определения события, а для подтверждения гипотезы, и смысл его действия заключался в сопоставлении оперативного образа с образом–эталоном. Однако эти действия не принесли ожидаемого результата в связи с неполноценностью сформированного в процессе подготовки образа–эталона.
В инструкции, определяющей состав и очередность восприятия информационных признаков отказа, указывается на 1) прогрессивно увеличивающийся крен и разворот самолета, 2) загорание лампочки "отказ двигателя", 3) изменение (падение) показаний приборов ИКМ (индикатор крутящего момента), давления топлива, числа оборотов, ТВГ (температуры выходящих газов). В инструкции не указано на те важнейшие неинструментальные признаки, которые воспринимаются в первую очередь и которые переключают внимание летчика к нарушению работы силовой установки. Не указано и на то, что в течение первой секунды на приборе ИКМ отражается не падение, а повышение (заброс) показателя, что ТВГ в течение первой секунды не изменяется.
Неточность инструкции – причина формирования неточного образа–эталона и, следовательно, ошибочных действий.








