Текст книги "Уравнения Навье-Стокса, отсутствие решения / Navier-Stokes equations, no solution"
Автор книги: Константин Ефанов
сообщить о нарушении
Текущая страница: 1 (всего у книги 1 страниц)
Введение
В настоящей работе доказана невозможность существования и гладкости решения уравнений трехмерной задачи Навье-Стокса в пределах поля R3.
Институтом Клея этой задаче присвоение наименование задачи тысячелетия в числе некоторых других.
Доказательство выполнено на основании применения теоремы Курата Гёделя о неполноте, использован системный подход.
Рассмотрено физическое обоснование вывода уравнений Навье-Стокса, физические процессы течения турбуленоного потока. Для сопоставления и применения теоремы Гёделя двум указанным физическим процессам назначен уровень системы.
Показано, что уравнения Навье-Стокса не предназначены для решения проблем системы, соответсвующей уровню пространства R3.
Проблема решения уравнений Навье-Стокса
Уравнения Навье-Стокса, как показано в работе [1,с.73] Л.Н. Ландау, получаются записью баланса поступающей и выходящей жидкости с учетом диссипации энергии при вязком трении в жидкости. Вместе с тем, Л.Д. Ландау было отмечено, что впервые формулировка уравнений для несжимаемой жидкости была записана на основе модельных представлений Анри Навье (о молекулярных взаимодействиях).
Запишем уравнение Навье-Стокса для сжимаемой жидкости:

Для сжимаемой жидкости в уравнении
Обозначения в уравнении и его вывод – см. работу Л.Н. Ландау [1].
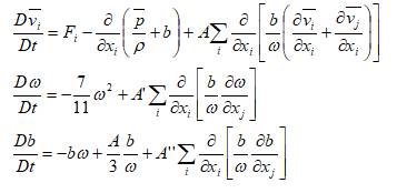
А.Н. Колмогоров в работе [2,с.294] показал физическую модель турбулентности (в соответствии с Тейлором и Ричардсоном), состоящую В накладывании различных по масштабу турбулентных пульсаций на осредененный поток. Наибольшим масштабом является мастшаб L «пути перемешивания», наименьшим масштабом является масштаю λ, на котором вязкость оказывает влияение. Пульсации от курупных масштабов передают энергию пульсациям меньших масштабов. В результате этого возникает поток энергии, диссипация которой происходит за счет сил вязкого торения на масштабе λ. Колмогоров предложил следующие уравнения турбулентного движения исходя из локальных свойств турбулентности [2,с.295]:

В уравнениях – обозначения согласно цитируемой работе А.Н. Колмогорова.
Л.Д. Ландау отметил [2,с.296], что эти уравнения верны для локальной струкруты турбулентности, однако в турбулентном потоке наличие ротора скорости ограничивается конечной обдастью пространства и уравнения должны показывать именно такое распределение турбулентных вихрей.
Анри Навье в работе [3] при формулировке уравнений движения жидкости исходил из записи для одной точки пространства сплошной среды. Приведем рисунок из работы Анри Навье [5,с.408], который является иллюстрацией к подходу Навье к описанию движения жидкости перемещением отдельных точек жидкости.
Сравним модель движения из работы А.Навье с моделью турбулентности, предложенной А.Н. Колмогоровым.
Объем, для которого составляются уравнения Навье-Стокса выбран с минимальными размерами, обеспечивающими сплошность среды. Однако это не принципиально. Очевидно, что куб несопоставимо меньше пространства R3.
Для куба описание физического процесса состоит в описании поступления в него и выхода из него жидкости, а также влияния вязкости.
Для пространства R3 со сложной структурой турбулентного течения физический процесс намного более сложен и для его описания недостаточно тех описаний, которые применены для куба при выводе уравнений Навье-Стокса!
В существующих попытках решения уравнений Навье-Стокса пространство R3 условно разбивают (дискретизируют) сеткой с кубичиескими элементами.
Попытки аналитического решения, например, в работе [4], сводятся к назначению граничных условий для уравнений и поиску решений.
Граничные условия для куба со сторонами x, y, x и шагом Q записываютcя в виде:

Очевидно, что движение жидкости в пространстве R3 и в любом пространстве, моделью Навье и его представлениями не описывается. Область вокруг точки не превышает колмогоровского масштаба.
Уравнения Навье-Стокса сооставлены для физической модели мелкого колмогоровского масштаба и не соответсвуют физическим процессам турбулентного движения больших объемов жидкости.
В случае аналитически точного решений Уравнений Навье-Стокса для случая течения Пуазёйля, решение выполняется для физического процесса, описываемого процесс для куба.
Существут методы прямого численного решения уравнений Навье-Стокса [5], [6], [7].
В этих методах (конечно-разностных) выполняется дискретизация пространства сеткой. Производная заменяется на алгебраическое отношение.
Очевидно, что в численных методах для пространства R3 решаются уравнения Навье-Стокса, не описывающие физического процесса на пространстве R3. Однако, результаты решений для каждого сеточного куба переносятся для интегрального решения для всей сетки, т.е. для пространства R3.
Для модели турбулентности Колмогорова такой подход означал бы расчет рассеянной энергии на всех мелких масштабах и суммирование полученных значений для верхнего масштаба. Модель Колмогорова описывает реальную картину течения жидкости.
Ошибка в численных методах решения находится в самом их теоретическом основании. Решается модель с физическим процессом, не описывающим течение на пространстве R3, для каждой ячейки сетки и затем получения результата расчета для всей сетки, а следовательно и для пространства R3. То есть к решению на пространстве R3 в численном методе применяется некорректная физическая модель, которая не описывает процессов на пространстве R3.
Доказательство отсутствия решения уравнений Навье-Стокса на пространстве
R
3 на основанииприменения теоремы Курта Гёделя о неполноте
Для решения проблемы используем теорему Курта Гёделя о неполноте. Теорема Гёделя приведена в работе [7].
Конец ознакомительного фрагмента.
Текст предоставлен ООО «ЛитРес».
Прочитайте эту книгу целиком, купив полную легальную версию на ЛитРес.
Безопасно оплатить книгу можно банковской картой Visa, MasterCard, Maestro, со счета мобильного телефона, с платежного терминала, в салоне МТС или Связной, через PayPal, WebMoney, Яндекс.Деньги, QIWI Кошелек, бонусными картами или другим удобным Вам способом.









